Abstract
The infrared radiation response characteristics and mechanisms of sandstone samples under uniaxial compression were investigated using infrared thermal imaging and strain measurement techniques. The stress–strain curves were divided into different damage stages (i.e., crack closure, elastic deformation, stable crack growth, unstable crack growth, and post-failure) by the damage thresholds determined using the transverse and vertical strains. Experimental results show that the infrared radiation response characteristics of sandstone include the superposition of different mechanisms, which lead to either temperature increase or decrease. The response mechanisms of infrared radiation vary depending on the damage stage. During crack closure and elastic deformation stage, temperature variations are mainly governed by thermoelastic effects and the nearly adiabatic compression of air in the pore space. In the stable and unstable crack growth phase, the temperature variations are dominated by two reverse acting processes: heat production by frictional sliding and cooling by the expansion of gases in pore spaces. This leads to complex inhomogeneous radiation and consequently temperature distribution at the sample surface with local hotspots.
1. Introduction
Mining hazards such as mine water inrush and rockbursts have always threatened mine safety [1,2]. To forecast dangerous areas or disasters in underground constructions, many methods such as microseismic monitoring, acoustic emission measurements, and wave speed monitoring have been widely used in engineering practice. However, the application of these methods is often limited due to the complicated geological and operating conditions in underground mines. Therefore, non-contact monitoring and forecasting techniques such as the infrared radiation method have become promising [3,4]. This technique can realize non-destructive and remote monitoring. It has become a potential and effective way to detect the damage evolution of rocks including coal, and can even give early warning and prediction of mine gas outbursts, water inrush, and rockbursts [5,6,7].
Many researchers have carried out infrared radiation experiments [8,9,10] on various geotechnical materials. These studies have explored the relationships between the temporal-spatial distribution characteristics of infrared radiation and the fracturing process of coal/rocks [11,12,13]. For example, Wu et al. found that the average infrared radiation temperature (AIRT) can be used as a quantitative indicator to characterize the stress distribution of coal and rock during compression [14]. They identified an abnormal AIRT during plastic yielding as rock failure precursors. On this basis, Wu et al. proposed the ‘Infrared Temperature Sudden Change’ as the indicator and discovered the characteristics of the instantaneous change of infrared temperature at the moment of rock failure [15]. Ma et al. suggested the use of the variance of successive minus infrared image temperature (VSMIT) as an index and discovered the dominant effect of the stress distribution on infrared radiation [16].
Although some predictive indicators have been defined in previous studies, they are still far from being applied in practice. One of the most important reasons is the heterogeneous nature of natural rocks. Mineral composition, grain size distribution, and the internal microstructure (e.g., void and inclusions) of rock samples can have a significant impact on deformation, cracking, and yielding. The failure behavior of rocks is closely related to the infrared radiation information on its surface. The difference in cracking behavior can cause infrared radiation scattering on the sample surface. Therefore, the understanding of the relationship between damage evolution and infrared radiation response characteristics considering different failure modes of rock samples is essential.
This paper documents experiments monitoring the infrared radiation in combination with the strain measurements of sandstone samples under uniaxial loading. The surface AIRT and infrared thermal characteristics of specimens at different damage stages during uniaxial loading were investigated. The mechanisms of infrared radiation in the process of rock damage evolution are discussed. The results provide theoretical and technical hints for the monitoring and early warning of mine water inrush and rock dynamic disasters by infrared radiation remote sensing technique.
2. Lab Test Design
2.1. Sample Preparation
Sandstone samples used in this work were taken from the Xiaojiawa Coal Mine in Luliang, China. They are naturally heterogeneous and anisotropic due to pervasive pre-existing micro-cracks and voids (see Figure 1). These randomly distributed micro-defects increase the heterogeneity and scattering characteristics of the samples, leading to various cracking and yielding behaviors. The difference in the failure process will finally influence the AIRT of the samples (as shown in the following sections). Seventeen cylindrical sandstone specimens numbered Ai (i = 1…17) with a diameter of 50 mm and a height of 100 mm were prepared. All the samples were kept at ambient temperature for at least 24 h before being tested. This guarantees thermal equilibrium between samples and laboratory environment [17].
