Featured Application
Design of the surface layer (include film/coating or hardened/stressed top layer).
Abstract
This study aimed to acquire a comprehensive explanation on how the residual stress in the surface layer affects the contact behavior of solids. Plastic yield inception of residual stressed surface layer/substrate system during contact is simulated using the finite element method with the software ANSYS Workbench. The critical loads and locations for yield inception were acquired for contact systems with different residual stress levels and different surface layer thicknesses. Results show that the residual stress in the surface layer has little influence on the stress field in the substrate during contact. The influence of the residual stress on the critical yield load is mainly due to variations in the stress field in surface layer. A moderate compressive residual stress is preferable for increasing the critical yield load. An optimal value of compressive residual stress of 60% of the yield strength of surface layer was found to increase the critical yield load. The surface layer thickness and residual stress determine the yield inception location and the critical load of the contact system jointly.
1. Introduction
Residual stress is the stress that remains in a solid material after the original cause has been removed. Residual stress often exists in the surface layer of solids [,,,,]. The surface layer can be a deposited film/coating or can be a hardened or stressed top layer. Several processes can lead to the generation of residual stress in the surface layer, for example, after surface heat treatment processes such as quenching, or after machining processes such as turning or grinding, or after the deposition of coatings or films on a substrate surface. Residual stress may originate in the surface layer through various mechanisms, including thermal mismatch, structural (phase) change, and inelastic (plastic) deformation [].
When two solids come into contact, stress and deformation are produced. The characterization of the contact behavior of solids is not only highly crucial for analyzing tribological problems such as friction, wear, and lubrication [,,], but also for other technological problems such as thermal and electrical contact resistance [,,]. When solids with residual stress are in contact, the residual stress in the surface layer is superimposed on the stress generated by the contact, changing the critical load of yield inception and strengthening or weakening the surface layer/substrate system.
The effect of residual stress on the contact behavior of surface layers has been previously investigated. Dong [] studied rolling/sliding contact fatigue behaviors of induction remelted Ni-based coating and the results showed that residual stress in the coating played an important role in interfacial delamination. Zhang [] treated 17Cr2Ni2MoVNb steel using shot peening and found that the treated samples with compressive residual stress had better wear resistance. Holmberg [] studied the tribological fracture behavior of TiN, DLC, and MoS2-coated surfaces, and concluded that higher compressive residual stresses corresponded with increased fracture toughness. Vierneusel [] isolated the effect of residual stresses on coating wear from microstructure, and results showed that larger compressive residual stress reduced wear. Huang [] studied the effect of residual stress on the bonding strength of a SiN thin film using nanoscratch tests. The results showed that the decrease in the residual compressive stress and increase in the tensile stress accelerated the interfacial failure in the nanoscratch tests. Jang [] studied the effects of residual stress on the wear properties of DLC coatings, and found that higher compressive residual stress showed more serious wear in nanowear tests. Tlili [] studied effect of residual stress on the wear behavior of several PVD thin coatings and found that the coating containing moderate compressive residual stress had a better wear behavior compared to the coating with higher compressive residual stress. Ahmed [] studied roles of residual stress on the damage resistance of nanocomposite TiSiN coatings on steels and found that coatings with intermediate compressive residual stress reached a combination of high damage resistance and good adhesion strength. Xi [] studied the effect of residual stress on the tribological properties of TiN coatings on 304 stainless steel and concluded that intermediate residual stress was crucial for achieving better performance.
Although existing experimental studies indicated that the residual stress in the surface layer had a significant influence on the mechanical properties and contact behavior of the surface layer, owing to the difficulty in acquiring the required residual stress value in experiments, it is difficult to explore the effect of residual stress in full range from compression to tension, and the mechanism is difficult to study in depth. However, numerical methods have been widely used in this regard. Bai [] studied the effect of internal stress on the micro/nano mechanical properties of a thin CNx film during a nanoindentation test using the finite element method (FEM). The results showed that the film with compressive stress has a larger hardness and modulus than that with tensile stress. Bolshakov [] studied the effect of residual stress on the behavior of aluminum alloy 8009 during elastic-plastic indentation using FEM. An equi-biaxial residual stress was applied by applying stress around the circumference of the specimen. The results showed that the pileup around the indentation was promoted by compressive stress and diminished by tensile stress, which influenced the measurement of the contact areas and the derivation of hardness. Xu [] evaluated the influence of equi-biaxial residual stress on the unloading behavior of nanoindentation on elastic–plastic strain-hardening materials using FEM. An equi-biaxial residual stress was applied by prescribing a radial displacement along the outer surface of the specimen prior to indentation. The results showed that both the true contact area and elastic recovery increased with the increase in the compressive stress and decreased with the increase in the tensile stress. Schall [] studied the effect of pre-existing stress on the interpretation of the nanoindentation data of gold using molecular dynamics simulations. It was found that compressive pre-stress resulted in a higher mean pressure, whereas tensile pre-stress resulted in a lower mean pressure. Sun [] studied the effect of residual stress on plastic yield inception in single-crystal copper thin films under nanoindentation using molecular dynamics simulations. It was found that the indentation hardness decreased with the tensile residual stress but increased with moderate compressive residual stress; it decreased again under higher compressive residual stress. Although these simulation results provided important insights for understanding the effect of residual stress on the contact behavior, they did not consider the interaction between the surface layer and substrate.
Mechanisms on the effect of residual stress in surface layer on contact have been proposed. The most commonly mentioned mechanism was that the compressive residual stress inhibits crack initiation, growth, and propagation [,,]. An atomic-level mechanism was proposed that would allow residual stress to change the average distance between atoms in the lattice from their equilibrium position, therefore changing the response of the material [,]. For a surface layer/substrate system, the critical load of the yield inception is important because it determines the load-bearing capacity of the system. A mechanism in terms of critical yield load has not been discussed. Studies on the plastic yield inception of coating/substrate systems have been reported [,]; however, the influence of residual stress was not considered. A study on the effect of residual stress in surface layer on plastic yield inception has not been seen. The location of the yield inception is also important because it is usually related to the failure modes [,]. The effect of residual stress in surface layer on the location of the yield inception has not been investigated.
In this study, FEM was used to study the effect of residual stress in the surface layer on the contact behavior of layered solids. The critical load and locations of the yield inception with different residual stress levels and different surface layer thicknesses were studied. An optimal value of residual stress to increase the critical yield load was found. The influence mechanism of the residual stress on the contact behavior was discussed by analyzing the stress field in the surface layer/substrate system.
2. Methods
A contact model between a rigid hemisphere and a plane consisting of a surface layer and substrate was developed, as shown in Figure 1. An evenly distributed load P was applied to the top of the hemisphere to create an interaction between the two contact bodies. The following main assumptions are adopted:
      
