The Power Zeghdoudi Distribution: Properties, Estimation, and Applications to Real Right-Censored Data
Abstract
1. Introduction
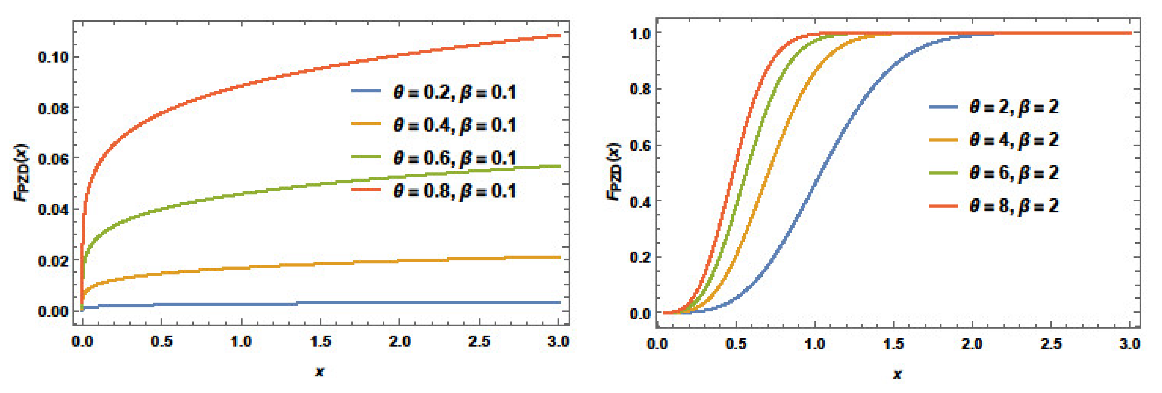
2. The Power Zeghdοudi Distribution
The Mode PZD
3. Statistical Properties
3.1. Moments
3.2. Order Statistics
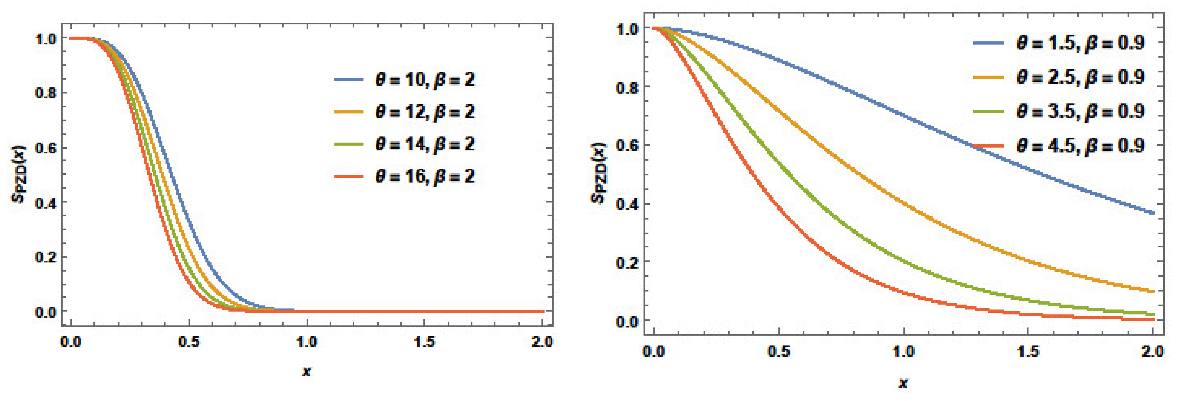
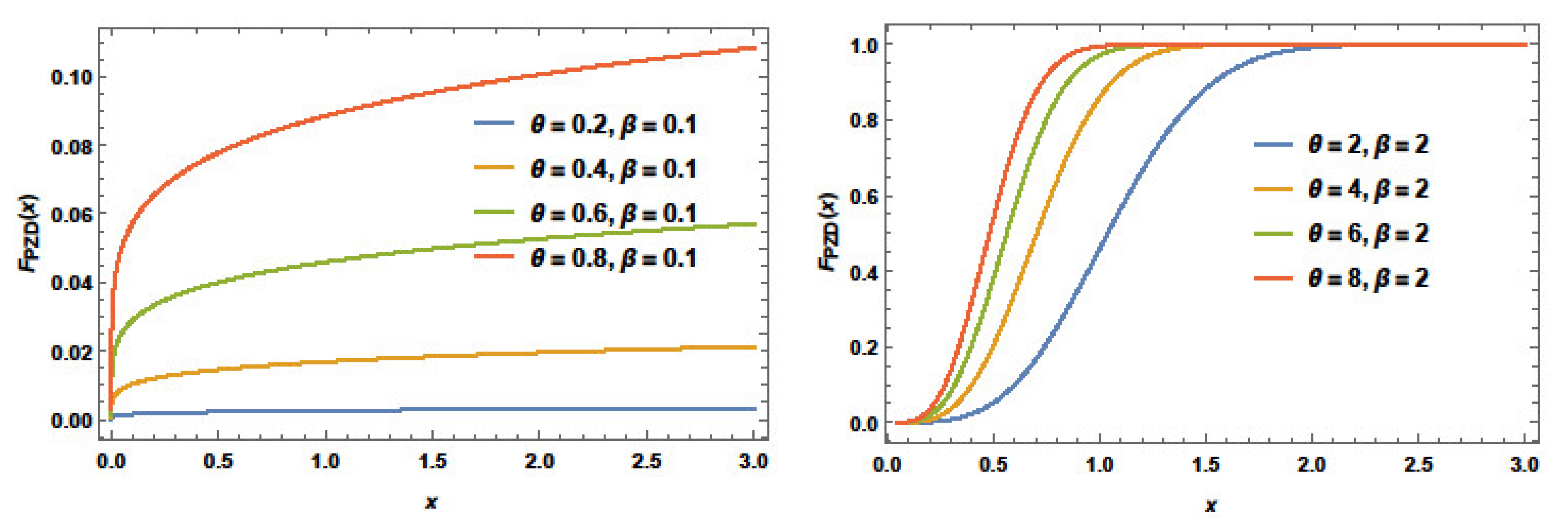
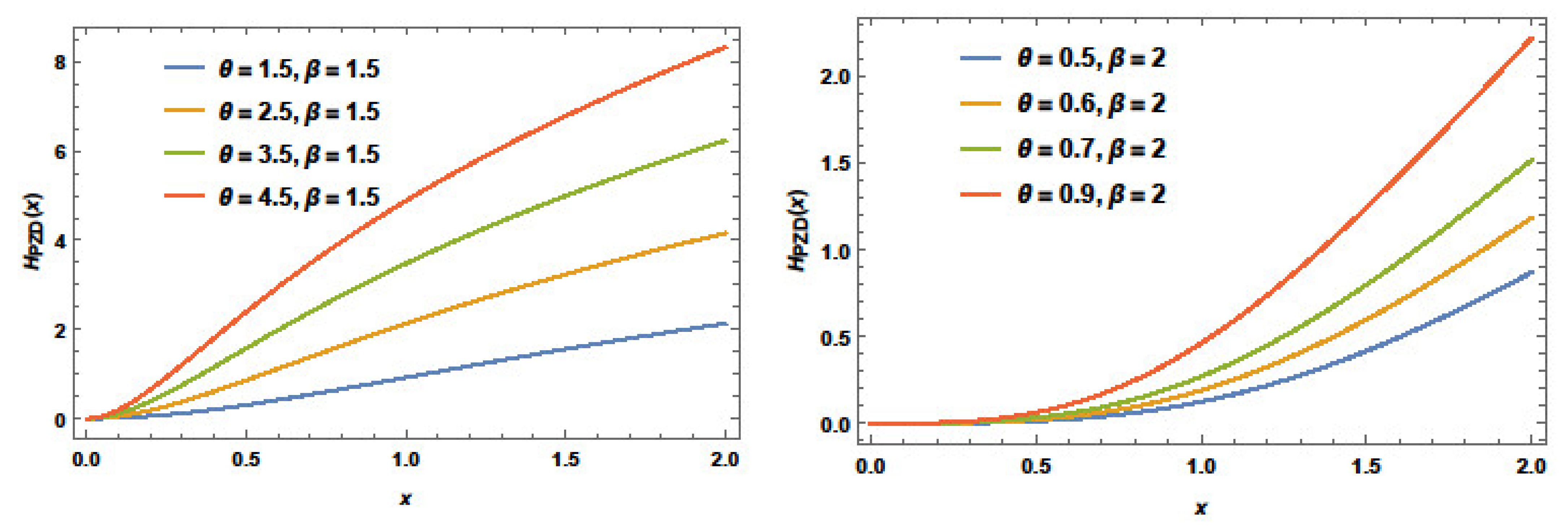
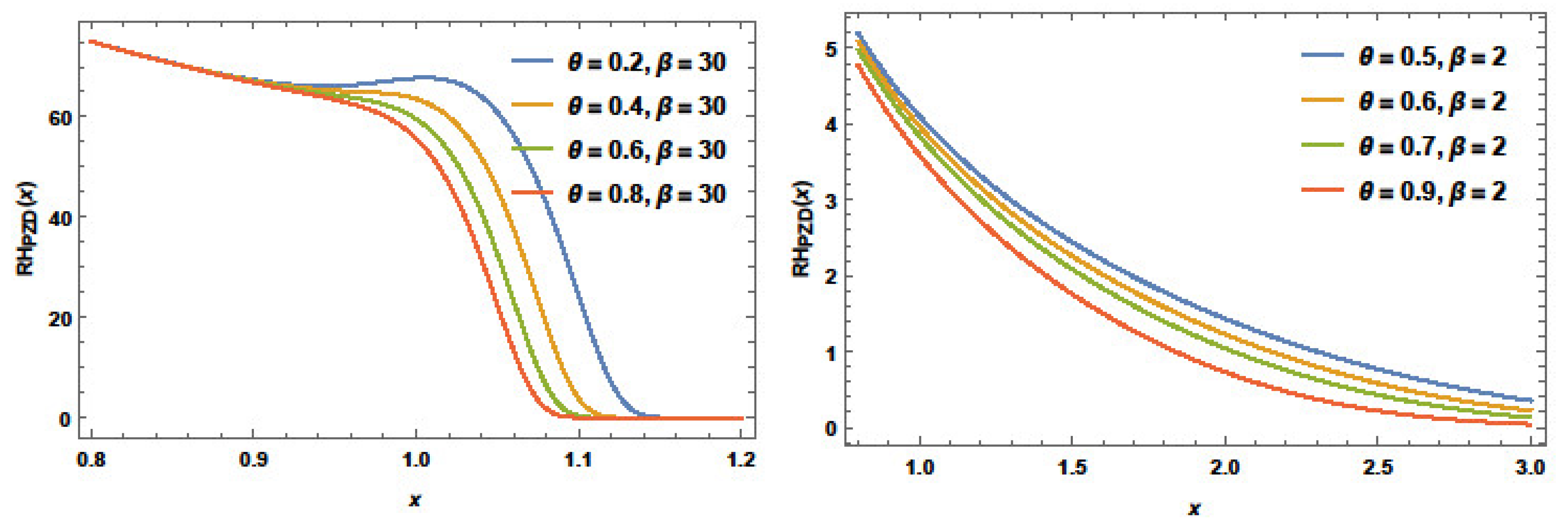
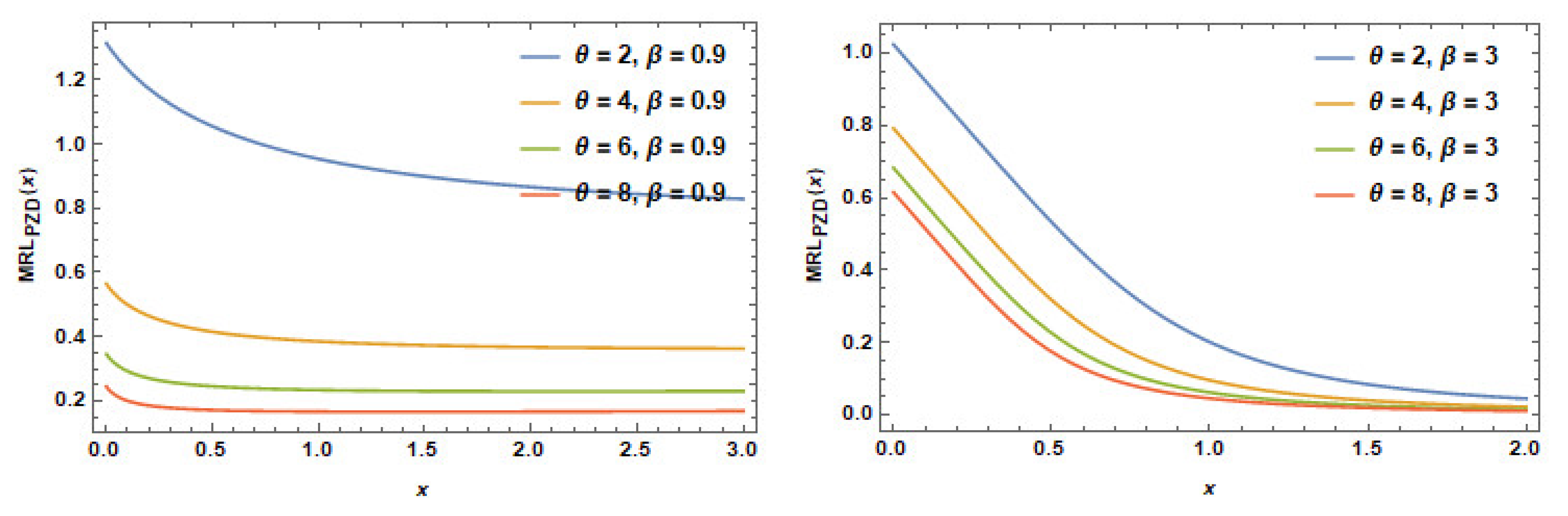
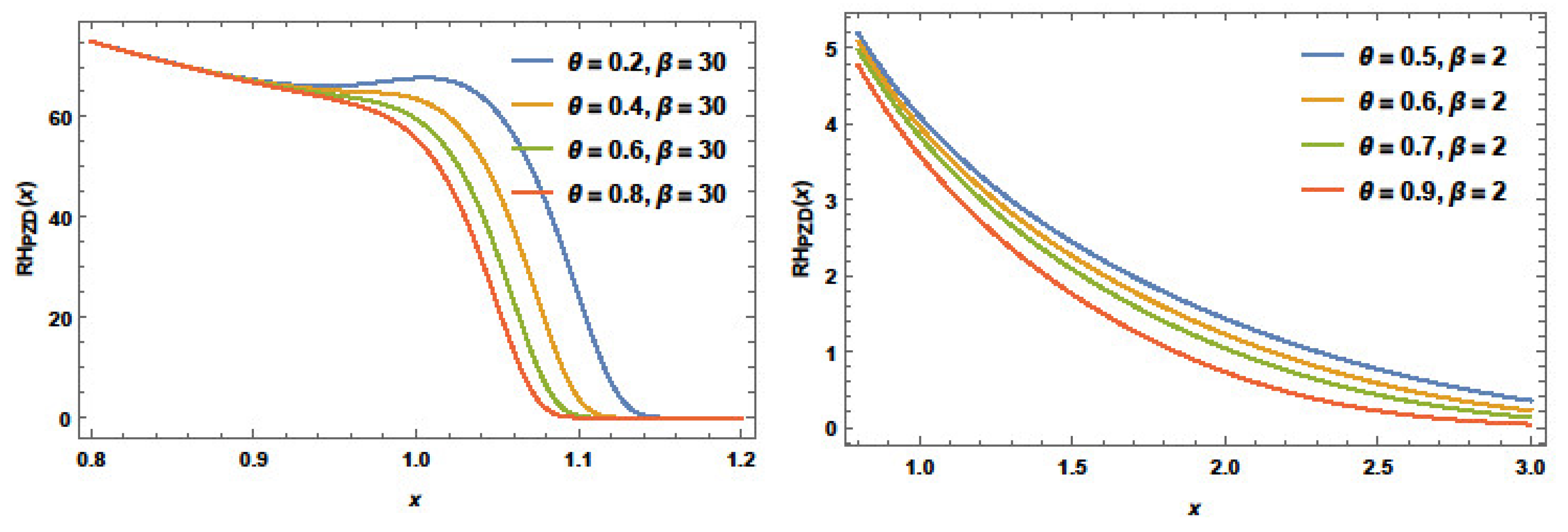
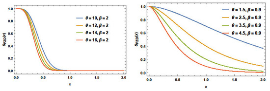
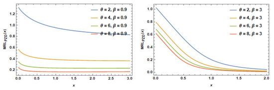
3.3. Reliability Measures
3.4. Mean and Median Deviations
3.5. Quantile Function and Stochastic Ordering
3.5.1. Quantile Function
3.5.2. Stochastic Ordering
- (1)
- Mean residual life order , if for all t.
- (2)
- Likelihood ratio order , if decreases for all t.
- (3)
- Hazard rate order , if for all t.
- (4)
- Stochastic order , if for all t.
3.6. Some Curves and Gini Index
4. Methods of Estimation and Test
4.1. The MLE
4.2. Methods of LS and WLS
4.3. Method of Maximum Product of Spacing
4.4. Cramer–Von Mises and Anderson–Darling Methods
4.5. The Nikulin–Rao–Robson Test
5. Simulations
6. Applications
- -
- The xgamma distribution suggested by [40] with pdf given by
- -
- Gamma distribution with pdf given by
- -
- Lomax distribution with pdf given by
- -
- Darna distribution proposed by [41] with pdf given by
- -
- Power Darna distribution introduced by [13] with pdf given by
- -
- Power Lindley distribution proposed by [2] with pdf defined as
- -
- Exponentiated power Lindley distribution (EPLD) offered by [42] with pdf given by
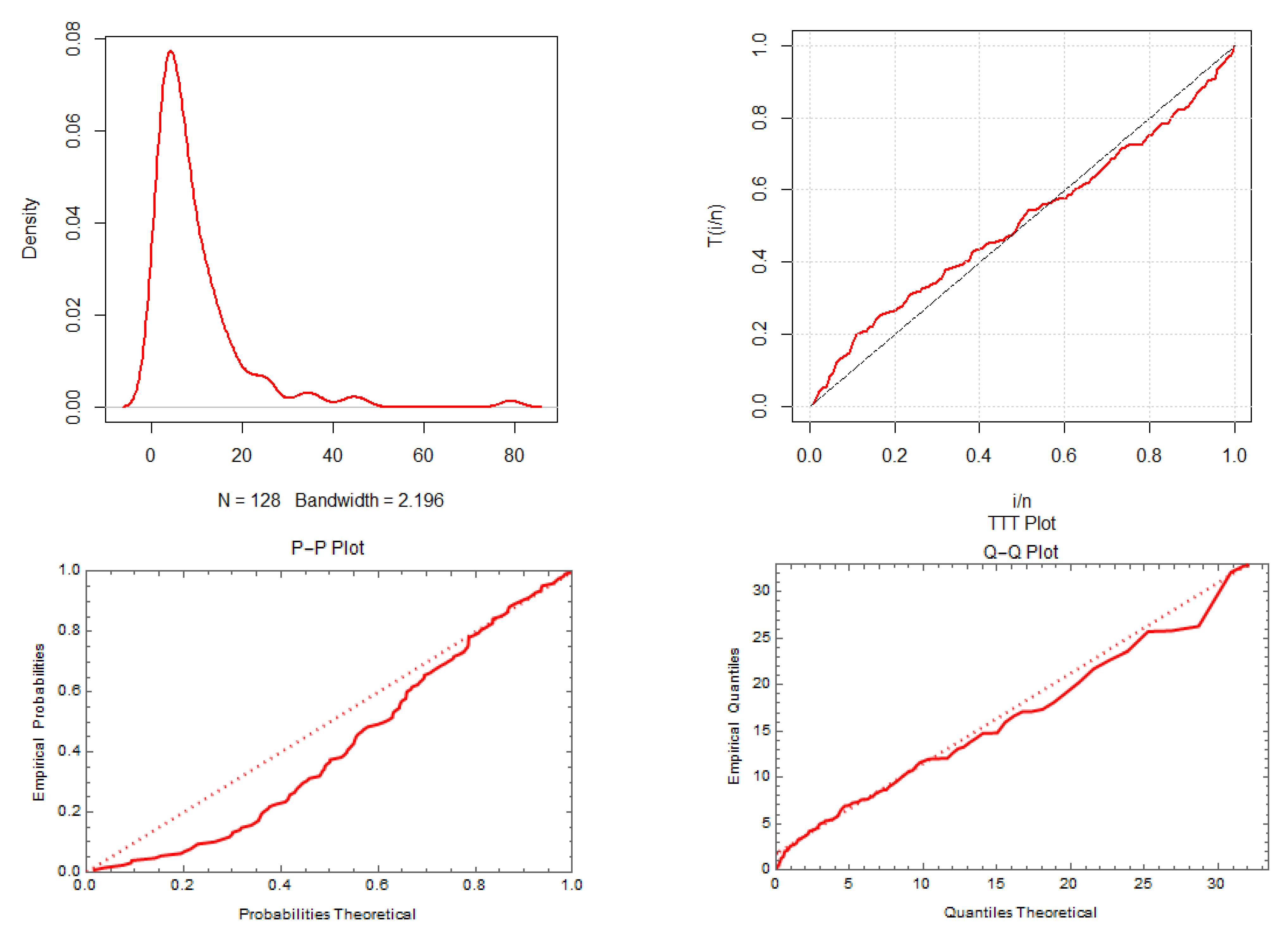
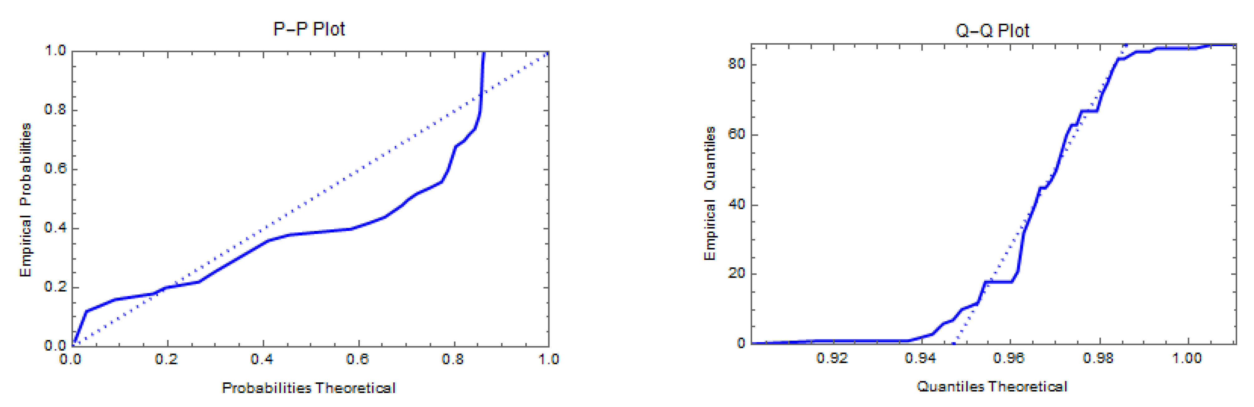
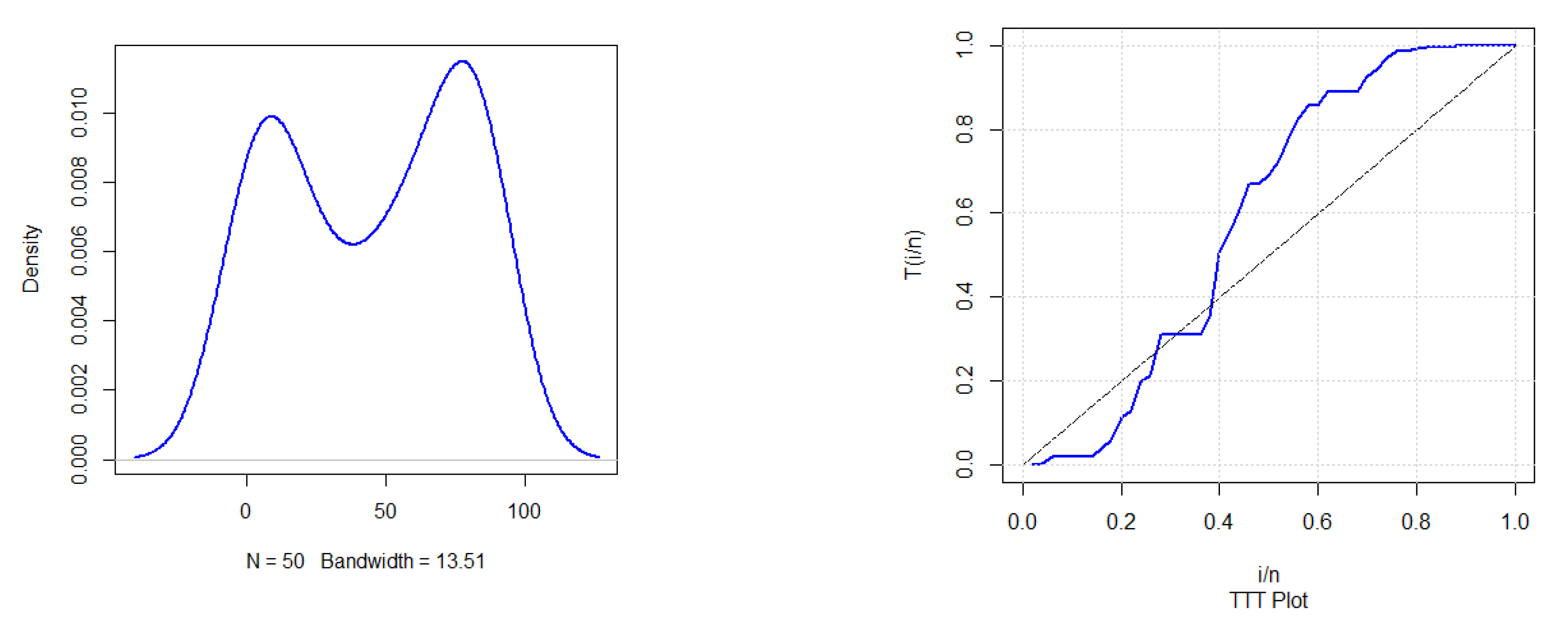
6.1. First Data: Failure Times of Devices
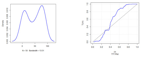
6.2. Second Data: Remission Times
6.3. Third Data: Strengths of 1.5 cm Glass Fibers
7. Conclusions and Suggestions
Author Contributions
Funding
Data Availability Statement
Conflicts of Interest
References
- Ghitany, M.E.; Atieh, B.; Nadarajah, S. Lindley distribution and its application. Math. Comput. Simul. 2008, 78, 493–506. [Google Scholar] [CrossRef]
- Ghitany, M.; Al-Mutairi, D.K.; Balakrishnan, N.; Al-Enezi, L. Power Lindley distribution and associated inference. Comput. Stat. Data Anal. 2013, 64, 20–33. [Google Scholar] [CrossRef]