Figure 1.
Scanning electron microscopy (SEM) photos at 2000× magnification of sandstone samples. SEM Quanta TM 250 FEG was used for materials characterization. (a) Microcracks in sandstone. (b) Microvoids in sandstone.
2.2. Test Set-Up
Figure 2a shows the uniaxial compression test system with the combined infrared radiation (IR) and strain monitoring systems. Uniaxial compression tests were performed using an MTS C64.106 hydraulic universal testing machine, which has a maximum load of 1000 kN. The strain measuring device is a TS3890N static resistance strain gauge with a resolution of 1 με. The infrared radiation observation equipment is VarioCAM® HD head 800 thermal imaging camera. It has a spatial resolution of 1240 × 768 pixels and thermal sensitivity of 0.02 °C. During the test, thermal images of the sample surface infrared radiation in the wavelength range of 7.5–14 μm were captured at a frequency of 25 frames per second.
Figure 2.
The mechanical testing system and the stress–strain behavior of the sample. (a) Experimental set-up; (b) Damage evolution during uniaxial loading of sandstone sample A13. Crack initiation threshold σci is the onset of crack volumetric increase that is the reversal point of crack volumetric strain; critical damage threshold σcd is the reversal point of the total volumetric strain.
The interference of background noises is unavoidable during the experiments using infrared radiation technology. Therefore, it is necessary to use reference samples in the test system and use the infrared radiation noise of the reference sample to denoise the infrared radiation information of the loaded samples [18]. The reference samples without loading are placed in parallel on the left and right sides of the loaded sample (see Figure 2a). To ensure that the incidence rate and lithology of the reference sample and the loading sample are the same, the reference samples and the loaded sample should be of the same type. For example, A1 to A15 are set as loaded samples, while A16 and A17 are reference samples.
The applied axial stress and volumetric strain calculated from the axial and lateral strains are used to trace the deformation and failure path of the samples. The strain gauges (three groups in total) are pasted on the two sides and back surface (relative to the side facing the infrared camera) of the test sample, as shown in Figure 2a. A thin plastic film is placed on the upper and lower contact surfaces of the sample and the loading plates. This can help reduce the friction and heat conduction during the test. Researchers were prevented from walking during the experiment to minimize the interference of infrared radiation from the external environment. At the same time, the laboratory windows and curtains were closed. All illuminating light sources that can generate radiation were switched off. The samples were compressed with a constant rate of 0.1 mm/min. The thermal camera was positioned at a distance of 1 m directly in front of the sample. The infrared radiation information, as well as the stress and strain variations, were simultaneously recorded until sample failure.
3. Damage Evolution of Rocks
The crack damage thresholds, i.e., the crack initiation threshold σci, crack closure threshold σcc, critical damage threshold σcd, and peak failure σf, can characterize the damage evolution (see Figure 2b). These thresholds divide the stress–strain curve into different stages, i.e., crack closure (CC), elastic deformation (ED), stable crack growth (SCG), unstable crack growth (UCG), and post-failure stage (PF). The volumetric strain measurements can determine the thresholds (see Figure 2b). The volumetric strain of the sample is [19]:
where is the elastic volumetric strain and is the crack volumetric strain. Both can be calculated based on the following equations [20]:
where σ1 is the axial stress, E is Young’s modulus, and μ is Poisson’s ratio.
4. Infrared Radiation Characteristics during Damage Evolution of Sandstone
4.1. Samples with Increasing Temperature
Figure 3 shows the infrared radiation characteristics of the sandstone sample A3 at different damage stages during compression. From crack closure to the elastic deformation stage, the color of the infrared thermal image changes gradually from dark (low temperature) to bright (high temperature), showing a uniform and gradual temperature increase. During the stable crack growth stage, more brilliant temperature stripes begin to appear in the local areas of the infrared thermal image. During the unstable crack growth stage, the infrared radiation is enhanced with oblique high-temperature stripes and low-temperature regions. These differences indicate a significant increase in the dispersion of the temperature distribution. Afterwards, the rock sample fails with macroscopic shear fractures. During the stable and unstable crack growth stages, the abnormal temperature stripes in the thermal image of the specimen fit the final fracture surfaces.