    
    Figure 1.
      Contact between rigid hemisphere and plane consisting of surface layer and substrate.
  
- Both the material of substrate and the surface layer are homogeneous.
 - The surface layer and the substrate are perfectly bonded.
 - Residual stress in the surface layer is homogeneous along the thickness. This assumption is often adopted in the study of residual stress of films/coatings [,,], especially for the films/coatings with small thickness.
 
The contact was simulated using the finite element software ANSYS Workbench 16.0 (ANSYS Inc., Canonsburg, PA, USA). Considering the symmetry of the model, an axisymmetric 2D model was established. The boundary conditions are shown in Figure 2. Roller boundary conditions were applied on the axis of symmetry, bottom surface, and outer surface. For a practical surface layer and substrate system, the in-plane size is much larger than the surface layer thickness. The roller boundary condition on the outer surface is used to simulate the acting force of material out of the outer surface. It has been verified that free of the outer surface only led to stress concentration near the outer edge and had no significant effect on the stress field of the contact zone (see Appendix A). The friction coefficient between the contact pairs is set to be 0.15. The rigid hemisphere is modeled by setting the Young’s modulus to be significantly larger (1000 times) than that of the surface layer and substrate.
      
    
    Figure 2.
      Finite element model.
  
The geometric parameters of the finite element model are listed in Table 1. The radius of the rigid hemisphere is in the range of 0.1  10 mm. To cover a relatively wide thickness range, the thickness of the surface layer relative to the radius of the rigid halfsphere () is basically a geometric sequence, as presented in Table 1. When  0.1 mm and  0.0005, the thickness of the surface layer is the smallest (50 nm), and when  10 mm and  1.28 mm, the thickness of the surface layer is the largest (1.28 mm). This range covers the thickness of the surface layer, which is commonly used in engineering applications. The dimensions of the substrate in relative to the radius of the rigid halfsphere () are presented in Figure 2. It has been verified that a further increase of the dimension of the substrate had no effect on the results.
       
    
    Table 1.
    Geometry parameter of the finite element model.
  
To obtain reasonable meshing, the computational domain was divided into layered subdomains along the depth, as shown in Figure 3, and distinguished by different colors. This method has two advantages. Firstly, the mesh density of each layer (subdomain) can be set independently, whereas the nodes on the boundary are shared. Compared with the more distant subdomain, a smaller layer thickness and finer mesh can be adopted close to the contact zone. Secondly, the material parameters of each layer (subdomain) can be set independently by changing the number of layers (subdomains) which possess the material parameters of surface layer, and the thickness of the surface layer can be changed without re-meshing the computational domain. The model contains approximately 120,000 eight-node axisymmetric quadratic quadrilateral elements and 1500 six-node axisymmetric quadratic triangular elements, totaling approximately 400,000 nodes.
      
    
    Figure 3.
      Mesh of the computational domain.
  
The simulation is performed in two steps. The first step is to introduce residual stress in the surface layer by setting a thermal mismatch. Thermal stress is a key source of residual stress in the surface layer. Thermal stress in the surface layer can be calculated using the following expression []:
      
        
      
      
      
      
    
      where  and  are the Young’s modulus and Poisson’s ratio of the surface layer, respectively, and  and  are the coefficients of thermal expansion (CTE) of the surface layer and the substrate, respectively. In the simulations,  was set to be zero, and  was set to a nonzero value. By changing the temperature difference , the magnitude and state of the residual stress (tensile stress or compressive stress) in the surface layer can be controlled. Thus, equi-biaxial residual stress is induced in the surface layer, which is a typical residual stress state for films/coatings []. It should be clarified that the settings of , , and the temperature change are only used to induce residual stress in the surface layer and do not change the material properties or influence subsequent contact calculation. In the second step, a uniformly distributed load was applied, and the contact was simulated.
The material parameters used in the finite element simulation are listed in Table 2. The critical load and locations for the yield inception with different residual stress levels, surface layer thicknesses, and material parameters were calculated. To facilitate the analysis of the results, the parameters and calculation results were nondimensionalized. The thickness  of the surface layer was nondimensionalized using the radius  of the hemisphere to obtain the dimensionless surface layer thickness . The residual stress  was nondimensionalized using the yield stresses of the surface layer  to obtain the dimensionless residual stress . The critical yield load of the contact systems with the surface layer was nondimensionalized, using the calculated results without the surface layer (pure substrate material) as the base value, to obtain the dimensionless critical load .
       
    
    Table 2.
    Material parameters used in the finite element simulation.
  
3. Results
3.1. Effect of Residual Stress on the Critical Yield Load and Contact Area
Figure 4 shows the residual stress field in the surface layer induced by setting the thermal mismatch. A uniform residual stress in the surface layer, which is equi-biaxial in the plane parallel to the contact surface, is obtained.
      
    
    Figure 4.
      Residual stress field induced in surface layer by thermal mismatch.
  
