Seismic Response of Utility Tunnels with Different Burial Depths at the Non-Homogeneous Liquefiable Site
Abstract
1. Introduction
2. Numerical Analysis Setup
2.1. Geometric Models
2.2. Materials Properties and Parameters
2.3. Damping of Materials
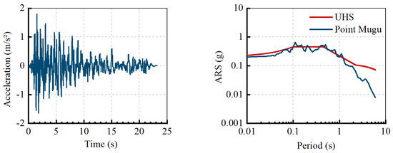
2.4. Boundary Conditions and Input Ground Motion
3. General Characteristics of Seismic Response
3.1. Liquefaction Characteristics of Soils
3.2. Seismic Response of the Structure
4. Effect of Burial Depth of Utility Tunnels
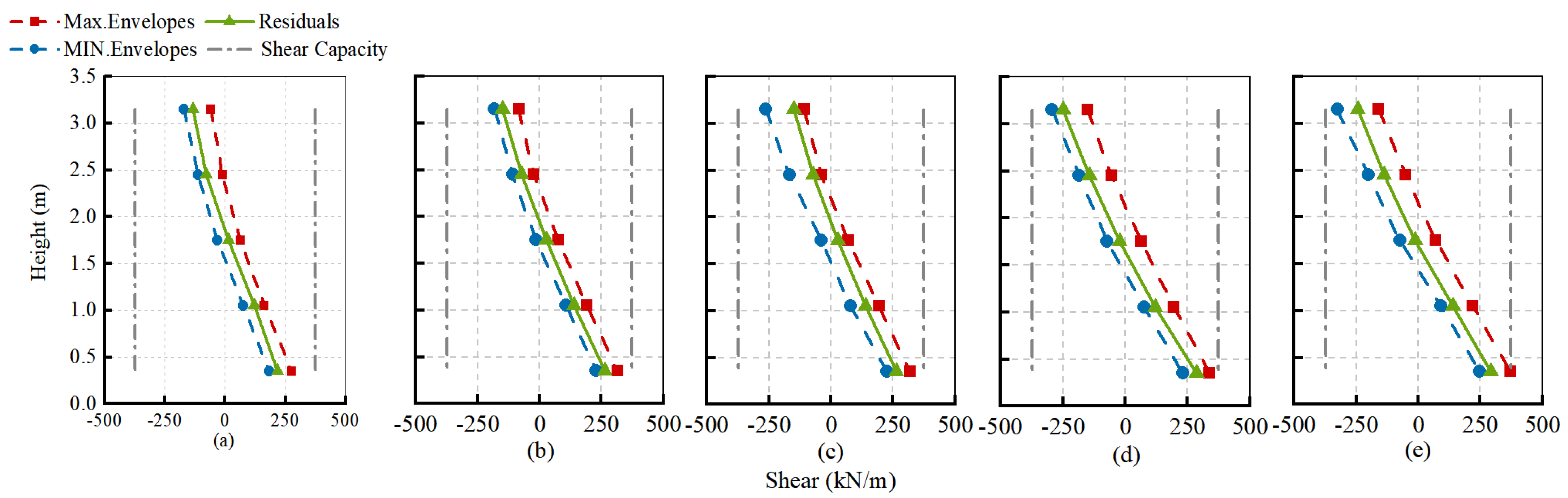
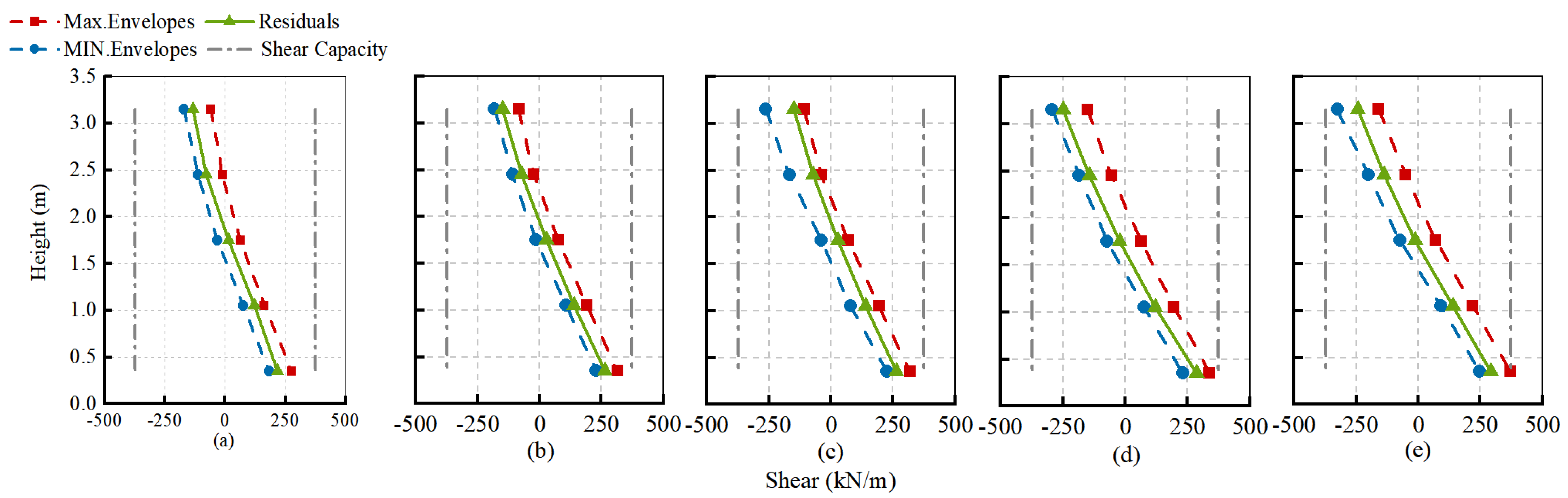
4.1. Effects of Burial Depth on the Structural Seismic Response
4.2. Structure–Soil Interactions
5. Conclusions
- The internal forces of the side walls in the liquefied soil are greater than the internal partition walls under the earthquake; the bottom of the side wall has a large value of bending moment and shear force. The growth of excess pore water pressure in the soil beneath the structure generates vertical unbalance forces; the soil on both sides of the structure moves towards the underside of it; the utility tunnel uplifts under the action of the surrounding liquefied soil and thus fails;
- The burial depth of the underground utility tunnel has a great influence on its seismic response. The drift ratio, bending moment, and shear force of the structure under the condition of 4 m burial depth are the largest, and the shear force at the bottom of the left side wall is close to the shear capacity. The internal forces of the structure increase with the burial depth, and the normal forces acting on the side walls and their increments increase with the burial depth, among which the normal forces at the bottom of the side walls increase significantly. The increase in burial depth also significantly reduces the uplift of the utility tunnel; the overburden pressure and excess pore water pressure increase with burial depth, the pore pressure ratio decreases under the combined effect of the two, and the liquefaction of the soil below the structure decreases;
- Appropriately increasing the burial depth of the shallow-buried utility tunnel at the liquefiable site will improve its seismic stability.
- The characteristics of ground motion such as intensity, frequency, and duration can impact the seismic response of underground structures. Use the “Dynamic optimization with single dynamic loads” method to reduce the impact of “record-to-record variation” problems in seismic engineering on the results.
- The addition of haunch to the utility tunnel will improve the seismic performance of the members’ joints. In the numerical simulation, the structure with haunches should be modeled according to the practical situation.
- This paper investigates the seismic response of shallow-buried utility tunnels with burial depths of 2 m–4 m, and should further investigate the dynamic characteristics of deep-buried utility tunnels [32].
