Abstract
A map, being a scaled-down image of a fragment of the Earth, reflects the actual relationships between objects in a way that allows for comprehensive exploration of large areas. In particular, a map is an ideal tool for exploring the layout of historic parks, as it shows their character according to their style. Depending on the style of the parks, their maps will differ in terms of the appropriate selection of the scope of content and the system of cartographic signs. Nowadays, distribution maps of parks for the visually impaired are increasingly popular. Depending on the purpose of a map, it is essential to obtain the relevant spatial data before creating it. Spatial data are also important to convey knowledge about the form of the given park and its function, elements, small garden architecture, plant compositions, and garden arrangements. The purpose of this study is to assess the usefulness of OSM (OpenStreetMap) and BDOT10k (the Topographic Objects Database) data for the development of tactile maps of historic parks, with five garden styles. Data features, such as accessibility of spatial objects and descriptive attributes, including names that allow identification of the object type or completeness of object occurrence, were taken into consideration. The assessment was conducted for three levels of map detail and separately for each garden style. The results showed that almost half of the tactile maps’ content items could be taken from BDOT10k or OSM. The Data Usefulness Index (DUI) confirmed a slight advantage of BDOT10k, taking almost the same values as OSM (0.49:0.48 at the first level of map detail and 0.40:0.38 at the second level of map detail). Complementing information on park objects obtained from OSM and BDOT10k data with data from orthophotomaps or field measurements makes it possible to develop maps that convey information about the composition of a park as a whole and about the cultural assets that blind or visually impaired people have not yet been able to fully experience in a direct way.
1. Introduction
Visualisation of the world, by transforming large heterogeneous data volumes into information (interpreted data) and, subsequently, into knowledge (understanding derived from integrating information), has been of interest to cartography for centuries []. Data are the starting point for map development. Their graphical representation is one of the components of the visualisation process []. Over the last century, there has been great interest in the development of cartographic visualisation, in the scientific works of many cartographers, such as M.-J. Kraak and F. Ormeling [], A.M. McEachren and Kraak [], Slocum et al. [], and Dent et al. []. The cartographic visualisation process is considered by Kraak [] to be the translation or conversion of spatial data from a database into graphics, providing a better understanding of spatial processes and relationships.
Cartographic visualisation makes it possible to acquire knowledge about the surrounding world in a more effective way, by reading data and presenting them in the form of a map [,,,]. However, the result of the visualisation process is affected by many factors, including the scale of the map. This introduces the problem of cartographic generalisation, i.e., the meaningful reduction in map content during scale reduction []. The second factor to be considered is the type of the map []. It is important when topographic or thematic data are dealt with. These two categories have traditionally resulted in different map-design approaches. The third important aspect is the character of the data to be presented on the map []. The availability of datasets of different quality and from different data sources, collected at different scales and stored in different map projections, has a significant impact on the outcome of the visualisation process and on the final map. Another important consideration in the design of thematic maps is also the map’s audience, which helps determine which elements besides the theme should be included in the map as reference points [].
The literature often deals with the issue of spatial data quality, which, for many years, has been the subject of interest not only amongst data distributors but also amongst users and scientists [,,]. The importance of data quality in science, including cartography, has been well recognised and widely described for centuries [,,,]. The problem of data quality is always analysed in the context of compliance with technical specifications. It is highlighted by international standards organisations, which have developed several standards on reporting and on data quality assessment, including such standards as: ISO 19101:2002—geographic information—reference model []; ISO 19157:2013—data quality []; ISO/TS 19158:2012—quality as assurance of data supply []. According to ISO 9000:2015 [], data quality is defined as the degree to which a set of inherent characteristics of an object fulfils requirements with respect to the immanent attributes related to the geospatial nature of the data (like positional accuracy or spatial resolution) []. Features and characteristics in relation to spatial datasets are determined by means of several quantitative and qualitative indicators. The most commonly used and most applicable ones, also for INSPIRE datasets, are: completeness (lack and excess of objects), logical consistency (conceptual, topological, domain, format), position accuracy, temporal accuracy, thematic accuracy (e.g., correctness of classification or correctness of qualitative attributes), and lineage [,,]. However, there is a certain gap in the literature on the subject of the usefulness of data for the development of thematic maps, specifically developed for certain groups of users.