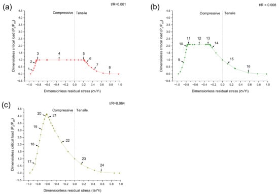
The dimensionless critical yield load of the surface layer/substrate system for  200 GPa and  600 MPa pressed by a rigid hemisphere for dimensionless residual stresses change from −1 to 1 and dimensionless thicknesses of 0.001, 0.008, and 0.064 are presented in Figure 5. The locations of the yield inception of the points labeled 1–24 in Figure 5 were checked and will be discussed later. 
      
    
    Figure 5.
      Dimensionless critical load versus dimensionless residual stress and dimensionless thickness of 0.001 (a), 0.008 (b), and 0.064 (c) for surface layer/substrate system pressed by a rigid hemisphere ( 200 GPa,  600 MPa).
  
For 0.001, as shown in Figure 5a, as the dimensionless residual stress changed from −1 to 1, the dimensionless critical yield load first increased then plateaued, and then decreased. The maximum dimensionless critical yield load (the plateau value) equals 1, which is equal to the contact system of zero residual stress (without residual stress). For excessive residual stress, whether compressive or tensile, the critical yield loads are less than the contact system of zero residual stress—that is, the contact system is weakened. The curve is asymmetric to the zero residual stress; the range is larger for the systems possessing compressive residual stress to obtain the maximum critical yield load than those possessing tensile residual stress.
For  0.008, Figure 5b, a very similar ternary form rule is presented; as the dimensionless residual stress changed from −1 to 1, the dimensionless critical yield load increases first, then levels to a plateau value, and then decreases. The maximum dimensionless critical yield load (plateau value of 2.09) increases when moderate compressive residual stress is applied, which means that moderate compressive stress can promote the plasticity onset threshold to enhance the load-carrying capability. Tensile residual or excessive compressive stress leads to a decrease in the critical yield load, and the layer/substrate system is weakened.
For  0.064, Figure 5c, as the dimensionless residual stress changes from −1 to 1, the dimensionless critical yield load first increases, reaches a peak value, and then decreases. The maximum dimensionless critical yield load is 4.1. Moderate compressive residual stress strengthens the system, whereas tensile or excessive compressive residual stress weakens it.
Figure 6 shows the variation in the critical yield load with both the residual stress and surface layer thickness for  200 GPa and  600 MPa. For all the surface layer thicknesses, as the dimensionless residual stress varies from −1 to 1, the critical yield load increases first to a peak value or is leveled to a plateau value, and subsequently decreases. The curves are asymmetric to the zero residual stress. Generally, a moderate compressive residual stress in the surface layer results in higher critical yield loads than that without residual stress or with tensile residual stress.
      
    
    Figure 6.
      Dimensionless critical load versus dimensionless residual stress and dimensionless thickness for surface layer/substrate system pressed by a rigid hemisphere ( 200 GPa,  600 MPa).
  
The dimensionless critical yield load of the system with dimensionless thicknesses of  0.0005 and 0.002 is similar to that of  0.001, as shown in Figure 6. When the thickness of the surface layer is small ( 0.0005, 0.001, and 0.002), the maximum yield load (the plateau value) is equal to that of the zero residual stress; in other words, from the viewpoint of an increasing critical yield load, the contact system cannot be strengthened by applying residual stress in the surface layer.
The dimensionless critical yield load of the system with dimensionless thicknesses of  0.006, 0.01, and 0.012 is similar to that of  0.008, as shown in Figure 6. The maximum dimensionless critical yield load (the plateau value) is larger than that of the zero residual stress, and the contact system can be strengthened by applying compressive residual stress in the surface layer. Generally, the maximum critical yield load increases with the surface layer thickness. The plateau corresponding to the maximum critical yield load becomes narrower as the surface layer thickness increases.
The dimensionless critical yield load of the system with dimensionless thicknesses  0.016, 0.032, and 0.128 is similar to that of  0.064, as shown in Figure 6. The same peak value of the critical yield load is much larger (4.1 times) than that of the zero-residual-stress case, which appears at an approximately dimensionless residual stress . This value can be used as the design criterion for the residual stress during the fabrication of the surface layer. 
In the above-mentioned simulations, the elastic moduli of the surface layer and substrate are the same. Sometimes, the elastic modulus is less sensitive to surface treatment, but residual stress originates after surface treatment [,]. However, in most practical cases, the material parameters of the surface layer and substrate are not identical. Simulations are also performed for contact systems with different surface layers and substrate material parameters.
The dimensionless critical yield load of the surface layer/substrate system for  200 GPa,  400 GPa,  600 MPa, and  952 MPa pressed by a rigid hemisphere for dimensionless residual stresses change from −1 to 1, and the dimensionless thicknesses of 0.0005–0.128 is presented in Figure 7a. The effect of the residual stress on the dimensionless critical load is basically the same as that in the cases of  200 GPa and  600 MPa. The dimensionless critical yield load (the plateau) is less than 1 for a small surface layer thickness ( 0.0005 − 0.004). This is because of the “weakening effect” caused by the elastic mismatch between the surface layer and substrate [,,]. The maximum dimensionless critical yield load for all surface layer thicknesses is 3.9 obtained at a dimensionless critical residual stress of −0.6.
      
    
    Figure 7.
      Dimensionless critical load versus dimensionless residual stress and dimensionless thickness for surface layer/substrate system pressed by a rigid hemisphere. (a)  200 GPa,  400 GPa,  600 MPa,  952 MPa. (b)  200 GPa,  400 GPa,  600 MPa,  1200 MPa. (c)  100 GPa,  300 GPa,  200 MPa, and  600 MPa.
  