- Shanker, R.; Shukla, K.K. Power Shanker distribution and its application. Turk. Klin. Biyoistatistik 2017, 9, 175–187. [Google Scholar] [CrossRef]
- Shanker, R.; Shukla, K.K. A two-parameter power Aradhana distribution with properties and application. Indian Soc. Ind. Appl. Math. 2018, 9, 210–220. [Google Scholar] [CrossRef]
- Abebe, B.; Tesfay, M.; Eyob, T.; Shanker, R. A two-parameter power Garima distribution with properties and applications. Annal. Biostat. Biomed. Appl. 2019, 1, 515. [Google Scholar]
- Abebe, B.; Tesfay, M.; Eyob, T.; Shanker, R. A two-parameter power Rama distribution with properties and applications. Biom. Biostat. Int. J. 2019, 8, 6–11. [Google Scholar]
- Shukla, K.K.; Shanker, R. Power Ishita distribution and its application to model lifetime data. Stat. Transit. New Ser. 2018, 19, 135–148. [Google Scholar] [CrossRef]
- Shanker, R.; Shukla, K.K. A two-parameter power Sujatha distribution with properties and application. Int. J. Math. Stat. 2019, 20, 11–22. [Google Scholar]
- Shukla, K.K.; Shanker, R. Power Prakaamy distribution and its applications. Int. J. Comput. Theor. Stat. 2020, 7, 25–36. [Google Scholar]
- Krishnarani, S. On a power transformation of half-logistic distribution. J. Probab. Stat. 2016, 2016, 2084236. [Google Scholar] [CrossRef]
- Habibi, M.; Asgharzadeh, A. Power binomial exponential distribution: Modeling, simulation and application. Commun. Stat.-Simul. Comput. 2018, 47, 3042–3061. [Google Scholar] [CrossRef]
- Al-Omari, A.; Alhyasat, K.; Ibrahim, K.; Abu Bakar, M. Power length-biased Suja distribution: Properties and application. Electron. J. Appl. Stat. Anal. 2019, 12, 429–452. [Google Scholar]
- Al-Omari, A.I.; Aidi, K.; Alsultan, R. Power Darna distribution with right censoring: Estimation, testing, and applications. Appl. Sci. 2022, 12, 8272. [Google Scholar] [CrossRef]
- Meriem, B.; Gemeay, A.M.; Almetwally, E.M.; Halim, Z.; Alshawarbeh, E.; Abdulrahman, A.T.; Hussam, E. The Power XLindley Distribution: Statistical Inference, Fuzzy Reliability, and COVID-19 Application. J. Funct. Spaces 2022, 2022, 9094078. [Google Scholar] [CrossRef]
- Afify, A.Z.; Gemeay, A.M.; Alfaer, N.M.; Cordeiro, G.M.; Hafez, E.H. Power-Modified Kies-Exponential Distribution: Properties, Classical and Bayesian Inference with an Application to Engineering Data. Entropy 2022, 24, 883. [Google Scholar] [CrossRef]
- Messaadia, H.; Zeghdoudi, H. Zeghdoudi distribution and its applications. Int. J. Comput. Sci. Math. 2018, 9, 58–65. [Google Scholar] [CrossRef]
