Ground Settlement of Deeply Buried Two-Lane Tunnels with Large Cross-Sections Using Different Construction Methods
Abstract
1. Introduction
2. Project Overview
3. Model Building
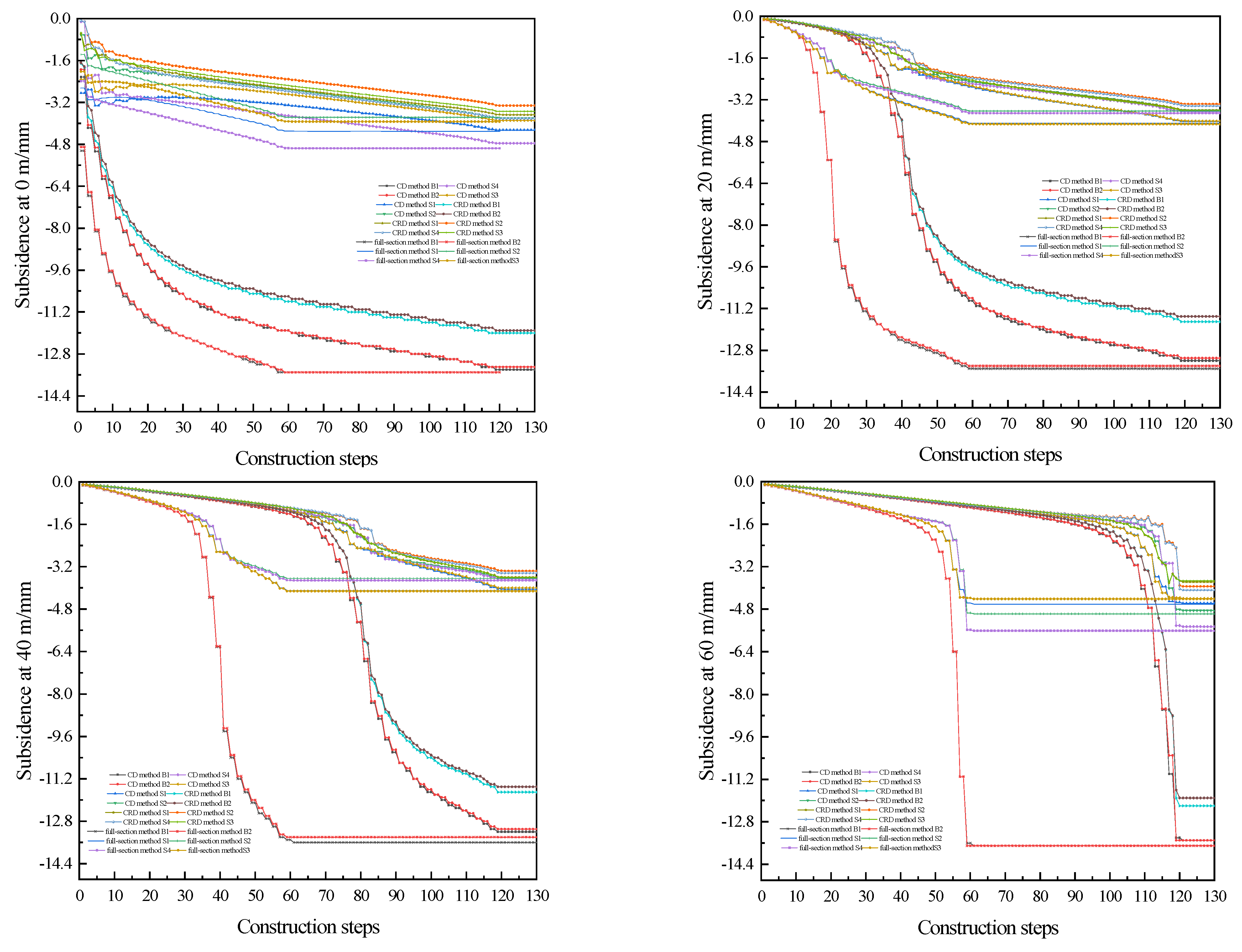
4. Analysis of the Tunnel Construction Simulation Results
4.1. Surveying Point Layout
4.2. Vault Settlement and Tunnel Perimeter Convergence
4.3. Deformation of Arch Bottom
4.4. Analysis of Initial Support Force
4.5. Force Analysis of Secondary Lining
5. Surface Subsidence Model Optimization
5.1. Subsidence Surveying
5.2. Classical Peck Model
5.3. Peak Formula for Two-Line Tunnel
6. Conclusions
Author Contributions
Funding
Data Availability Statement
Conflicts of Interest
References
- Huang, H.; Zhou, P.; Chen, P.; Yang, J.; De-Lin, M. Theoretical research on different construction methods for double-line highway tunnel under-passing existing railway tunnel. Railw. Stand. Des. 2016, 60, 104. [Google Scholar]
- Cui, L.; Zhang, W.; Shen, J.M.; Zheng, J. Mechanical response of deep-buried tunnels through soft and cracked rock mass under different excavation methods. J. Civ. Eng. Manag. 2012. [Google Scholar] [CrossRef]
- Wang, F.; Dongdong, M.; Yisheng, Y.; Yang, L. Numerical analysis on construction safety impact of different construction methods double arch tunnel. Constr. Technol. 2019, 48, 615–618. [Google Scholar]
- Yu, Q.; Zhang, H.; Guo, X. Research on construction methods affecting on stress and strain distribution of double arch tunnel. Appl. Mech. Mater. 2013, 256–259, 1308–1311. [Google Scholar]
- Zhang, Y.; Li, W.; Li, J. The tunnel of small interval clip rock mechanics properties research. Appl. Mech. Mater. 2012, 170–173, 1816–1819. [Google Scholar]
- Wu, K.; Zheng, Q.; Shao, Z.; Zhang, Z. Research into the effect of different tunnel excavation methods on rail track settlement. Indian Geotech. J. 2018, 48, 677–685. [Google Scholar] [CrossRef]
- Jin, H.; Yuan, D.; Zhou, S.; Zhao, D. Short-Term and Long-Term Displacement of Surface and Shield Tunnel in Soft Soil: Field Observations and Numerical Modeling. Appl. Sci. 2022, 12, 3564. [Google Scholar] [CrossRef]
- Frough, O.; Khetwal, A.; Rostami, J. Predicting tbm utilization factor using discrete event simulation models. Tunn. Undergr. Space Technol. 2019, 87, 91–99. [Google Scholar] [CrossRef]
- Wu, H. Numerical Simulation Algorithm Design of Influence on Existing Tunnel by Underpass Construction of New Tunnel. Sci. Program. 2021, 2021, 1734308. [Google Scholar] [CrossRef]
- Lee, H.; Choi, H.; Choi, S.; Chang, S.; Kang, T.; Lee, C. Numerical Simulation of EPB Shield Tunnelling with TBM Operational Condition Control Using Coupled DEM–FDM. Appl. Sci. 2021, 11, 2551. [Google Scholar] [CrossRef]
- Zhang, W.; De, C.; Liu, X.; Taerwe, L. Optimization Study on Longitudinal Joints in Quasi-Rectangular Shield Tunnels. Appl. Sci. 2021, 11, 573. [Google Scholar] [CrossRef]