Author Contributions
Funding
Institutional Review Board Statement
Informed Consent Statement
Data Availability Statement
Conflicts of Interest
References
- Broere, W. Urban Underground Space: Solving the Problems of Today’s Cities. Tunn. Undergr. Space Technol. 2016, 55, 245–248. [Google Scholar] [CrossRef]
- Tokimatsu, K.; Asaka, Y. Effect of Liquefaction-Induced Ground Displacement on Pile Performance in The 1995 Hyogoken-Nambu Earthquake. Soils Found. 1998, 38, 163–177. [Google Scholar] [CrossRef]
- Yasuda, S.; Kiku, H. Uplift of Sewage Manholes and Pipes During the 2004 Niigataken-Chuetsu Earthquake. Soils Found. 2006, 46, 885–894. [Google Scholar] [CrossRef]
- Kang, G.; Tobita, T.; Lai, S.; Ge, L. Centrifuge Modeling and Mitigation of Manhole Uplift due to Liquefaction. J. Geotech. Geoenviron. Eng. 2013, 139, 458–469. [Google Scholar] [CrossRef]
- Schmidt, B.; Štimac, T.; Hashash, Y.M.A. Immersed Tube Retrofit. Tunn. Tunn. Int. 1998, 30, 22–24. [Google Scholar]
- Liu, H.; Song, E. Seismic Response of Large Underground Structures in Liquefiable Soils Subjected to Horizontal and Vertical Earthquake Excitations. Comput. Geotech. 2005, 32, 223–244. [Google Scholar] [CrossRef]
- Mahmoud, A.O.; Hussien, M.N.; Karray, M.; Chekired, M.; Bessette, C.; Jinga, L. Mitigation of Liquefaction-Induced Uplift of Underground Structures. Comput. Geotech. 2020, 125, 103663. [Google Scholar] [CrossRef]
- Chen, G.; Wang, Z.; Zuo, X.; Du, X.; Gao, H. Shaking Table Test on The Seismic Failure Characteristics of a Subway Station Structure on Liquefiable Ground. Earthq. Eng. Struct. Dyn. 2013, 42, 1489–1507. [Google Scholar] [CrossRef]
- Chian, S.C.; Tokimatsu, K.; Madabhushi, S.P.G. Soil Liquefaction–Induced Uplift of Underground Structures: Physical and Numerical Modeling. J. Geotech. Geoenviron. Eng. 2014, 140, 04014057. [Google Scholar] [CrossRef]
- Chen, G.; Chen, S.; Qi, C.; Du, X.; Wang, Z.; Chen, W. Shaking Table Tests on a Three-Arch Type Subway Station Structure in a Liquefiable Soil. Bull. Earthq. Eng. 2015, 13, 1675–1701. [Google Scholar] [CrossRef]
- Grigorios, T.; Emmanouil, R.; Kyriazis, P.; Jean Louis, C. Seismic Response of Box-Type Tunnels in Soft Soil: Experimental and Numerical Investigation. Tunn. Undergr. Space Technol. 2016, 59, 199–214. [Google Scholar] [CrossRef]
- Kheradi, H.; Nagano, K.; Nishi, H.; Zhang, F. 1-g Shaking Table Tests on Seismic Enhancement of Existing Box Culvert with Partial Ground-improvement Method and its 2D Dynamic Simulation. Soils Found. 2018, 58, 563–581. [Google Scholar] [CrossRef]
- Zhuang, H.; Hu, Z.; Wang, X.; Chen, G. Seismic Responses of a Large Underground Structure in Liquefied Soils by FEM Numerical Modelling. Bull. Earthq. Eng. 2015, 13, 3645–3668. [Google Scholar] [CrossRef]
- Deng, S.; Peng, W.; Lin, J. Numerical Analysis of Floatation Response of Buried Pipeline in Liquefied Soil. Appl. Mech. Mater. 2014, 580, 791–796. [Google Scholar] [CrossRef]