- Habib, M.; Thomas, D. Chi-square goodness-if-fit tests for randomly censored data. Ann. Stat. 1986, 14, 759–765. [Google Scholar] [CrossRef]
- Hollander, M.; Pena, E.A. A chi-squared goodness-of-fit test for randomly censored data. J. Am. Stat. Assoc. 1992, 87, 458–463. [Google Scholar] [CrossRef]
- Galanova, N.; Lemeshko, B.Y.; Chimitova, E. Using nonparametric goodness-of-fit tests to validate accelerated failure time models. Optoelectron. Instrum. Data Process. 2012, 48, 580–592. [Google Scholar] [CrossRef]
- Bagdonavicius, V.; Nikulin, M. Chi-squared goodness-of-fit test for right censored data. Int. J. Appl. Math. Stat. 2011, 24, 30–50. [Google Scholar]
- R Core Team. R: A Language and Environment for Statistical Computing; R Foundation for Statistical Computing: Vienna, Austria, 2020. [Google Scholar]
- Swain, J.J.; Venkatraman, S.; Wilson, J.R. Least-squares estimation of distribution functions in Johnson’s translation system. J. Stat. Comput. Simul. 1988, 29, 271–297. [Google Scholar] [CrossRef]
- Cheng, R.C.H.; Amin, N.A.K. Estimating parameters in continuous univariate distribution with a shifted origin. J. R. Stat. Soc. 1983, 45, 394–403. [Google Scholar] [CrossRef]
- Al-Mofleh, H.; Afify, A.Z. A generalization of Ramos-Louzada distribution: Properties and estimation, properties and estimation. arXiv 2019, arXiv:1912.08799v1. [Google Scholar]
- Cheng, R.C.H.; Stephens, M.A. A goodness-of-fit test using Moran’s statistic with estimated parameters. Biometrika 1989, 76, 385–392. [Google Scholar] [CrossRef]
- Bakouch, H.S.; Dey, S.; Ramos, P.L.; Louzada, F. Binomial-exponential 2 distribution: Different estimation methods with weather applications. TEMA 2017, 18, 233–251. [Google Scholar] [CrossRef]
- Saha, M.; Dey, S.; Yadav, A.S.; Ali, S. Confidence intervals of the index Cpk for normally distributed quality characteristics using classical and Bayesian methods of estimation. Braz. J. Probab. Stat. 2021, 35, 138–157. [Google Scholar] [CrossRef]
- MacDonald, P.D.M. Comment on an estimation procedure for mixtures of distributions” by choi and bulgren. J. R. Stat. Society. Ser. B (Methodol.) 1971, 33, 326–329. [Google Scholar]
- Boos, D.D. Minimum distance estimators for location and goodness of fit. J. Am. Stat. Assoc. 1981, 76, 663–667. [Google Scholar] [CrossRef]
- Anderson, T.W.; Darling, D.A. Asymptotic Theory of Certain “Goodness of Fit” Criteria Based on Stochastic Processes. Ann. Math. Statist. 1952, 23, 193–212. [Google Scholar] [CrossRef]