Figure 3.
Infrared thermal images (°C) of rock sample A3 during loading.
Figure 4 shows the stress–time and AIRT–time curves of the rock samples. During the elastic deformation, the AIRT shows a linear increase with rising stress. The average temperature increase in the rock samples is 0.19 °C (see Table 1). In the stage of stable crack growth, the AIRT of rock continues to rise. Afterwards, during the unstable crack growth, the AIRT increase in rock is the smallest (the average increase in sandstone samples is 0.05 °C). Most samples can even show nearly constant values (with slight fluctuations) in this stage before final failure. These short moments can be called the ‘silent period’ (see Figure 4). During the final failure, fractures are formed throughout the sample, including the surfaces. The micro-cracks on the surfaces will squeeze, move, and slip under compressive stresses. The fracture surfaces in contact move relative to each other, and the friction between the surfaces converts kinetic energy into thermal energy. The thermal energy induced by friction can cause the AIRT of the sample to increase abruptly (see Figure 4b).

Figure 4.
Increasing AIRT variations of rock samples. (a) Sandstone A2. (b) Sandstone A3. (c) Sandstone A8.
Table 1.
AIRT variations of coal and rock samples at different damage evolution stages.
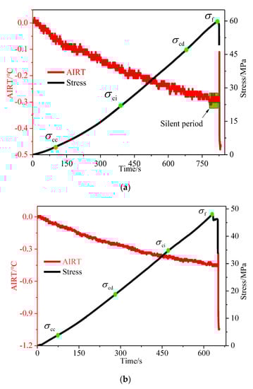
4.2. Samples with Decreasing Temperature
Figure 5 shows the infrared thermal images of rock sample A1 at different damage stages during loading. The infrared thermal image of the rock sample shows a uniform and gradual temperature decrease from the crack closure to stable crack growth stage. In the unstable crack growth stage, the low-temperature stripes and high-temperature areas appear simultaneously in the infrared thermal image (see Figure 5). The AIRT of the rock samples shows a downward trend during the damage evolution (see Figure 6). The AIRT of the samples shows the smallest reduction in the unstable crack growth stage (the average reduction for sandstone samples is 0.05 °C). This trend is the same as for samples with rising temperature. It should be noticed that the short ‘silent period’ can also appear, as shown in Figure 6a,c. Afterwards, sandstones lose their stability with a sudden drop in AIRT (the average reduction for sandstone samples is 0.39 °C).

Figure 5.
Infrared thermal images (°C) of rock sample A1 during loading.

Figure 6.
Decreasing AIRT variations of sandstone samples. (a) Sandstone A1. (b) Sandstone A6. (c) Sandstone A9.
Most investigated rock samples (app. 73%) show a temperature increase during loading. Only a small number of samples show a temperature decrease. Table 1 summarizes the AIRT variations of all rock samples at different damage evolution stages. If the AIRT at a particular stage shows an increasing trend, the AIRT variation at this stage is equal to the maximum value of AIRT minus the minimum AIRT; if it shows a decreasing trend, the AIRT variation at this stage is equal to the minimum AIRT minus the maximum AIRT. The noticeable phenomenon is that the AIRT of the rock samples usually has the smallest variations in the unstable crack growth stage, while it shows the most significant change at failure. During the unstable crack growth, the infrared thermal image of the specimen with mixed tensile-shear fractures showed two thermal effects with opposite trends (temperature increase and decrease). These two thermal effects counterbalance each other, generating a stabilized AIRT curve. Such counterbalance effects can lead to a short ‘silent period’ in the specimen. Therefore, this ‘silent period’ of the AIRT curve during the unstable crack growth may be used as an infrared radiation precursor for imminent sample fracturing and subsequent failure.