Maps for people with special needs, e.g., for people with visual impairments, which are becoming more and more popular nowadays, require a specialised approach to data visualisation [,,]. Such people read maps mainly with the sense of touch, sometimes supported by their impaired eyesight. For them to be able to read tactile maps using touch, both the scope of the content and the way in which it is presented should be adapted to their perceptual capabilities [,]. Therefore, the content of each tactile map must be highly generalised, both in terms of the concepts used to describe individual elements and in terms of the graphic (tactile) form of their representation [,,]. What is more, when designing tactile maps, the principles of the ergonomics of using typhlographic materials should be taken into account, so that the use of such a map is convenient, safe, and effective. An example of thematic maps for the visually impaired is maps of historical parks, which are the most popular historical attractions visited by blind people, and the large number of parks make them a significant part of the cultural heritage of each country. As the parks were created at different times, they were designed in different styles. Each style has its own features, characteristic of a given period and the prevailing trends in garden design []. These features are related to the presence of specific objects in the park as well as to their distribution and mutual relations. All this means that the park complex is a harmonious whole. determining the uniqueness of the composition of the park as well as the style in which it was designed []. Maps of parks also provide information about nature, as they present the condition, specific style elements, and forms of protection; they make it possible to analyse the processes that occur in nature at various scales.
Developing tactile maps of historic parks’ spatial data requires providing information about unique style features. Therefore, the aim of the article is to assess the usability of the OSM (OpenStreetMap) and BDOT10k (Baza Danych Obiektów Topograficznych (the Topographic Objects Database)) open data provided by the Central Office of Geodesy and Cartography, for the purpose of tactile mapping historic parks. The contribution of research to the existing knowledge primarily concerns the use of existing spatial data sources to develop such tactile maps, which are not navigation maps but that perform purely cognitive or educational functions. The tactile maps developed so far were mainly used to navigate in space, to get from one place to another one. The use of topographic or general geographic databases for the development of such maps is relatively simple, as they always contain the basic objects necessary for navigation. In our research, we want to show that it is also possible to use the existing spatial databases for the development of thematic tactile maps. The main purpose of such maps is to learn about the features or phenomena, and their content requires specific, thematic content elements that provide—in our case—historical knowledge and cultural characteristics. Such maps are used for cognition and education, rather than navigation. Obtaining their thematic content is time-consuming and requires specialist knowledge; therefore, it is advisable to use the potential of already existing databases, at least partially. With our research, we would like to fill this gap.
In our research, data usefulness is assessed for the development of tactile maps of park gardens in five styles: Baroque, Renaissance, Landscape/English, Romantic/Sentimental, and Oriental/Japanese. Assessment is motivated by the concern of how well the database is suitable for the intended use. Therefore, the following research questions were posed during the research:
- Which of the databases is better for the development of tactile maps of parks?
- To what extent can BDOT10k and OSM be useful for tactile park maps’ development?
- Which park styles are the BDOT10k and OSM data the most appropriate for?
The current state of knowledge shows the shortcomings in the assessment of the usefulness of data for the development of tactile maps, in particular those that present parks in different styles. This article can be treated as a contribution to the debate amongst cartographers on the possibilities of using open data to develop tactile maps. It also attempts to present the natural richness of parks with different styles from the point of view of tactile maps. The results of the research are of great significance for two groups of recipients. First of all, people who develop maps for the blind and partially sighted people. The results of the research will help them to assess the suitability of classical spatial data sources for the development of tactile maps. In many cases, this will eliminate the need to acquire data from scratch and will contribute to shortening the time of developing tactile maps and reducing the degree of subjectivity of typhlocartographic studies. The results of our research are also of significance to a second group of recipients. They are the people who use tactile maps in their daily life. Faster development of tactile maps with the use of already existing data sources will contribute to increasing the accessibility of tourist and cultural offerings for blind and partially sighted people. This will reduce their exclusion, making it possible for them to learn about monuments and their cultural values in a way that has been previously unavailable.
The first section provides an overview of the literature. The second section presents the methodological assumptions about the characteristics of the evaluated data and the description of the parks selected for evaluation. The next sections contain the results of the analysis, discussion, and conclusions.
2. Materials and Methods
2.1. Methods
The basis of the research methodology was the assumption that the existing sources of vector data should be used, as much as possible, to prepare highly generalised content of thematic tactile maps. This assumption resulted from the fact that the method of generalising the content of tactile maps, so that they can be read by touch, is time-consuming, and their production is very expensive. Therefore, the time needed to obtain all the data should be minimised, using available sources, including, in particular, those that are free of charge.