- Rodrigues, G.C.; Louzada, F.; Ramos, P.L. Poisson–exponential distribution. different methods of estimation. J. Appl. Stat. 2018, 45, 128–144. [Google Scholar] [CrossRef]
- ZeinEldin, R.A.; Ahsan ul Haq, M.; Hashmi, S.; Elsehety, M. Alpha power transformed inverse Lomax distribution with different methods of estimation and applications. Complexity 2020, 2020, 1860813. [Google Scholar] [CrossRef]
- Akgül, F.G. Comparison of the estimation methods for the parameters of exponentiated reduced Kies distribution. J. Nat. Appl. Sci. 2018, 22, 1209–1216. [Google Scholar]
- Nikulin, M.S. Chi-square test for continuous distributions with location and scale parameters. Teor. Veroyatnostei Primen. 1973, 18, 583–591. [Google Scholar]
- Rao, K.C.; Robson, D.S. A Chi-square statistic for goodness-of-fit tests within the exponential family. Commun. Stat. 1974, 3, 1139–1153. [Google Scholar] [CrossRef]
- Goual, H.; Seddik-Ameur, N. Chi-squared type test for the AFT-generalized inverse Weibull distribution. Commun. Stat.-Theory Methods 2014, 43, 2605–2617. [Google Scholar] [CrossRef]
- Seddik-Ameur, N.; Aidi, K. Chi-square tests for generalized exponential distributions with censored data. Electron. J. Appl. Stat. Anal. 2016, 9, 371–384. [Google Scholar]
- Tilbi, D.; Seddik-Ameur, N. Chi-squared goodness-of-fit tests for the generalized Rayleigh distribution. J. Stat. Theory Pract. 2017, 11, 594–603. [Google Scholar] [CrossRef]
- Treidi, W.; Seddik-Ameur, N. NRR statistic for the extension Weibull distribution. Glob. J. Pure Appl. Math. 2016, 12, 2809–2818. [Google Scholar]
- Sen, S.; Maiti, S.S.; Chandra, N. The Xgamma distribution: Statistical properties and application. J. Mod. Appl. Stat. Methods 2016, 15, 774–788. [Google Scholar] [CrossRef]
- Al-Omari, A.I.; Shraa, D. Darna distribution: Properties and application. Electron. J. Appl. Stat. Anal. 2019, 12, 520–541. [Google Scholar]
- Ashour, S.K.; Eltehiwy, M.A. Exponentiated power Lindley distribution. J. Adv. Res. 2015, 6, 895–905. [Google Scholar] [CrossRef]
- Aarset, M.V. How to identify a bathtub hazard rate. IEEE Trans. Reliab. 1987, 36, 106–108. [Google Scholar] [CrossRef]
- Lee, E.T.; Wang, J.W. Statistical Methods for Survival Data Analysis, 3rd ed.; Wiley: New York, NY, USA, 2003. [Google Scholar]
- Bourguignon, M.; Silva, R.B.; Cordeiro, G.M. The Weibull G family of probability distributions. J. Data Sci. 2014, 12, 53–68. [Google Scholar] [CrossRef] [PubMed]