5. Discussion of Infrared Radiation Mechanisms during Loading of Rocks
5.1. Basics of Thermo-Mechanical Coupling
Under the influence of external loading, the mineral crystals experience dislocation slippage, microcracking and morphology changes. This leads to thermo-mechanical coupled effects including a thermo-elastic effect, gas and fluid compression and expansion in the pore spaces, frictional heat generation and thermal effects due to crack growth. All this leads to changes in the physical temperature of the substance [21]. According to Stefan–Boltzmann law, the infrared radiation varies with the physical temperature of rock samples [22,23]. The following phenomena have to be considered in general:
- (1)
- Thermo-elastic effect
The elastic deformation of a solid under uniaxial compression can be considered as an isentropic reversible process. The relationship between physical temperature change () and stress change () is [14]:
where α is the thermal expansion coefficient, β is the bulk modulus, Cp is the heat capacity at constant pressure, ρ is the density, and T is the physical temperature.
- (2)
- Adiabatic pore gas process
Natural rocks usually contain pores and voids filled with air. During loading and unloading, the air in this space will be compressed or decompressed. The gas expansion or compression within the pores can cause the temperature decrease or increase, which can be described in the case of an adiabatic process according to the following equation [24]:
where T1 is initial temperature, T2 is the final temperature, P1 is the initial pressure, P2 is the final pressure, and k is the adiabatic index.
- (3)
- Frictional heating
During uniaxial compression, already existing or newly initiated microcracks will experience frictional sliding. Friction at the crack contact surfaces generates heat, which results in temperature increase and consequently infrared radiation.
- (4)
- Thermal effects of crack growth
Crack growth is an irreversible thermodynamic process with energy dissipation. During the crack growth process, the initial stored elastic energy is transformed into fracture energy, seismic energy, and heat. Especially inside the process zone at the crack tips [25,26], heat is generated, which leads to a local temperature increase. Because the energy release rate is quite different for different fracture modes (energy release rate for Mode-I is much lower than for Mode-II or Model-III) and the fact that Mode-II and Model-III has a strong coupling with frictional heat production, the energy balance for different fracture modes is quite different.
5.2. Discussion of Observed Infrared Radiation Characteristics
The generally expected energy balance and corresponding infrared radiation characteristics (directly related to temperature change) during the uniaxial loading of rocks can be characterized as follows:
- (1)
- During the initial (crack closure and elastic) loading phase elastic energy will be stored inside the sample, which should lead to a temperature increase. In addition, the compression of air inside isolated the pores as well as crack closure with possibly some friction at the microscopic level may also contribute to a temperature increase. This expected temperature increase should be quite homogeneous.
- (2)
- After passing the crack initiation phase, crack propagation has to be considered as an additional factor contributing to the energy balance. Part of the stored elastic energy is used for crack propagation. This process is connected to the radiation of seismic energy and frictional heat production in the cases of Mode-II and Mode-III fracture propagation as well as local heat production at the near-zone of the crack tips due to plastifications in the process zone. On the other side, cooling can take place due to gas decompression (adiabatic expansion). Mode-I fracture propagation is characterized by the much lower consumption of fracture energy, but also the lower radiation of seismic energy and more or less no frictional heat production. Due to the complex inner microstructure of rocks it is extremely difficult to evaluate the contribution of all these effects on heat production or consumption (temperature change). One should notice that fracture initiation and propagation is a very local process and consequently the heat production/consumption will appear quite inhomogeneous. Figure 7 document this local behavior.
Figure 7. Frictional heating at a shear fracture of sandstone sample A5. (a) Infrared thermal image (°C). (b) Object picture.