- Ngoc, A.; Dias, D. A comparison of 2D and 3D numerical simulations of tunnelling in soft soils. Environ. Earth Sci. 2017, 76, 102. [Google Scholar] [CrossRef]
- Lu, H.; Shi, J.; Wang, Y.; Wang, R. Centrifuge modeling of tunneling-induced ground surface settlement in sand. Undergr. Space 2019, 4, 302–309. [Google Scholar] [CrossRef]
- Lou, P.; Li, Y.; Xiao, H.; Zhang, Z.; Lu, S. Influence of Small Radius Curve Shield Tunneling on Settlement of Ground Surface and Mechanical Properties of Surrounding Rock and Segment. Appl. Sci. 2022, 12, 9119. [Google Scholar] [CrossRef]
- Yang, C.; Chen, Y.A.; Guo, Z.; Zhu, W.; Wang, R. Surface Settlement Control in the Excavation of a Shallow Intersection between a Double-Arched Tunnel and a Connection Tunnel. Int. J. Geomech. 2021, 21, 04021035. [Google Scholar] [CrossRef]
- Topal, C.; Mahmutolu, Y. Assessment of surface settlement induced by tunnel excavations for the Esenler–Baakehir (Istanbul, Turkey) subway line. Environ. Earth Sci. 2021, 80, 188. [Google Scholar] [CrossRef]
- Liang, X.; Ye, F.; Ouyang, A.; Han, X.; Qin, X. Theoretical analyses of the stability of excavation face of shield tunnel in lanzhou metro crossing beneath the yellow river. Int. J. Geomech. 2020, 20, 04020200. [Google Scholar] [CrossRef]
- Gychan, J.; Donghyun, K. A study on key factors of ground settlement due to shield tbm excavation using numerical analysis and field measurement comparison. J. Korean Geosynth. Soc. 2017, 16, 63–72. [Google Scholar] [CrossRef][Green Version]
- Dejong, M.; Giardina, G.; Chalmers, B.; Lazarus, D.; Ashworth, D.; Mair, R. The impact of the crossrail tunnelling project on masonry buildings with shallow foundations. Proc. ICE Geotech. Eng. 2019, 172, 402–416. [Google Scholar] [CrossRef]
- Jiang, A.; Peng, L.; Shi, H. Shallow depth of the tunnel excavation response research based on crd method—Sciencedirect. Procedia Eng. 2011, 15, 4852–4856. [Google Scholar]
- Li, X.; Wang, S.; Zhang, B.; Wang, Y.; Peng, W. Ground surface settlement prediction and reliability analysis of twin tunnels. Chin. J. Undergr. Space Eng. 2019, 15, 428–435. [Google Scholar]
- Kim, D.; Pham, K.; Park, S.; Oh, J.; Choi, H. Determination of effective parameters on surface settlement during shield tbm. Geomech. Eng. 2020, 21, 153–164. [Google Scholar] [CrossRef]
- Saeed, H.; Uygar, E. Equation for maximum ground surface settlement due to bored tunnelling in cohesive and cohesionless soils obtained by numerical simulations. Arab. J. Sci. Eng. 2022, 47, 5139–5165. [Google Scholar] [CrossRef]
- Kannangara, K.; Ding, Z.; Zhou, W. Surface settlements induced by twin tunneling in silty sand. Undergr. Space 2021, 7, 58–75. [Google Scholar] [CrossRef]
- Hsda, B.; Hlfa, B.; Shi, Y.; Zhen, H.C.; Yyza, B. Ground loss model for analyzing shield tunneling-induced surface settlement along curve sections. Tunn. Undergr. Space Technol. 2022, 119, 104250. [Google Scholar] [CrossRef]