- Smith, R.L.; Naylor, J.C. A Comparison of maximum likelihood and Bayesian estimators for the three-parameter Weibull distribution. Appl. Stat. 1987, 36, 358–360. [Google Scholar] [CrossRef]
- Ibrahim, K.; Syam, M.; Al-Omari, A.I. Estimating the population mean using stratified median ranked set sampling. Appl. Math. Sci. 2010, 4, 2341–2354. [Google Scholar]
- Jemain, A.A.; Al-Omari, A.I. Double percentile ranked set samples for estimating the population mean. Adv. Appl. Stat. 2006, 6, 261–276. [Google Scholar]












| 3 | 0.881 | 0.211 | 0.239 | 0.003 | 2.856 | 4.0 | 1.012 | 0.181 | 0.179 | −0.195 | 2.977 |
| 3.1 | 0.870 | 0.208 | 0.239 | 0.004 | 2.855 | 4.1 | 1.012 | 0.177 | 0.175 | −0.209 | 2.990 |
| 3.2 | 0.860 | 0.206 | 0.240 | 0.006 | 2.854 | 4.2 | 1.011 | 0.173 | 0.171 | −0.222 | 3.002 |
| 3.3 | 0.850 | 0.204 | 0.240 | 0.007 | 2.853 | 4.3 | 1.010 | 0.169 | 0.167 | −0.234 | 3.015 |
| 3.4 | 0.841 | 0.202 | 0.240 | 0.009 | 2.853 | 4.4 | 1.010 | 0.165 | 0.163 | −0.246 | 3.028 |
| 3.5 | 0.832 | 0.200 | 0.241 | 0.010 | 2.852 | 4.5 | 1.009 | 0.161 | 0.160 | −0.258 | 3.041 |
| 3.6 | 0.823 | 0.198 | 0.241 | 0.011 | 2.852 | 4.6 | 1.009 | 0.158 | 0.157 | −0.269 | 3.054 |
| 3.7 | 0.815 | 0.196 | 0.241 | 0.013 | 2.851 | 4.7 | 1.008 | 0.155 | 0.153 | −0.280 | 3.067 |
| 3.8 | 0.807 | 0.195 | 0.241 | 0.014 | 2.851 | 4.8 | 1.008 | 0.152 | 0.150 | −0.290 | 3.080 |
| 3.9 | 0.799 | 0.193 | 0.241 | 0.015 | 2.851 | 4.9 | 1.008 | 0.149 | 0.147 | −0.300 | 3.093 |
| p | ||||
|---|---|---|---|---|
| 0.1 | 0.77493 | 0.60731 | 0.61184 | 2.14411 |
| 0.2 | 0.86098 | 0.70059 | 0.66758 | 3.43875 |
| 0.25 | 0.89311 | 0.73638 | 0.68827 | 4.05443 |
| 0.30 | 0.92166 | 0.76861 | 0.70656 | 4.67193 |
| 0.40 | 0.97244 | 0.82687 | 0.73904 | 5.95421 |
| 0.50 | 1.01894 | 0.88125 | 0.76862 | 7.36366 |
| 0.60 | 1.06452 | 0.93544 | 0.79746 | 8.99532 |
| 0.70 | 1.11224 | 0.99309 | 0.82749 | 11.0074 |
| 0.75 | 1.13820 | 1.02484 | 0.84376 | 12.2477 |
| 0.80 | 1.16675 | 1.06003 | 0.86158 | 13.7405 |
| 0.90 | 1.24005 | 1.15175 | 0.90702 | 18.2684 |
| 0.95 | 1.29868 | 1.22643 | 0.94301 | 22.7118 |
| 0.99 | 1.40436 | 1.36385 | 1.00707 | 32.9481 |
| n = 10 | n = 25 | |||
| MLE | 4.8841 (0.0122) | 0.5899 (0.0124) | 4.8993 (0.0105) | 0.5776 (0.0106) |
| WLS | 4.8973 (0.0120) | 0.5832 (0.0117) | 4.9176 (0.0103) | 0.5719 (0.0099) |
| MPS | 4.8812 (0.0136) | 0.6118 (0.0147) | 4.8935 (0.0119) | 0.5995 (0.0129) |
| CMEs | 5.0735 (0.0126) | 0.3099 (0.0131) | 5.0632 (0.0109) | 0.4023 (0.0113) |