5.3. Error Analysis
In the experiments, the measured infrared radiation is interfered with by various types of noise, resulting in a distortion of the obtained infrared radiation information [7]. The main reasons are: (1) The temperature of the sample during the experiment is generally lower than or close to the ambient temperature. As a result, any fluctuation of the ambient temperature causes significant disturbances on the AIRT measurement results [27]; (2) Due to the inhomogeneity of the uncooled infrared focal plane array (IRFPA), during long-term observations, a time drift occurs, resulting in some inaccuracy in the AIRT measurement [28]; (3) The AIRT variation of the compressed rock samples during the damage evolution is relatively small, so that noise signals can hide real small AIRT information.
To solve the problems mentioned above, reference samples were added to the experimental system, and a background thermal noise correction model was used to denoise the AIRT of the loaded sample. Although the background noise correction model was implemented to obtain the AIRT variations of the loaded sample, the noise could not be removed entirely [18]. For example, as shown in Figure 8, the AIRT of the reference sample after denoising still fluctuates (the maximum fluctuation range is 0.03 °C). This means that the error range of noise interference on the AIRT value of the loaded sample surface after denoising may reach 0.03 °C. This may also be an important reason as to why some experimental phenomena could not reasonably be well explained.
Figure 8.
AIRT of sample A1 before and after denoising processes. (a) Before denoising. (b) After denoising.
Another important aspect which has to be considered is the fact that only part of the sample is observed (only front side). Especially after the onset of fracture propagation and damage evolution, the radiation characteristics become very inhomogeneous and the missing information from parts of the surface may lead to erroneous AIRT values.
6. Conclusions
The infrared radiation response characteristics and mechanisms of sandstone samples under uniaxial compression were investigated by using infrared thermal imaging and strain measurement techniques. The experimental results show that during loading, different processes (some of them reverse acting) contribute to heat production or consumption. Different fracture mechanisms (shear vs. tensile fracturing) determine the thermal behavior in a quite different way. Thermoelastic effects and the nearly adiabatic compression of the air in the pore space govern the temperature variations during crack closure and elastic deformation stage. However, the temperature changes are dominated by both the frictional sliding heat production and the cooling effect due to the expansion of gases in the pore spaces during the stable and unstable crack growth phase. Therefore, the infrared radiation response characteristics of the sandstone include the superposition of different mechanisms, leading to either temperature increase or decrease.
Some thoughts for carrying out the infrared radiation rock mechanical tests are proposed: (1) Measurements have to be performed very accurately since the temperature deduced from infrared radiation changes are minimal. The use of reference samples and filtering techniques as well as temperature-stabilized measuring places are strictly recommended. (2) It seems questionable that AIRT alone will provide sufficient information (though it may be sufficient to obtain an overview of the overall heat balance), because most interesting information is coming from fracture propagation and this process is very local. Therefore, the local detection and analysis of hotspots may deliver more helpful information. (3) To obtain the complete picture, the surface should be monitored from all sides, otherwise, important features can be missed. (4) A minority of samples have shown decreasing temperature beginning with the onset of microcracking during the loading process. To date, no stringent explanation is available for this phenomenon, although processes such as adiabatic gas expansion in pores can partly help to explain this phenomenon. (5) Because infrared radiation monitoring is a non-destructive method to obtain information about the energy balance in rocks, it should be considered a valuable additional monitoring technique in rock mechanics.
Author Contributions
All authors contributed to the study conception and design. Material preparation, data collection and analysis were performed by H.S., H.Z., H.K. and F.W.; Data curation, M.H. The first draft of the manuscript was written by H.S. and all authors commented on previous versions of the manuscript. All authors have read and agreed to the published version of the manuscript.
Funding
This research was funded by the Liaoning Provincial Department of Education Scientific Research Project under Grant L2020050, the Doctoral Research Fund of Liaoning Province under Grant 2021-BS-247, and the Talent Introduction Scientific Research Start-up Foundation of Liaoning Petrochemical University under Grant 2019XJJL-025. The laboratory tests were conducted at the China University of Mining and Technology (CUMT) with the support of Liqiang Ma. Therefore, the first author greatly acknowledges the Ph.D. study on the infrared radiation characteristics of rocks at CUMT. All the colleagues from CUMT involved in the laboratory tests are also gratefully acknowledged.