The results for  200 GPa,  400 GPa,  600 MPa, and  1200 MPa are presented in Figure 7b. This figure is almost the same as that for  200 GPa,  400 GPa,  600 MPa, and  952 MPa, except that the maximum dimensionless critical yield load is 7.6, due to the increase of yield strength of surface layer, also obtained at a dimensionless critical residual stress of approximately −0.6. 
The results for  100 GPa,  300 GPa,  200 MPa, and  600 MPa are presented in Figure 7c. The curves have a similar shape to the above cases, and the maximum dimensionless critical yield load is also obtained at a dimensionless critical residual stress of approximately −0.6.
Cases of the wide range of material parameter (100 GPa 200 GPa, 400 GPa  1000 GPa, 400 MPa 600 MPa, 400 MPa2000 MPa) are calculated, and the value of −0.6 still holds.
3.2. Effect of Residual Stress on the Locations of Yield Inception
The locations of yield inception are quite important in avoiding the failure of the contact system because these failures are usually triggered by crack initiation and propagation and are significantly influenced by the location of the plasticity initiation [,]. Thus, the evolution rule of the location of the yield inception and its association with the corresponding critical yield load is significant. Table 3 presents the contour plots of the von Mises stress during the yield inception for the point marked in Figure 5. In Table 3, because we mainly focused on the location of the yield inception, the specific value of von Mises equivalent stress was not given. Red represents a greater von Mises stress, whereas blue represents smaller von Mises stress in the contour plots. Typical locations of the yield inception and variation rule are summarized in Figure 8, as the points labeled a–i are shown. The evolution rule in the locations of the yield inception as the residual stress varied from compressive to tensile for different surface layer thicknesses is also summarized in Figure 8.
       
    
    Table 3.
    Contour plots of von Mises stress at yield inception of cases with different residual stresses and different surface layer thicknesses ( 200 GPa,  600 MPa, number 1–24 are the labels of the points in Figure 5, and letters a–i denote the locations of the yield inception summarized in Figure 8).
  
      
    
    Figure 8.
      Schematic description of the typical locations (labeled a–g) of yield inception and evolution rule as the residual stress varied from compressive to tensile for different surface layer thicknesses. (a)  0.001. (b)  0.008. (c)  0.0064.
  
The contour plots of the von Mises stress during the yield inception of the points labeled 1–8 in Figure 5a for  0.001 are presented in Table 3a. The evolution rule of plastic inception location on change of the residual stress is summarized in Figure 8a. When the points are on the left part of Figure 5a, where the residual stress is highly compressive and the dimensionless critical yield load increases with the increase in the dimensionless residual stress, the yield inception occurs at location a in Figure 8a, which is a circular region in the surface layer near the surface. When the points are on the central part (plateau) of Figure 5a, where the residual stress is moderately compressive or slightly tensile and the dimensionless critical yield load remains unchanged with the dimensionless residual stress, the yield inception occurs at location b in Figure 8a, at the axis of symmetry in the substrate. When the points are on the right side of Figure 5a, where the residual stress is tensile and the dimensionless critical yield load decreases with the increase in the dimensionless residual stress, the yield inception occurs at location c in Figure 8a, at the axis of the symmetry and surface layer side of the surface layer/substrate interface. As the tensile residual stress continues to increase, the yield inception transfers to location d in Figure 8a, at the axis of symmetry in the surface layer. Generally, the location is transferred from a to b to c to d (Figure 8a) when the dimensionless residual stress changes from −1 to 1. For a relatively thin surface layer ( 0.0005, 0.001, and 0.002), the rule for the residual stress at the locations of the yield inception is similar.
The contour plots of the von Mises stress during the yield inception of the points labeled 9–16 in Figure 5b for  0.008 are presented in Table 3b. The evolution rule of plastic inception location on change of the residual stress is summarized in Figure 8b. When the points are on the left part of Figure 5b, where the dimensionless critical yield load increases with the increase in the dimensionless residual stress, the yield inception occurs at location e in Figure 8b, which is a circular region near the surface center about the axis of symmetry. When the points are on the central part (plateau) of Figure 5b, the onset yield occurs at location f in Figure 8b, at the axis of symmetry, and the substrate side of the surface layer/substrate interface. When the points are on the right side of Figure 5b, where the dimensionless critical yield load decreases with the increase in the dimensionless residual stress, the onset yield occurs at location g in Figure 8b, at the axis of symmetry in the surface layer. Generally, the location is transferred from e to f to g (Figure 8b) when the dimensionless residual stress changes from −1 to 1. For a medium-thick surface layer ( 0.006, 0.008, 0.01, and 0.012), the rule for the residual stress at the locations of the yield inception is similar.
The contour plots of the von Mises stress during the plastic inception of the points labeled 17–24 in Figure 5c for  0.064 are presented in Table 3c. The evolution rule of plastic inception location on change of the residual stress is summarized in Figure 8c. When the points are on the left part of Figure 5c, where the dimensionless critical yield load increases with the increase in the dimensionless residual stress, the onset yield occurs at location h in Figure 8c, which is a circular region near the surface centers on the axis of symmetry. When the points are on the right side of Figure 5c, where the dimensionless critical yield load decreases with the increase in the dimensionless residual stress, the yield inception occurred at location i in Figure 8c, at the axis of symmetry in the surface layer. Generally, the location is transferred from h to i when the dimensionless residual stress changes from −1 to 1. For a relatively thick surface layer,  0.016 − 0.128, the rule for the residual stress at the locations of yield inception is similar.
By associating the location of the yield inception with the critical yield load, it can be observed that when the data points are on the plateau, where the critical yield load remains unchanged with the residual stress, the yield inception occurred in the substrate. When the data points are on the other parts of the curves where the critical yield load changes with the residual stress, yield inception occurs in the surface layer. According to these results, the locations of the yield inception can be controlled by regulating the residual stress and surface coating thickness. 
The yield locations for the cases of other material parameters were also checked, and a similar evolution rule of the yield location on the change in the residual stress and surface layer thickness was confirmed.
4. Discussion
4.1. Discussion on Effect of Residual Stress on the Critical Yield Load
It was observed in the simulation that intermediate compressive residual stress can strengthen the contact system, whereas tensile stress weakens the contact system. To explain this, the stress components were analyzed. Figure 9 shows examples of contact stress field for cases without residual stress, and with tensile, compressive, and excessive compressive residual stress in the surface layer. The parameters adopted in these examples are as follows:  200 GPa,  400 GPa,  600 MPa,  952 MPa,  0.006, and  0.05 N. The induced tensile residual stress in the surface layer is 274 MPa, the compressive residual stress is −274 MPa, and the excessive compressive residual stress is −754 MPa.
      