| LSE | 5.0759 (0.0098) | 0.4244 (0.0093) | 5.0607 (0.0086) | 0.4355 (0.0085) |
| ADE | 5.1405 (0.0158) | 0.3768 (0.0159) | 5.1282 (0.0141) | 0.3928 (0.0141) |
| ADEL-R | 5.1477 (0.0167) | 0.3709 (0.0171) | 5.1354 (0.0150) | 0.3851 (0.0153) |
| ADEL-T | 5.1656 (0.0175) | 0.3653 (0.0177) | 5.1533 (0.0158) | 0.3782 (0.0159) |
| MLE | 4.9146 (0.0090) | 0.5611 (0.0089) | 4.9644 (0.0040) | 0.5348 (0.0037) |
| WLS | 4.9391 (0.0088) | 0.5567 (0.0082) | 4.9271 (0.0079) | 0.5445 (0.0070) |
| MPS | 4.9069 (0.0104) | 0.5832 (0.0112). | 4.9224 (0.0090) | 0.5567 (0.0077) |
| CMEs | 5.0517 (0.0094) | 0.4152 (0.0096) | 5.0364 (0.0072) | 0.4274 (0.0061) |
| LSE | 5.0454 (0.0071) | 0.4507 (0.0068) | 5.0329 (0.0055) | 0.4623 (0.0052) |
| ADE | 5.1068 (0.0127) | 0.4011 (0.0124) | 5.0852 (0.0111) | 0.4143 (0.0093) |
| ADEL-R | 5.1143 (0.0136) | 0.3980 (0.0136) | 5.0924 (0.0120) | 0.4112 (0.0099) |
| ADEL-T | 5.1319 (0.0144) | 0.3914 (0.0142) | 5.1103 (0.0125) | 0.4056 (0.0116) |
| MLE | 4.9869 (0.0027) | 0.5123 (0.0024) | 4.9989 (0.0012) | 0.5003 (0.0009) |
| WLS | 4.9586 (0.0061) | 0.5183 (0.0053) | 4.9813 (0.0043) | 0.5054 (0.0035) |
| MPS | 4.9437 (0.0072) | 0.5304 (0.0060) | 4.9763 (0.0056) | 0.5078 (0.0042) |
| CMEs | 5.0195 (0.0053) | 0.5412 (0.0044) | 5.0096 (0.0038) | 0.4834 (0.0026) |
| LSE | 5.0167 (0.0039) | 0.4785 (0.0035) | 5.0035 (0.0023) | 0.4908 (0.0015) |
| ADE | 5.0527 (0.0093) | 0.4408 (0.0076) | 5.0234 (0.0077) | 0.4733 (0.0058) |
| ADEL-R | 5.0633 (0.0102) | 0.4377 (0.0081) | 5.0302 (0.0086) | 0.4702 (0.0063) |
| ADEL-T | 5.0741 (0.0110) | 0.4321 (0.0094) | 5.0416 (0.0092) | 0.4646 (0.0076) |
| Method | KS | p-Value | ||
|---|---|---|---|---|
| MLE | 0.6763 | 4.6777 | 0.1726 | 0.9496 |
| WLS | 0.3646 | 2.3162 | 0.1976 | 0.9284 |
| MPS | 0.2346 | 3.4677 | 0.2011 | 0.9202 |
| CMEs | 0.3679 | 5.6626 | 0.1938 | 0.9334 |
| LSE | 0.5976 | 4.7647 | 0.1784 | 0.9412 |
| ADE | 0.6696 | 6.6133 | 0.2134 | 0.9177 |
| ADEL-R | 0.8010 | 7.6727 | 0.2212 | 0.9086 |
| ADEL-T | 0.9262 | 8.7689 | 0.2276 | 0.9010 |
| Distributions | Estimates |
|---|---|
| PZD | |
| ZD | |
| Lomax | |
| Xgamma | |
| Gamma | |
| Darna | |
| Power Lindley | , |
| Power Darna | |
| EP LD |
| Distributions | Y2 | W | A | K-S (p-Value) | -NLL | AIC | CAIC | BIC |
|---|---|---|---|---|---|---|---|---|
| PZD | 8.4684 | 0.2986 | 0.6844 | 0.1726 (0.9496) | 213.8102 | 431.6204 | 431.8757 | 435.4444 |
| ZD | 10.3344 | 0.4144 | 0.7468 | 0.2633 (0.9264) | 236.7156 | 475.4312 | 475.5145 | 477.3432 |