Institutional Review Board Statement
Not applicable.
Informed Consent Statement
Not applicable.
Data Availability Statement
Not applicable.
Conflicts of Interest
The authors declare no conflict of interest.
References
- Wang, M.; Cao, P.; Wan, W.; Zhao, Y.L.; Liu, J.; Liu, J.S. Crack growth analysis for rock-like materials with ordered multiple pre-cracks under biaxial compression. J. Cent. South Univ. 2017, 24, 866–874. [Google Scholar] [CrossRef]
- Li, C.L. Rockburst conditions and rockburst support. Chin. J. Rock Mech. Eng. 2019, 38, 674–682. [Google Scholar]
- Lai, X.P.; Liu, X.M.; Shan, P.F.; Fang, X.; Xu, H.D. Study on thermal infrared radiation variation of fractured coal-rock mass failure during mining. J. Min. Saf. Eng. 2019, 36, 777–785. [Google Scholar]
- Ma, L.Q.; Zhang, Y.; Cao, K.W.; Wang, Z.Y. An experimental study on infrared radiation characteristics of sandstone samples under uniaxial loading. Rock Mech. Rock Eng. 2019, 52, 3493–3500. [Google Scholar] [CrossRef]
- Freund, F.T. Earthquake forewarning—A multidisciplinary challenge from the ground up to space. Acta Geophys. 2013, 61, 775–807. [Google Scholar] [CrossRef]
- Liu, S.J.; Wu, L.X.; Wang, C.Y.; Ge, D.Q.; Wu, Y.H. Remote sensing-rock mechanics (VIII)—TIR omens of rock fracturing. Chin. J. Rock Mech. Eng. 2004, 23, 1621–1627. [Google Scholar]
- He, M.C.; Jia, X.N.; Gong, W.L.; Faramarzi, L. Physical modeling of an underground roadway excavation in vertically stratified rock using infrared thermography. Int. J. Rock Mech. Min. Sci. 2010, 47, 1212–1221. [Google Scholar] [CrossRef]
- Lou, Q.; He, X.Q. Experimental Study on Infrared Radiation Temperature Field of Concrete under Uniaxial Compression. Infrared Phys. Technol. 2018, 90, 20–30. [Google Scholar] [CrossRef]
- Zhang, Y.B.; Liang, P.; Liu, X.X.; Liu, S.J.; Tian, B.Z. An experimental study of predicting rockburst in granitic roadway based on multiparameter normalization. Rock Soil Mech. 2016, 37, 96–104. [Google Scholar]
- Sun, H.; Liu, X.L.; Zhang, S.G.; Kumar, N. Experimental investigation of acoustic emission and infrared radiation thermography of dynamic fracturing process of hard-rock pillar in extremely steep and thick coal seams. Eng. Fract. Mech. 2020, 226, 1–10. [Google Scholar] [CrossRef]
- Huang, J.W.; Liu, S.J.; Ni, Q.; Mao, W.F.; Gao, X. Experimental study of extracting weak infrared signals of rock induced by cyclic loading under the strong interference background. Appl. Sci. 2018, 8, 1458. [Google Scholar] [CrossRef]
- Miao, B.; Wang, X.Y.; Li, H.R. Quantitative analysis of infrared thermal images in rock fractures based on multi-fractal theory. Sustainability 2022, 14, 6543. [Google Scholar] [CrossRef]
- Hao, J.W.; Qiao, L.; Li, Z.J.; Li, Q.W. Analysis on rock fracture signals and exploration of infrared advance prediction under true triaxial loading. J. Mater. Civ. Eng. 2022, 34, 04022058. [Google Scholar] [CrossRef]
- Wu, L.X.; Liu, S.J.; Wu, Y.H.; Wang, C.Y. Precursors for rock fracturing and failure—Part II: IRR T-curve abnormalities. Int. J. Rock Mech. Min. Sci. 2006, 43, 483–493. [Google Scholar] [CrossRef]