    
    Figure 9.
      Contact stress field in surface layer without residual stress, with tensile, compressive, and excessive compressive residual stress. The parameters are  200 GPa,  400 GPa,  600 MPa,  952 MPa,  0.006, and  0.05 N.
  
As can be observed in Figure 9, the existence and variation of the residual stress in the surface layer only has a slight influence on the von Mises equivalent stress in the substrate but significantly changes the von Mises equivalent stress field in the surface layer. Thus, it may affect the critical load and locations of the plastic yield inception and the performance of the contact surface. The von Mises equivalent stress  can be expressed as []:
      
        
      
      
      
      
    
        where  is the radial stress,  is the circumferential stress,  is the stress parallel to the axis of symmetry, and, , , and  are the shear stresses. Due to the rotational symmetry,  and  are equal to zero. It can be observed in Figure 9 that the compressive residual stress causes  and  to be more compressive (the value is more negative) and the tensile residual stress causes  and  to be more tensile (the value is more positive). The influence of the residual stress on  and  is small. From Equation (2) and the above discussion, it can be inferred that the von Mises equivalent stress  depends on the difference between, , , and . The stress contour plots in Figure 9 give a full view of the stress field, however, the value of the stresses are difficult to compare. Since the yield begins either at the axis of symmetry or near the surface according to the results of locations of yield inception, stresses at the axis of symmetry and the surface are extracted and presented in Figure 10 for a more detailed analysis.
      
    
    Figure 10.
      Contact stresses at the axis of symmetry and the surface with different surface layer. The parameters are  200 GPa,  400 GPa,  600 MPa,  952 MPa,  0.006, and  0.05 N. (a) Without residual stress. (b) With tensile residual stress. (c) With compressive residual stress. (d) With excessive compressive residual stress.
  
Contact stresses at axis of symmetry and surface without residual stress, with tensile residual stress, with compressive residual stress, and with excessive compressive residual stress are shown Figure 10a–d. The left part of the figure shows stress at the axis of symmetry, and the right part shows stress at the surface. Without residual stress (Figure 10a),  is more compressive (negative) than , and , at the axis of symmetry and most parts of the surface except near the contact edge. The maximum differences between, , , and  are located on the axis, as well as the maximum von Mises equivalent stress.
With tensile residual stress (Figure 10b),  and  become more tensile (or less compressive), and the differences between , , and  are enlarged at the axis. The maximum von Mises equivalent stress is still located at the axis and is increased. Therefore, tensile residual stress makes the contact system easier to yield.
With compressive residual stress (Figure 10c),  and  become more compressive (or less tensile), and the differences between, , , and  are reduced at the axis. Although the differences between , , and  are enlarged at part of the surface near the contact edge, the maximum differences between , , and  are reduced, along with the maximum von Mises equivalent stress. Therefore, compressive residual stress makes the contact system harder to yield.
With excessive compressive residual stress (Figure 10d), the  became more tensile than  and  at both axis and surface. The maximum difference between , , and  are located at the contact edge of the surface, and are larger than the contact system without residual stress, as is the maximum von Mises equivalent stress. That is to say, excessive compressive residual stress makes the contact system easier to yield and may cause the performance of the system to deteriorate.
From the above analysis, it can be found that, on one hand, compressive residual stress can reduce the maximum von Mises equivalent stress on the axis, and on the other hand, compressive residual stress will enlarge the maximum von Mises equivalent stress at the contact edge. Hence, the residual stress to obtain maximum yield load is a range, or the value lies on moderate compressive residual stress.
4.2. Effect of Surface Layer Thickness
As shown in Figure 5 and Figure 6 and Table 3, the thickness of the surface layer, together with the residual stress, co-determines the critical yield load and yield inception location of the contact system. The von Mises equivalent stress at the axis of symmetry and the surface under contact with different surface layer thicknesses and different residual stresses are presented in Figure 11. The blue line in Figure 11 gives the boundary between substrate and surface layer and the yield strength value.
      
    
    Figure 11.
      Contact stresses at the axis of symmetry and the surface with different surface layer thicknesses and different residual stresses. The parameters are  200 GPa,  400 GPa,  600 MPa,  952 MPa. (a)  0.001. (b)  0.008. (c)  0.0064.
  