| Lomax | 10.9816 | 0.5282 | 0.7677 | 0.4476 (0.9103) | 253.4021 | 510.8042 | 511.0595 | 514.6282 |
| Xgamma | 12.6326 | 0.5633 | 0.9436 | 0.3466 (0.9098) | 241.0956 | 484.1312 | 484.2145 | 486.1032 |
| Gamma | 11.3392 | 0.4496 | 0.8434 | 0.5233 (0.9126) | 262.3364 | 528.6728 | 528.9281 | 532.4968 |
| Darna | 9.2204 | 0.3642 | 0.6939 | 0.1833 (0.9312) | 221.9302 | 447.8604 | 448.1157 | 451.6844 |
| Power Lindley | 12.8596 | 0.5698 | 0.9445 | 0.5325 (0.8965) | 268.9236 | 541.8472 | 542.1025 | 545.6710 |
| Power Darna | 8.7659 | 0.3245 | 0.6862 | 0.1756 (0.9423) | 221.3546 | 448.7092 | 449.2309 | 454.4450 |
| EP LD | 13.0251 | 0.5702 | 0.9512 | 0.5366 (0.8902) | 272.3256 | 550.6512 | 551.1729 | 556.3870 |
| Method | KS | p-Value | ||
|---|---|---|---|---|
| MLE | 0.4342 | 5.1267 | 0.0314 | 0.8434 |
| WLS | 0.6764 | 6.3616 | 0.0386 | 0.8383 |
| MPS | 0.6989 | 7.7768 | 0.0497 | 0.8198 |
| CMEs | 0.4213 | 4.9674 | 0.0478 | 0.8266 |
| LSE | 0.3417 | 4.1625 | 0.0412 | 0.8317 |
| ADE | 0.7895 | 8.4616 | 0.0519 | 0.8078 |
| ADEL-R | 0.7618 | 8.7786 | 0.0581 | 0.7984 |
| ADEL-T | 0.8216 | 9.7633 | 0.0553 | 0.8010 |
| Distributions | Estimates |
|---|---|
| PZD | |
| ZD | |
| Lomax | |
| Xgamma | |
| Gamma | |
| Darna | |
| Power Lindley | , |
| Power Darna | |
| EP LD |
| Distributions | Y2 | A | W | K-S (p-Value) | -NLL | AIC | BIC |
|---|---|---|---|---|---|---|---|
| PZD | 9.8906 | 0.6782 | 0.0934 | 0.0314 (0.8434) | 346.3315 | 696.6630 | 700.4870 |
| ZD | 12.7648 | 0.7341 | 0.1598 | 0.0346 (0.7946) | 352.9865 | 707.9730 | 709.8850 |
| Darna | 10.9636 | 0.6914 | 0.1241 | 0.0324 (0.8126) | 349.6614 | 703.3228 | 707.1468 |
| Xgamma | 13.9246 | 0.7633 | 0.1739 | 0.0377 (0.7767) | 354.6978 | 711.3956 | 713.3076 |
| Gamma | 11.8246 | 0.7146 | 0.1433 | 0.0334 (0.8098) | 351.2365 | 706.4730 | 710.2970 |
| Lomax | 13.0146 | 0.7424 | 0.1646 | 0.0356 (0.7833) | 353.6748 | 711.3496 | 715.1736 |
| Power Lindley | 12.5362 | 0.8125 | 0.1762 | 0.0374 (0.7614) | 356.2350 | 716.4700 | 722.1740 |
| Power Darna | 10.0236 | 0.6825 | 0.1143 | 0.0320 (0.8234) | 348.6320 | 703.2640 | 711.8200 |
| EP LD | 14.5236 | 0.9125 | 0.1726 | 0.0402 (0.7522) | 362.2530 | 730.5060 | 739.0620 |
| Method | KS | p-Value | ||
|---|---|---|---|---|
| MLE | 0.3152 | 3.5162 | 0.0422 | 0.8496 |
| WLS | 0.2365 | 5.0215 | 0.0485 | 0.8377 |
| MPS | 0.5326 | 4.9936 | 0.0502 | 0.8222 |
| CMEs | 0.4152 | 3.5162 | 0.0564 | 0.8143 |
| LSE | 0.3465 | 4.0321 | 0.0446 | 0.8435 |