- Ahmed, E.; Yang, Z.; Ender, P. Computational Modeling of Cyclic Mobility and Post-Liquefaction Site Response. Soil Dyn. Earthq. Eng. 2002, 22, 259–271. [Google Scholar] [CrossRef]
- Chen, R.; Taiebat, M.; Wang, R.; Zhang, J.-M. Effects of Layered Liquefiable Deposits on The Seismic Response of an Underground Structure. Soil Dyn. Earthq. Eng. 2018, 113, 124–135. [Google Scholar] [CrossRef]
- Junichi, K.; Osamu, M.; Yasuyuki Ko, G.A. Uplift Behavior of Underground Structures Caused by Liquefaction of Surrounding Soil During Earthquake. Soils Found. 1997, 37, 97–108. [Google Scholar] [CrossRef]
- Azadi, M.; Mir Mohammad Hosseini, S.M. Analyses of the Effect of Seismic Behavior of Shallow Tunnels in Liquefiable Grounds. Tunn. Undergr. Space Technol. 2010, 25, 543–552. [Google Scholar] [CrossRef]
- Saeedzadeh, R.; Hataf, N. Uplift Response of Buried Pipelines in Saturated Sand Deposit under Earthquake Loading. Soil Dyn. Earthq. Eng. 2011, 31, 1378–1384. [Google Scholar] [CrossRef]
- Zheng, G.; Yang, P.; Zhou, H.; Zeng, C.; Yang, X.; He, X.; Yu, X. Evaluation of the Earthquake Induced Uplift Displacement of Tunnels Using Multivariate Adaptive Regression Splines. Comput. Geotech. 2019, 113, 103099. [Google Scholar] [CrossRef]
- Azadiab, M. The Seismic Behavior of Urban Tunnels in Soft Saturated Soils. Procedia Eng. 2011, 14, 3069–3075. [Google Scholar] [CrossRef]
- Azadi, M.; Mir Mohammad Hosseini, S.M. The Uplifting Behavior of Shallow Tunnels within the Liquefiable Soils under Cyclic Loadings. Tunn. Undergr. Space Technol. 2010, 25, 158–167. [Google Scholar] [CrossRef]
- Wang, R.; Fu, P.; Zhang, J.-M. Finite Element Model for Piles in Liquefiable Ground. Comput. Geotech. 2016, 72, 1–14. [Google Scholar] [CrossRef]
- Itasca, F.D. V6. 0, Fast Lagrangian Analysis of Continua in 3 Dimensions, User’s Guide; Itasca Consulting Group: Minneapolis, MN, USA, 2011; pp. 308–318. [Google Scholar]
- Chen, Y.; Xu, D. Foundation and Engineering Examples of FLAC/FLAC3D, 2nd ed.; Water and Power Press: Beijing, China, 2022. [Google Scholar]
- Seed, H.B.; Idriss, I.M. Soil Moduli and Damping Factors for Dynamics Response Analyses. EERC 1970. [Google Scholar] [CrossRef]
- Forcellini, D.; Tarantino, A.M. Countermeasures Assessment of Liquefaction-Induced Lateral Deformation in a Slope Ground System. J. Eng. 2013, 2013, 183068. [Google Scholar] [CrossRef]
- Cundall, P.A. NESSI-Soil Structure Interaction Program for Dynamic and Static Problems; Norwegian Geotechnical Institute: Oslo, Norway, 1980. [Google Scholar]
- Ministry of Housing and Urban-Rural Development of the People’s Republic of China. PRC National Standard GB 50011-2010; Code for Seismic Design of Buildings; China Architecture & Building Press: Beijing, China, 2010. [Google Scholar]
- Ministry of Housing and Urban-Rural Development of the People’s Republic of China. PRC National Standard. Standard for Seismic Design of Underground Structures; China Construction Industry Press: Beijing, China, 2018. [Google Scholar]