The content range of thematic tactile maps includes elements differentiated by features defined in two different ways:
- by determining the type of object, which is predominantly topographic (e.g., water, building, vegetation); its name can be different according to its nature, its colour, or its size (e.g., bodies of water may include rivers or streams; all these objects belong to a wider category defined as flowing waters; bodies of water may also include ponds, basins, and lakes; all these objects belong to a wider category defined as standing waters);
- by simultaneous designation of the type of object and its qualitative features, detailing the characteristics of a natural object (e.g., low/tall vegetation or classic/oriental building; where ‘vegetation’ or ‘building’ refers to the type of object, and ‘low/high vegetation’ or ‘historic/oriental building’ constitute the qualitative features of the object).
It was, therefore, accepted that the assessment of existing vector databases for the development of tactile maps content range should include:
- −
- identifying whether, in the databases, there were objects assigned to each category of map content elements;
- −
- identifying which objects of a particular type met the additional condition of relevant qualitative features.
In order to achieve the above, it was assumed that the assessment of database usefulness for the development of the content of the thematic tactile maps would include checking the accuracy, defined as the degree of how accurately the available data values describe actual data [], as well as the completeness of the database, defined as the degree to which the data instance contains all the information required to have a comprehensive representation of the described resources []. This required assessing both the model of the existing database itself, describing its structure, and assessing its content. To this end, the assessment process was divided into the following stages:
- I.
- Verification of the suitability of the database model, i.e.:
- 1.
- Checking whether there was a separate class of objects corresponding to the expected tactile maps content and/or corresponding to its qualitative features (feature class existence);
- 2.
- Checking whether there were any descriptive attributes that made it possible to identify the target object types and/or their qualitative features (attribute accuracy);
- 3.
- Checking whether there were any object names that allowed the identification of types and/or features of the target objects (attribute accuracy).
- II.
- Verification of the completeness of the data in the databases for the accepted test areas, i.e.:
- 4.
- Checking whether there were any target objects in the database, for each type;
- 5.
- Checking whether the geometric representation of the target object types corresponded to the target representation of the objects of the tactile maps.
In stages 1–3, the assessment was carried out with the use of a top-down approach, i.e., the existence of the class was checked first. If the class did not exist or the target object was additionally identified by a qualitative feature, then the attributes were checked. If the attributes did not provide a definite answer, then the names of objects were searched for. If, in the case of objects defined by their type and feature, there was a class of objects defining the type, then in the subsequent stage only a qualitative feature was searched for. The assessment process is presented in detail in Figure 1.
Figure 1.
The assessment procedure (own work).
The method was the same for the type of object and for the required qualitative features. To proceed to stages 4–5, i.e., to the assessment of the completeness of the databases, it was sufficient to have the object type.
For stages 1–3, the following assessment criteria were adopted:
- For stage 1, the score is:
- ○
- 0—when there is no class in the database that makes it possible to identify the objects of the target type;
- ○
- 1—when there is a class in the database model that makes it possible to identify the objects of the target type;
- For stages 2 and 3, the score is:
- ○
- 0—when there is no attribute in the database that makes it possible to identify the type or features of the object;
- ○
- 0.5—when there is no such attribute in the database, but there are other attributes that can be used to identify the type of features of the object;
- ○
- 1—when there is an attribute in the database model allowing identification of the type or features of the object.
Since the attributes and names make it possible to identify both the object type and feature, scoring is allocated separately to each of them. That is, the maximum score is 1 point in stages 2 and 3, for objects for which the type is determined, and the maximum score is 2 points, for objects for which the type and feature are determined.
For stages 4–5, the following assessment criteria were adopted:
- For stage 4, the score is:
- ○
- 0—when, in a given location, a geometric object does not exist in the database;
- ○
- 0.5—when there is geometry in the database that makes it possible to develop the geometry of the target object (e.g., there is an area that symbolises a given object, and the point is searched for);
- ○
- 1—when, in a given location in the database, there is a geometric object of a certain type, as the very fact of target object existence makes it possible to indicate its location, even if its geometry is not corresponding to the target object geometry on the tactile map;
- For stage 5, the score is:
- ○
- 0—when there is no geometry in the database to develop the geometry of the target object (e.g., there is a point to symbolise the object, and the area is searched for);
- ○
- 0.5—when there is geometry in the database to develop the geometry of the target object (e.g., there is an area that symbolises a given object, and the point is searched for);
- ○
- 1—when there is geometry in the database that is compatible with the geometry of the target object (e.g., there is an area that symbolises the object, and this area is searched for).
As some objects were assigned only one characteristic (type), and others were assigned two (type and feature), the maximum score obtained by the individual elements of content varied (1 or 2 points). Thus, the scores obtained from specific elements of the content of the tactile maps required normalisation in range <0,1>, on the basis of Equation (1). Elements of style that did not have a geometric representation (cartographic sign) were not evaluated.
where:
- ES—score for the individual element of the content of the tactile map;
- St—score based on the assigned type of the object;
- Sf—score based on the assigned feature of the object;
- nmax—maximum number of elements of the object.