- Chen, Y. Discussion on construction technology of large-section stone tunnel by CD method. Green Build. Mater. 2021, 2, 121–122. [Google Scholar] [CrossRef]
- Li, C.K. Optimization analysis of different excavation offsets in railway pilot tunnel by crd method. Appl. Mech. Mater. 2014, 505–506, 134–138. [Google Scholar]
- Rehman, H.; Ali, W.; Naji, A.; Kim, J.; Abdullah, R.; Yoo, H. Review of Rock-Mass Rating and Tunneling Quality Index Systems for Tunnel Design: Development, Refinement, Application and Limitation. Appl. Sci. 2022, 8, 1250. [Google Scholar] [CrossRef]
- Peck, R. Deep excavations and tunneling in soft ground. In Proceedings of the 7th International Conference on Soil Mechanics and Foundation Engineering, Mexico City, Mexico, 29 August 1969; pp. 225–290. [Google Scholar]
- Chen, Y.; Yang, X. The decline curve shape estimate analysis of parallel tunnel surface. Shanxi Archit. 2009, 35, 338–339. [Google Scholar] [CrossRef]
- Wu, H.; Wei, G. The calculation of soil settlement induced by construction of twin parallel shield tunnels with a small-interval. Mod. Tunn. Technol. 2014, 51, 63–69+75. [Google Scholar]
- New, B.; Bowers, K. Ground movement model validation at the Heathrow Express trial tunnel. In Tunnelling’94; Springer: Boston, MA, USA, 1994. [Google Scholar] [CrossRef]
















| Grade Classification | Clearance Cross-Sectional Area (m2) |
|---|---|
| Ultra-small cross-section | <3.0 |
| Small cross-section | 3.0–10.0 |
| Medium cross-section | 10.0–50.0 |
| Large cross-section | 50.0–100.0 |
| Extra large cross-section | >100.0 |
| Material Properties | Test Weight γ/KN·m−3 | Elastic Modulus E/MPa | Poisson’s Ratio μ | Cohesion c/KPa | Internal Friction Angle φ/° |
|---|---|---|---|---|---|
| Fully weathered crushed rock | 19.7 | 7 | 0.3 | 12.6 | 16.2 |
| Strongly weathered rock | 23 | 500 | 0.3 | 20 | 33 |
| Medium weathered rock | 25 | 2000 | 0.25 | 200 | 35 |
| Initial support | 24 | 15,000 | 0.2 | / | / |
| Secondary lining | 22 | 31,500 | 0.3 | / | / |
| Anchor | 78.5 | 210,000 | 0.3 | / | / |
| Excavation Method/Surveying Point Location/Maximum Deformation (mm) | Surveying Point at 0 m | Surveying Point at 20 m | Surveying Point at 40 m | Surveying Point at 60 m | |
|---|---|---|---|---|---|
| CRD method | B1 | −12.0 | −11.7 | −11.7 | −12.2 |
| C1 | 12.6 | 11.8 | 11.6 | 12.0 | |
| B2 | −11.9 | −11.5 | −11.5 | −11.9 | |
| C2 | 12.6 | 11.8 | 11.6 | 12.0 | |
| S1 | −3.67 | −3.6 | −3.6 | −3.7749 | |
| S2 | −3.32 | −3.36 | −3.36 | −3.94754 | |
| S3 | −3.54 | −3.62 | −3.61 | −3.73523 | |
| S4 | −3.81 | −3.43 | −3.44 | −4.07924 | |
| CD method | B1 | −13.4 | −13.2 | −13.2 | −13.5 |
| C1 | 13.9 | 13.3 | 13.1 | 13.2 | |
| B2 | −13.3 | −13.1 | −13.1 | −13.5 | |