The result for  0.001 is presented in Figure 11a. For the residual stress of 0 MPa, under  0.081 N, the von Mises equivalent stress in the substrate has reached the yield strength (600 MPa, indicates by the arrow A), while the surface layer has not (952 MPa). Changing the residual stress from 0 MPa to −514 MPa, under  0.081 N, the von Mises equivalent stress in the substrate remains unchanged and has reached the yield strength. Although the von Mises equivalent stress in the surface layer changes, it has not reached the yield strength and has no effect on the yield position and the critical yield load. That is to say, a change of residual stress does not affect the critical yield load. That is the reason for the critical yield load plateau to come out. Corresponding yield position is at the axis of symmetry in the substrate, as indicated by the arrow A in Figure 11a. It can be inferred that when possessing excessive residual stress, whether tensile or compressive, the von Mises equivalent stress in the surface layer will increase, and the yield inception will happen in the surface layer. According to the discussion in Section 4.1, tensile residual stress causes the von Mises equivalent stress at the axis of symmetry to rise, while excessive compressive residual stress causes the von Mises equivalent stress at the contact edge near surface to rise. As a result, yield occurs at the axis of symmetry under tensile residual stress, and at the contact edge near surface under excessive compressive residual stress. From the above discussion, the variation rule for locations of yield inception in Figure 8a can be understood.
The result for  0.008 is presented in Figure 11b. For residual stress of −171 MPa and −514 MPa, under 0.180 N, the yield begins in the substrate (600 MPa, indicated by the arrow B). The residual stress change does not cause von Mises equivalent stress in substrate to change. It also corresponds to a critical load plateau. Compared to case  0.001, the difference is that the yield happens on the axis of symmetry, and the substrate side of the surface layer/substrate interface, as indicated by the arrow B in Figure 11b. Combined with the above discussion of contact with tensile residual stress and excessive compressive residual stress, the variation for locations of yield inception in Figure 8b can be understood.
The result for  0.064 is presented in Figure 11c. It can be observed that both changes to the residual stress (−343 MPa and −576 MPa) and load (0.256 N and 0.418 N) lead to an apparent von Mises equivalent stress change in the surface layer, while only having a minor effect on the stress of surface layer. In addition, the von Mises equivalent stress in the substrate is very small. This is due to the fact that the substrate is far away from the contact zone. Therefore, the yield only occurs in the surface layer. The variation of residual stress in the surface layer will inevitably lead to the changes in the contact stress field of the surface layer, thereby changing the critical load. No stress plateau exists in this case, only a peak value. The optimized value of −0.6 is the result of balance between stress drop at the axis of symmetry and stress rise at the contact edge near the surface when applying compressive stress.
4.3. Experimental Evidence
Various existing experimental studies have provided evidence for the results of the present study. The result of Zhang [] showed that with compressive residual stress of −602 MPa to −768 MPa in the surface layer of 17Cr2Ni2MoVNb steel, the wear rate decreased up to 80% compared to the untreated one (no residual stress was introduced intentionally). The result of Vierneusel [] showed that with residual stress change from −323 MPa to −159 MPa, the cross-sectional wear track area doubled. These results confirm the result in the present study—that the compressive residual stress can strengthen the contact system by increasing the critical yield load of the contact system. The result of Jang [] showed that with residual stress of −4.01 GPa, the wear depth almost doubled in the nanowear test compared to the residual stress of −1.48 Gpa. The result of Tlili [] showed that with residual stress of −0.7 GPa, the PVD coating showed smaller wear volume than those with −0.2 GPa and −1.2 GPa. The result of Ahmed [] showed that with residual stress of about −4 GPa, the TiSiN coatings showed better damage resistance and adhesion strength than those with −1 GPa and −10 GPa. These results confirmed that although compressive residual stress can increase the critical yield load of the contact system, excessive compressive residual stress will cause it to decrease.
The results of locations of yield inception are in accordance with the experimental observation of Ahmed [] on nanocomposite TiSiN coatings on steels. Ring cracks apparently initiated at the contact edge and propagated into the coating were observed for coatings that possessed high compressive residual stress. This may be due to the yield locations of a, e, and h in Figure 8. When compressive residual stress decreased, ring cracks were reduced, but lateral cracks formed at the interface remained, and may be due to the yield locations of c and f in Figure 8. With a further decrease in compressive residual stress, microcracks became excessive in coatings, and may be related to the yield locations of g and i in Figure 8.
5. Conclusions
In this study, the effect of residual stress in the surface layer on the plastic yield inception of the surface layer/substrate system during contact is calculated using FEM. The critical load and locations for yield inception with different residual stress levels and different surface layer thicknesses were acquired. The results were discussed, and the following conclusions can be drawn:
- (1)
 - The residual stress in the surface layer has little influence on the stress field in the substrate during contact. The residual stress mainly influences the normal stress in the plane parallel to the contact surface and only has a minor influence on the other stress components in the surface layer. The influence of the residual stress on the critical yield load is mainly due to variations in the stress field in surface layer.
 - (2)
 - For all the surface layer thicknesses, as the dimensionless residual stress () varies from −1 to 1, the critical yield load increases firstly to a peak value or is leveled to a plateau value, and subsequently decreases. Generally, a moderate compressive residual stress in the surface layer results in higher critical yield load than that without residual stress or with tensile residual stress. An optimal value of −0.6 is found to maximize the critical yield load of the contact system with the surface layer.
 - (3)
 - The surface layer thickness and residual stress in the surface layer co-determines the yield inception location of the contact system, thereby influencing the critical yield load of the contact system jointly. For relatively small surface layer thickness, the yield inception can both happen in the surface layer or substrate, while for large surface layer thickness, the yield inception can only happen in the surface layer. The critical yield load is leveled to a plateau value on the change of residual stress when the yield happens in the substrate. Residual stress can affect the critical yield load only when the yield happens in the surface layer.
 
The results can be applied in the contact of systems with a surface layer, especially in the area of mechanical engineering, such as mechanical parts with a film or coating, or with a hardened or stressed top layer after machining or heat treatment. The results may also provide some insight for the contact of systems in other areas of expertise with similar layered structures, such as roads with stressed concrete surface, layered rocks, etc.
Author Contributions
Conceptualization, S.Z. and X.H.; methodology, S.Z., X.H. and W.W.; writing—original draft preparation, S.Z.; writing—review and editing, S.Z., X.H., W.W. and Y.Y.; supervision, S.Z.; funding acquisition, S.Z. All authors have read and agreed to the published version of the manuscript.
Funding
This research was funded by the National Natural Science Foundation of China (grant number 51905535), the Fundamental Research Funds for the Central Universities (grant number 2020YQJD03) and the Tribology Science Fund of State Key Laboratory of Tribology (grant number SKLTKF18B06).
Data Availability Statement
The data presented in this study are available on request from the corresponding author.
Acknowledgments
The authors thank Tianmin Shao of Tsinghua University for the useful discussion.
Conflicts of Interest
The authors declare no conflict of interest.
Nomenclature
| R | Radius of rigid hemisphere | 
| t | Thickness of surface layer | 
| Coefficient of thermal expansion of surface layer | |
| Coefficient of thermal expansion of substrate | |
| Young’s modulus, Poisson’s ratio, and yield strength of surface layer | |
| Young’s modulus, Poisson’s ratio, and yield strength of substrate | |
| Residual stress | |
| von Mises equivalent stress | |
| Normal stresses (radial, circumferential, and parallel to axis of symmetry) | |
| Shear stresses | |
| Load | |
| Critical yield load of contact system with surface layer | |
| Critical yield load of contact system of pure material of substrate | |
| t/R | Dimensionless surface layer thickness | 
| Dimensionless residual stress | |
| Dimensionless critical yield load | 
Appendix A
The outer surface is where material in the computational model separated from the external material (Figure A1) is. In consideration of the interaction between the materials across the boundary, two different boundary conditions are tried: (1) roller boundary conditions are applied on the outer surface (Figure A2a); (2) the outer surface is free (Figure A2b). Examples of stress field for cases with different boundary conditions are presented in Figure A3. The residual stress field induced in the surface layer by thermal mismatch with roller boundary conditions applied on the outer surface is presented in Figure A3a–c. The stress in the substrate induced by thermal mismatch is 0 (the CTE of substrate is set to be zero). The residual stress field of cases that free the outer surface is presented in Figure A3e–g. It can be seen that changes in the boundary condition on the outer surface only lead to stress concentration near the outer edge and have a minor effect on the residual stress near the contact zone. Figure A3d,h show the contact stress field for different boundary conditions. It can be seen that the boundary condition on the outer surface only has a minor effect on the stress field of the contact zone. Thus, it will not affect the result of critical yield load.
      