The final assessment of the database was determined by the Data Usefulness Index, calculated from the number of points assigned to each characteristic object of the parks in five styles Equation (2)):
where:
- DUI—Data Usefulness Index;
- P—number of points for each object;
- n—number of categories;
- j—number of objects.
The index obtained values in the range <0,1>. A value of the index closer to 1 meant that the data were more useful for the development of tactile maps. The index was determined for each level of map detail and for each garden style separately.
2.2. Data and Study Area
The proposed method of assessing BDOT10k (Baza Danych Obiektów Topograficznych (the Topographic Objects Database)) and OSM (OpenStreetMap) data was tested for the development of tactile maps of historical parks in various styles. For parks in five styles, Baroque, Renaissance, Landscape/English, Romantic/Sentimental, and Oriental/Japanese, a range of tactile map content was proposed.
OSM data are stored in a PostgreSQL relational database, without spatial extensions, in the WGS84 coordinate system. Data from the OpenStreetMap database were extracted from the OSM Geofabrik service on 15 March 2022 []. They are distributed under the Open Data Commons Open Database License (ODbL) by the OpenStreetMap Foundation (OSMF). The OSM system is based on the idea of an open social network and uses wiki technology, which in practice means that anyone can add or edit any database object at any time [,]. BDOT10k is a vector database available from the Polish Central Office of Geodesy and Cartography. The content of the BDOT10k database corresponds, in general, to a traditional topographic map, at a scale of 1:10,000. The BDOT10k dataset is defined in the PUWG 1992, a rectangular coordinate system, based on the Gauss–Krüger mapping for the GRS80 ellipsoid in one 10-degree zone for Poland (EPSG: 2180) [,]. The layers, selected from the databases to assess their usability for the development of tactile maps, contained data on the networks of roads, rivers, utility infrastructure, land cover elements, and other objects typical for parks and gardens in different styles [].
The content of the above databases was compared with the content of tactile maps of parks in five styles. The content of tactile maps is divided into four main thematic groups: park layout (arrangement), vegetation, water bodies, and garden architecture and equipment. It was assumed that each park is mapped on the general map (level 1 of map details), showing the entire park composition. Parks in styles with a significant number of elements characterising the style (Baroque, Renaissance, Oriental/Japanese) should be additionally mapped on a detailed map (level 2 of map detail), showing a fragment of the garden with the greatest accumulation of the elements characteristic of a given style on a larger scale, as well as on the large-scale map (level 3 of map detail), showing, with details, a fragment of the garden that is unique for a given style. Parks with a large area but fewer of the style features (Landscape/English and Romantic/Sentimental) can only be mapped on two levels—the general map and the detailed map. The full content range of tactile maps was used for the research, i.e., covering three levels of detail. Designed for each tactile map (at each level of detail), the scope of content is presented in “Elementy treści map” (Elements of map content) [], constituting Attachement 2 to “Metoda doboru treści typflomap założeń parkowych” (The method of selecting the content of park typhlomaps) [], as well as in Table 1, Table 2 and Table 3 in the Results section (“Object” column).
Research was conducted for 10 historic parks. Each style had its own unique characteristics, including spatial features. All of them were located in Poland and included: the Baroque style with Wilanów Park in Warsaw and Branicki Park in Białystok; the Renaissance style with Książ Park and Zamoyski Park in Kozłówka; the Oriental/Japanese style with the Japanese Garden in Wrocław and Siruwia Japanese Garden in Przesieka; the Landscape/English style with Krasiczyn Park and Szczytnicki Park in Wrocław; the Romantic/Sentimental style with Arkadia Park and Czartoryski Park in Puławy (Figure 2).
Figure 2.
Location of garden parks in 5 styles: Renaissance, Baroque, Romantic/Sentimental, Landscape/English, and Oriental/Japanese.
3. Results
3.1. Evaluation of OSM and BDOT10k Data Usefulness for Three Levels of Map Detail
At the first and most general level, a total of 31 characteristic park objects and features were listed, forming the basis for the development of tactile maps. As many as 27 of them represented geometric objects. The assessment excluded the features that could not be presented by geometry, such as terraces or the main axis (Table 1). An example of BDOT10k and OSM data for Wilanow Park is presented in Figure 3.
Figure 3.
Databases for Wilanow Park: (a) BDOT10k; (b) OSM.
Table 1.