| ADE | 0.2526 | 4.5136 | 0.0534 | 0.8102 |
| ADEL-R | 0.0236 | 2.6351 | 0.0599 | 0.7933 |
| ADEL-T | 0.1635 | 3.5162 | 0.0578 | 0.8089 |
| Distributions | Estimates |
|---|---|
| PZD | |
| ZD | |
| Lomax | |
| Xgamma | |
| Gamma | |
| Darna | |
| Power Lindley | |
| Power Darna | |
| EP LD |
| Distributions | Y2 | A | W | K-S (p-Value) | -NLL | AIC | BIC |
|---|---|---|---|---|---|---|---|
| PZD | 7.2365 | 0.5623 | 0.0785 | 0.0422 (0.8496) | 89.623 | 183.246 | 187.532 |
| ZD | 8.6235 | 0.6748 | 0.0946 | 0.0512 (0.8348) | 93.516 | 189.032 | 191.175 |
| Darna | 9.1532 | 0.7146 | 0.1016 | 0.0533 (0.8273) | 94.623 | 193.246 | 197.532 |
| Xgamma | 12.130 | 0.8189 | 0.1203 | 0.0862 (0.7869) | 99.889 | 201.778 | 203.921 |
| Gamma | 11.846 | 0.8133 | 0.1176 | 0.0785 (0.7902) | 98.495 | 200.99 | 205.276 |
| Lomax | 11.526 | 0.8041 | 0.1135 | 0.0674 (0.7945) | 97.648 | 199.296 | 203.582 |
| Power Lindley | 9.8462 | 0.7688 | 0.1078 | 0.0584 (0.8135) | 95.784 | 195.568 | 199.854 |
| Power Darna | 7.5263 | 0.6325 | 0.0823 | 0.0476 (0.8412) | 91.253 | 188.506 | 194.935 |
| EP LD | 10.236 | 0.7914 | 0.1106 | 0.0624 (0.8053) | 96.667 | 199.334 | 205.763 |
Publisher’s Note: MDPI stays neutral with regard to jurisdictional claims in published maps and institutional affiliations. |
© 2022 by the authors. Licensee MDPI, Basel, Switzerland. This article is an open access article distributed under the terms and conditions of the Creative Commons Attribution (CC BY) license (https://creativecommons.org/licenses/by/4.0/).
Share and Cite
Aidi, K.; Al-Omari, A.I.; Alsultan, R. The Power Zeghdoudi Distribution: Properties, Estimation, and Applications to Real Right-Censored Data. Appl. Sci. 2022, 12, 12081. https://doi.org/10.3390/app122312081
Aidi K, Al-Omari AI, Alsultan R. The Power Zeghdoudi Distribution: Properties, Estimation, and Applications to Real Right-Censored Data. Applied Sciences. 2022; 12(23):12081. https://doi.org/10.3390/app122312081
Chicago/Turabian StyleAidi, Khaoula, Amer Ibrahim Al-Omari, and Rehab Alsultan. 2022. "The Power Zeghdoudi Distribution: Properties, Estimation, and Applications to Real Right-Censored Data" Applied Sciences 12, no. 23: 12081. https://doi.org/10.3390/app122312081
APA StyleAidi, K., Al-Omari, A. I., & Alsultan, R. (2022). The Power Zeghdoudi Distribution: Properties, Estimation, and Applications to Real Right-Censored Data. Applied Sciences, 12(23), 12081. https://doi.org/10.3390/app122312081