    
    Figure A1.
      Separation of the computational model from external material.
  
      
    
    Figure A2.
      Finite element model with different boundary condition on the outer surface. (a) Roller boundary condition. (b) Free the outer surface.
  
      
    
    Figure A3.
      Examples of stress field for cases with different boundary conditions. The parameters are Es = 200 GPa, El = 400 GPa, Ys = 600 MPa, Yl = 952 MPa, t/R = 0.006, and P = 0.05 N. (a–d) Roller boundary condition. (e–h) The outer surface is free.
  
References
- Zhang, S.; Leng, Z.; Gu, H.; Yin, J.; Wang, Z.; Liu, Y. Simulation and Experiment Research on the Surface Deformation and Residual Stress of Fractal Rough Surface Single-Shot Peening. Appl. Sci. 2022, 12, 6891. [Google Scholar] [CrossRef]
 - Moradi, A.; Heidari, A.; Amini, K.; Aghadavoudi, F.; Abedinzadeh, R. The effect of shot peening time on mechanical properties and residual stress in Ti-6Al-4V alloy. Metall. Res. Technol. 2022, 119, 401. [Google Scholar] [CrossRef]
 - Chen, M.; Xing, S.; Li, J.; He, J.; Lu, Y.; Jiang, C.; Ji, V. Surface residual stress and microstructure evolutions of Hastelloy X alloy after severe shot peening. Vacuum 2021, 187, 110136. [Google Scholar] [CrossRef]
 - Yi, S.; Wu, Y.; Gong, H.; Peng, C.; He, Y. Experimental Analysis and Prediction Model of Milling-Induced Residual Stress of Aeronautical Aluminum Alloys. Appl. Sci. 2021, 11, 5881. [Google Scholar] [CrossRef]
 - Zhou, S.J.; Ji, Z.D.; Shao, T.M. Residual stress evolution during long-term and cyclic aging and annealing of gold films deposited by electron beam evaporation. Vacuum 2015, 120, 132–138. [Google Scholar] [CrossRef]
 - Freund, L.B.; Suresh, S. Thin Film Materials: Stress, Defect Formation and Surface Evolution; Cambridge University Press: Cambridge, UK, 2004. [Google Scholar]
 - Joy, T.D.; Weiß, D.; Schramm, B.; Kullmer, G. Further Development of 3D Crack Growth Simulation Program to Include Contact Loading Situations. Appl. Sci. 2022, 12, 7557. [Google Scholar] [CrossRef]
 - Babici, L.M.; Tudor, A.; Romeu, J. Stick-Slip Phenomena and Acoustic Emission in the Hertzian Linear Contact. Appl. Sci. 2022, 12, 9527. [Google Scholar] [CrossRef]
 - Ren, X.H.; Zhu, J.H. Wear mechanisms and hardness thresholds under repeated impact contact loading. Sci. China Technol. Sci. 2018, 61, 124–128. [Google Scholar] [CrossRef]
 - Liu, Y.; Ji, Y.; Ye, F.; Zhang, W.; Zhou, S. Effects of contact pressure and interface temperature on thermal contact resistance between 2Cr12NiMoWV/BH137 and γ-TiAl/2Cr12NiMoWV interfaces. Therm. Sci. 2020, 24, 313–324. [Google Scholar] [CrossRef]
 - Liu, Y.; Ye, F.; Zhang, W.; Zhou, S. Heat transfer behavior caused by temperature difference in reciprocating sliding contact. Sci. Prog. 2020, 103, 0036850419899560. [Google Scholar] [CrossRef]
 - Ren, W.; Zhang, C.; Sun, X. Electrical Contact Resistance of Contact Bodies with Cambered Surface. IEEE Access 2020, 8, 93857–93867. [Google Scholar] [CrossRef]
 - Tian-Shun, D.; Li, L.; Bin-Guo, F.; Guo-Lu, L.; Hai-Dou, W.; Yang, F. Investigation of rolling/sliding contact fatigue behaviors of induction remelted Ni-based coating. Surf. Coat. Technol. 2019, 372, 451–462. [Google Scholar] [CrossRef]
 - Zhang, Y.; Lai, F.; Qu, S.; Ji, V.; Liu, H.; Li, X. Effect of shot peening on residual stress distribution and tribological behaviors of 17Cr2Ni2MoVNb steel. Surf. Coat. Technol. 2020, 386, 125497. [Google Scholar] [CrossRef]
 - Holmberg, K.; Ronkainen, H.; Laukkanen, A.; Wallin, K.; Hogmark, S.; Jacobson, S.; Wiklund, U.; Souza, R.M.; Ståhle, P. Residual stresses in TiN, DLC and MoS2 coated surfaces with regard to their tribological fracture behaviour. Wear 2009, 267, 2142–2156. [Google Scholar] [CrossRef]
 - Vierneusel, B.; Benker, L.; Tremmel, S.; Göken, M.; Merle, B. Isolating the effect of residual stresses on coating wear by a mechanical stress relaxation technique. Thin Solid Film. 2017, 638, 159–166. [Google Scholar] [CrossRef]
 - Huang, Y.C.; Chang, S.Y.; Chang, C.H. Effect of residual stresses on mechanical properties and interface adhesion strength of SiN thin films. Thin Solid Film. 2009, 517, 4857–4861. [Google Scholar] [CrossRef]
 - Jang, Y.J.; Kim, S.S.; Rha, J.J. The Effect of Residual Stress on the Wear Properties of Dlc Coatings. Int. J. Mod. Phys. B 2010, 24, 2977–2982. [Google Scholar] [CrossRef]