- Wu, X.Z.; Gao, X.; Zhao, K.; Liu, J.W.; Liu, X.X. Abnormality of transient itf in the process of rock failure. Chin. J. Rock Mech. Eng. 2016, 35, 1578–1594. [Google Scholar]
- Ma, L.Q.; Zhang, D.S.; Guo, X.W.; Sun, H.; Najeem, A.; Zhang, Y. Characteristics on the variance of differential infrared image sequence during coal failures under uniaxial loading. Chin. J. Rock Mech. Eng. 2017, 36, 3927–3934. [Google Scholar]
- Ma, L.Q.; Zhang, Y.; Sun, H.; Wang, S.K.; Najeem, A. Experimental study on dependence of infrared radiation on stress for coal fracturing process. J. China Coal Soc. 2017, 42, 140–147. [Google Scholar]
- Sun, H.; Ma, L.Q.; Najeem, A.; Zhang, Y. Background thermal noise correction methodology for average infrared radiation temperature of coal under uniaxial loading. Infrared Phys. Technol. 2017, 81, 157–165. [Google Scholar] [CrossRef]
- Martin, C.D.; Chandler, N.A. The progressive fracture of Lac du Bonnet granite. Int. J. Rock Mech. Min. Sci. Geomech. Abstr. 1994, 31, 643–659. [Google Scholar] [CrossRef]
- Li, W.Z.; Si, L.; Lu, Z.G.; Yi, K.; Wu, L.Y. Determination of coal cracking initiation strength under uniaxial compression and analysis of its key factors. J. China Coal Soc. 2021, 46, 670–680. [Google Scholar]
- Xiao, F.K.; He, J.; Liu, Z.J.; Shen, Z.L.; Liu, G. Analysis on warning signs of damage of coal samples with different water contents and relevant damage evolution based on acoustic emission and infrared characterization. Infrared Phys. Technol. 2019, 97, 287–299. [Google Scholar] [CrossRef]
- Li, Z.H.; Lou, Q.; Wang, E.Y.; Liu, S.J.; Niu, Y. Study on acoustic–electric–heat effect of coal and rock failure processes under uniaxial compression. J. Geophys. Eng. 2018, 15, 71–80. [Google Scholar] [CrossRef]
- Sun, X.M.; Xu, H.C.; He, M.C.; Zhang, F. Experimental investigation of the occurrence of rockburst in a rock specimen through infrared thermography and acoustic emission. Int. J. Rock Mech. Min. Sci. 2017, 93, 250–259. [Google Scholar] [CrossRef]
- Liu, J.J.; Zhou, Y.P.; Li, S.L. Department of Physical Chemistry of Tianjin University. In Physical Chemistry (Part 1); Higher Education Press: Beijing, China, 2017. [Google Scholar]
- Zhang, J.Y.; Zhang, C.Y. Investigation on the conditions of a running crack and the temperature fields of the tip of a running crack. Nat. Sci. J. Xiangtan Univ. 1996, 18, 102–105. [Google Scholar]
- Wang, M.H. The temperature fields around the tip of a fast running crack. Appl. Math. Mech. 1984, 5, 873–878. [Google Scholar]
- Lu, Z.F. Calibration and the Measurement Error Analysis of Infrared Imaging System for Temperature Measurement; Chinese Academy of Sciences (Changchun Institute of Optics, Fine Mechanics and Physics): Changchun, China, 2010. [Google Scholar]
- Holland, S.D.; Renshaw, J. Physics-based image enhancement for infrared thermography. NDT&E Int. 2010, 43, 440–445. [Google Scholar]
Publisher’s Note: MDPI stays neutral with regard to jurisdictional claims in published maps and institutional affiliations. |
© 2022 by the authors. Licensee MDPI, Basel, Switzerland. This article is an open access article distributed under the terms and conditions of the Creative Commons Attribution (CC BY) license (https://creativecommons.org/licenses/by/4.0/).