- Huang, M.; Bian, X.; Chen, Y.; Wang, R.; Gu, X.; Zhou, Y. Geodynamics and Geotechnical Earthquake Engineering. J. Civ. Eng. 2020, 53, 64–86. [Google Scholar] [CrossRef]
- Abdollahi, A.; Amini, A.; Hariri-Ardebili, M.A. An Uncertainty-Aware Dynamic Shape Optimization Framework: Gravity Dam Design. Reliab. Eng. Syst. Saf. 2022, 222, 108402. [Google Scholar] [CrossRef]

















| Static Soil Parameters | Dynamic Soil Parameters | Structure and Interface Parameters | |||||
|---|---|---|---|---|---|---|---|
| sand | clay | backfill | sand | ||||
| Relative Density (%) | 45 | - | - | c1 | 0.80 | Elastic modulus (GPa) | 32.5 |
| Shear modulus (MPa) | 10.0 | 55.6 | 11.3 | c2 | 0.79 | Poisson’s ratio | 0.2 |
| Bulk modulus (MPa) | 30.0 | 116.7 | 29.4 | c3 | 0.45 | Density (kg/m3) | 2500 |
| Dry density (kg/m3) | 1500 | 1650 | 1600 | c4 | 0.73 | ks (GPa/m) | 1 |
| Cohesion (kPa) | 0 | 25 | 0 | a | 0.9762 | kn (GPa/m) | 1 |
| Friction angle (°) | 35 | 18 | 37 | b | −0.4393 | δ° | 22 |
| Permeability (m/s) | 1 × 10−4 | 1 × 10−5 | 1 × 10−5 | x0 | −1.2850 | SS | 0 |
| Porosity | 0.50 | 0.48 | 0.43 | y0 | 0.03154 | TS | 0 |
| Water modulus (MPa) | 200 | 200 | 200 | ||||
| Damping ratio | 0.05 | 0.05 | |||||
| Location | Moment (kN·m2/m) | Shear Force (kN/m) | |
|---|---|---|---|
| Left side wall | LW-1 | 64.6 | 170.9 |
| LW-2 | 73.2 | 112.5 | |
| LW-3 | 64.5 | 63.4 | |
| LW-4 | 51.1 | 162.6 | |
| LW-5 | 97.2 | 275.9 | |
| Left internal partition wall | LP-1 | 7.7 | 8.3 |
| LP-2 | 5.4 | 9.6 | |
| LP-3 | 3.7 | 9.5 | |
| LP-4 | 5.6 | 8.3 | |
| LP-5 | 10.6 | 9 |
| Burial Depth (m) | 2 | 2.5 | 3 | 3.5 | 4 |
| Drift Ratio (%) | 0.0111 | 0.0127 | 0.0139 | 0.0165 | 0.0172 |
Publisher’s Note: MDPI stays neutral with regard to jurisdictional claims in published maps and institutional affiliations. |
© 2022 by the authors. Licensee MDPI, Basel, Switzerland. This article is an open access article distributed under the terms and conditions of the Creative Commons Attribution (CC BY) license (https://creativecommons.org/licenses/by/4.0/).
Share and Cite
Tian, T.; Yao, A.; Li, Y.; Gong, Y. Seismic Response of Utility Tunnels with Different Burial Depths at the Non-Homogeneous Liquefiable Site. Appl. Sci. 2022, 12, 11767. https://doi.org/10.3390/app122211767
Tian T, Yao A, Li Y, Gong Y. Seismic Response of Utility Tunnels with Different Burial Depths at the Non-Homogeneous Liquefiable Site. Applied Sciences. 2022; 12(22):11767. https://doi.org/10.3390/app122211767
Chicago/Turabian StyleTian, Tian, Aijun Yao, Yanlin Li, and Yifei Gong. 2022. "Seismic Response of Utility Tunnels with Different Burial Depths at the Non-Homogeneous Liquefiable Site" Applied Sciences 12, no. 22: 11767. https://doi.org/10.3390/app122211767
APA StyleTian, T., Yao, A., Li, Y., & Gong, Y. (2022). Seismic Response of Utility Tunnels with Different Burial Depths at the Non-Homogeneous Liquefiable Site. Applied Sciences, 12(22), 11767. https://doi.org/10.3390/app122211767