 - Tlili, B.; Nouveau, C.; Guillemot, G.; Besnard, A.; Barkaoui, A. Investigation of the effect of residual stress gradient on the wear behavior of PVD thin films. J. Mater. Eng. Perform. 2018, 27, 457–470. [Google Scholar] [CrossRef]
 - Ahmed, M.S.; Zhou, Z.F.; Munroe, P.; Li, L.K.Y.; Xie, Z. Control of the damage resistance of nanocomposite TiSiN coatings on steels: Roles of residual stress. Thin Solid Film. 2011, 519, 5007–5012. [Google Scholar] [CrossRef]
 - Xi, Y.; Bai, Y.; Gao, K.; Pang, X.; Yang, H.; Yan, L.; Volinsky, A.A. Residual stress and microstructure effects on mechanical, tribological and electrical properties of TiN coatings on 304 stainless steel. Ceram. Int. 2018, 44, 15851–15858. [Google Scholar] [CrossRef]
 - Bai, M.; Kato, K.; Umehara, N.; Miyake, Y. Nanoindentation and FEM study of the effect of internal stress on micro/nano mechanical property of thin CNx films. Thin Solid Film. 2000, 377, 138–147. [Google Scholar] [CrossRef]
 - Bolshakov, A.; Oliver, W.C.; Pharr, G.M. Influences of stress on the measurement of mechanical properties using nanoindentation: Part II. Finite element simulations. J. Mater. Res. 1996, 11, 760–768. [Google Scholar] [CrossRef]
 - Xu, Z.H.; Li, X. Influence of equi-biaxial residual stress on unloading behaviour of nanoindentation. Acta Mater. 2005, 53, 1913–1919. [Google Scholar] [CrossRef]
 - Schall, J.D.; Brenner, D.W. Atomistic simulation of the influence of pre-existing stress on the interpretation of nanoindentation data. J. Mater. Res. 2004, 19, 3172–3180. [Google Scholar] [CrossRef]
 - Sun, K.; Shen, W.; Ma, L. The influence of residual stress on incipient plasticity in single-crystal copper thin film under nanoindentation. Comput. Mater. Sci. 2014, 81, 226–232. [Google Scholar] [CrossRef]
 - Wang, T.G.; Zhao, S.S.; Hua, W.G.; Li, J.B.; Gong, J.; Sun, C. Estimation of residual stress and its effects on the mechanical properties of detonation gun sprayed WC–Co coatings. Mater. Sci. Eng. A 2010, 527, 454–461. [Google Scholar] [CrossRef]
 - Goltsberg, R.; Etsion, I.; Davidi, G. The onset of plastic yielding in a coated sphere compressed by a rigid flat. Wear 2011, 271, 2968–2977. [Google Scholar] [CrossRef]
 - Song, W.; Li, L.; Ovcharenko, A.; Jia, D.; Etsion, I.; Talke, F.E. Plastic yield inception of an indented coated flat and comparison with a flattened coated sphere. Tribol. Int. 2012, 53, 61–67. [Google Scholar] [CrossRef]
 - Chen, Z.; Goltsberg, R.; Etsion, I. Plasticity evolution in a coated sphere compressed by a rigid flat. Tribol. Int. 2016, 98, 116–124. [Google Scholar] [CrossRef]
 - Chen, Z.; Goltsberg, R.; Etsion, I. Yield modes in a coated spherical contact. Tribol. Int. 2018, 120, 309–316. [Google Scholar] [CrossRef]
 - Rong, D.S.; Jiang, Y.; Gong, J.M. Residual stress in low temperature carburised layer of austenitic stainless steel. Mater. Sci. Technol. 2017, 33, 277–284. [Google Scholar] [CrossRef]
 - Savrai, R.A.; Davydova, N.A.; Makarov, A.V.; Malygina, I.Y. Effect of frictional treatment on the microstructure and surface properties of low-carbon steel. In AIP Conference Proceedings; AIP Publishing LLC: Ekaterinburg, Russia, 2018; Volume 2053, p. 040087. [Google Scholar]
 - Goltsberg, R.; Etsion, I. A model for the weakening effect of very thin hard coatings. Wear 2013, 308, 10–16. [Google Scholar] [CrossRef]
 - Huang, X.; Etsion, I.; Shao, T. Indentation pop-in as a potential characterization of weakening effect in coating/substrate systems. Wear 2015, 338, 325–331. [Google Scholar] [CrossRef]
 - Huang, X.; Zhou, S.; Shao, T. Weakening effect of plastic yielding inception in thin hard coating systems. Chin. Phys. B 2021, 30, 038104. [Google Scholar] [CrossRef]
 - Popov, V.L. Contact Mechanics and Friction; Springer: Berlin/Heidelberg, Germany, 2010. [Google Scholar]
 
Publisher’s Note: MDPI stays neutral with regard to jurisdictional claims in published maps and institutional affiliations.  | 
© 2022 by the authors. Licensee MDPI, Basel, Switzerland. This article is an open access article distributed under the terms and conditions of the Creative Commons Attribution (CC BY) license (https://creativecommons.org/licenses/by/4.0/).