| C2 | 13.9 | 13.3 | 13.1 | 13.2 | |
| S1 | −4.25 | −4.02 | −4.04 | −4.58 | |
| S2 | −3.79 | −3.59 | −3.6 | −4.85 | |
| S3 | −3.89 | −4.01 | −4 | −4.4 | |
| S4 | −4.76 | −3.66 | −3.66 | −5.46 | |
| Full-section method | B1 | −13.5 | −13.5 | −13.6 | −13.7 |
| C1 | 14.1 | 14.1 | 13.9 | 13.4 | |
| B2 | −13.5 | −13.4 | −13.4 | −13.7 | |
| C2 | 14.1 | 14.1 | 13.9 | 13.5 | |
| S1 | −4.3 | −4.09 | −4.11 | −4.61 | |
| S2 | −3.77 | −3.63 | −3.64 | −4.98 | |
| S3 | −3.93 | −4.13 | −4.12 | −4.42 | |
| S4 | −4.95 | −3.71 | −3.72 | −5.62 | |
| Initial Support Force | CRD Method | CD Method | Full-Section Method | |
|---|---|---|---|---|
| Maximum principal stress (MPa) | MAX | 1.05329 | 1.37031 | −1.66592 |
| MIN | −10.2049 | −10.9626 | −11.1948 | |
| Minimum principal stress (MPa) | MAX | −3.57857 | −3.98357 | −4.15936 |
| MIN | −25.5873 | −27.0095 | −27.5909 | |
| Surveying Point/Displacement (mm)/Excavation Method | CRD Method | CD Method | Full-Section Method | Surveying Point/Displacement (mm)/Excavation Method | CRD Method | CD Method | Full-Section Method |
|---|---|---|---|---|---|---|---|
| C1 | 11.3943 | 13.26114 | 18.76242 | S1 | −4.013874 | −13.19124 | −10.73508 |
| C2 | 11.3758 | 13.48232 | 18.73647 | S2 | −3.489805 | −8.898034 | −9.782638 |
| B1 | −11.33806 | −9.560629 | −17.21646 | S3 | −3.663354 | −13.26354 | −10.20903 |
| B2 | −11.32381 | −8.305074 | −17.03111 | S4 | −3.844614 | −8.985437 | −10.42312 |
Publisher’s Note: MDPI stays neutral with regard to jurisdictional claims in published maps and institutional affiliations. |
© 2022 by the authors. Licensee MDPI, Basel, Switzerland. This article is an open access article distributed under the terms and conditions of the Creative Commons Attribution (CC BY) license (https://creativecommons.org/licenses/by/4.0/).
Share and Cite
Han, Y.; Wei, C.; Cui, M.; Xie, H.; Ou, Y.; Zhu, H.; Liu, T. Ground Settlement of Deeply Buried Two-Lane Tunnels with Large Cross-Sections Using Different Construction Methods. Appl. Sci. 2022, 12, 11105. https://doi.org/10.3390/app122111105
Han Y, Wei C, Cui M, Xie H, Ou Y, Zhu H, Liu T. Ground Settlement of Deeply Buried Two-Lane Tunnels with Large Cross-Sections Using Different Construction Methods. Applied Sciences. 2022; 12(21):11105. https://doi.org/10.3390/app122111105
Chicago/Turabian StyleHan, Yugang, Changming Wei, Mengyuan Cui, Hong Xie, Yangwang Ou, Hao Zhu, and Taoying Liu. 2022. "Ground Settlement of Deeply Buried Two-Lane Tunnels with Large Cross-Sections Using Different Construction Methods" Applied Sciences 12, no. 21: 11105. https://doi.org/10.3390/app122111105
APA StyleHan, Y., Wei, C., Cui, M., Xie, H., Ou, Y., Zhu, H., & Liu, T. (2022). Ground Settlement of Deeply Buried Two-Lane Tunnels with Large Cross-Sections Using Different Construction Methods. Applied Sciences, 12(21), 11105. https://doi.org/10.3390/app122111105