OSM and BDOT10k data assessment ratings—the first level of map detail. P, L, A—type of geometry (point, line, area).
Table 1.
OSM and BDOT10k data assessment ratings—the first level of map detail. P, L, A—type of geometry (point, line, area).
| 1 Feature Class | 2 Attributes | 3 Names | 4 Existence of Geometry | 5 Correctness of Geometry | |||||||
|---|---|---|---|---|---|---|---|---|---|---|---|
| Thematic Class | Object | BDOT10k (1) | OSM (1) | BDOT10k (2) | OSM (2) | BDOT10k (3) | OSM (3) | BDOT10k (4) | OSM (4) | BDOT10k (5) | OSM (5) |
| Arrangement | Integrity of the park and palace composition | - | - | - | - | - | - | - | - | - | - |
| Terraces | - | - | - | - | - | - | - | - | - | - | |
| Building—palace/castle (A) | 1 | 1 | 0.5 | 1 | 0.5 | 0.5 | 1 | 1 | 1 | 1 | |
| Type of alleys | 1 | 1 | 1 | 1 | 0 | 0 | 1 | 1 | 1 | 1 | |
| Main axis | - | - | - | - | - | - | - | - | - | - | |
| Viewing axes | - | - | - | - | - | - | - | - | - | - | |
| Arrangement of alleys | - | - | - | - | - | - | - | - | - | - | |
| Vegetation | Low (A) | 0 | 0 | 1 | 0.5 | 0 | 0 | 0.5 | 0.5 | 1 | 1 |
| Medium formed (A) | 0 | 0 | 0.5 | 0 | 0 | 0 | 0.5 | 0 | 0.5 | 0 | |
| Viridage (P) | 0 | 0 | 0 | 0 | 0 | 0 | 0 | 0 | 0 | 0 | |
| Single tree (P) | 0 | 0 | 1 | 1 | 0 | 0 | 0.5 | 0.5 | 1 | 1 | |
| Cluster of trees (A) | 0 | 0 | 1 | 0.5 | 0 | 0 | 0.5 | 0.5 | 1 | 1 | |
| High (A) | 0 | 0 | 1 | 1 | 0 | 0 | 0.5 | 0.5 | 1 | 1 | |
| Water bodies | Surface (A) | 0 | 1 | 1 | 1 | 0.5 | 0.5 | 1 | 1 | 1 | 1 |
| Source (P) | 0 | 0 | 1 | 0 | 0 | 0 | 0.5 | 0 | 1 | 0 | |
| Fountain (P) | 0 | 0 | 1 | 1 | 0 | 0.5 | 0.5 | 0.5 | 1 | 1 | |
| Stream (L) | 1 | 1 | 1 | 1 | 1 | 1 | 0.5 | 1 | 1 | 1 | |
| Garden architecture and equipment | Single building (P) | 1 | 1 | 1 | 1 | 0.5 | 0.5 | 1 | 1 | 1 | 1 |
| Antique building (P) | 1 | 1 | 0.5 | 0.5 | 0.5 | 0.5 | 1 | 1 | 1 | 1 | |
| Oriental building (P) | 1 | 1 | 0.5 | 0.5 | 0.5 | 0.5 | 1 | 1 | 1 | 1 | |
| Ruin, grotto, tomb (P) | 0 | 0 | 1 | 1 | 0 | 0 | 0.5 | 0.5 | 1 | 1 | |
| Bower, stage, step, bench (P) | 0 | 0 | 0.5 | 0.5 | 0 | 0 | 0.5 | 0.5 | 1 | 1 | |
| Stairs (P) | 0 | 0 | 1 | 1 | 0 | 0 | 0.5 | 0.5 | 1 | 1 | |
| Wall (L) | 0 | 0 | 1 | 1 | 0 | 0 | 0.5 | 0.5 | 1 | 1 | |
| Pergola, trellis, lattice, bindage (P) | 0 | 0 | 0 | 0 | 0 | 0 | 0 | 0 | 0 | 0 | |
| Stone lantern (P) | 0 | 0 | 0 | 0 | 0 | 0 | 0.5 | 0.5 | 1 | 1 | |
| Gate—torii (P) | 0 | 0 | 0 | 0 | 0 | 1 | 0 | 0.5 | 0 | 1 | |
| Tea house (P) | 0 | 0 | 0 | 0 | 0 | 1 | 1 | 1 | 1 | 1 | |
| Karesansui—dry garden (P) | 0 | 0 | 0 | 0 | 0 | 0 | 0 | 0 | 0 | 0 | |
| Hill (P) | 0 | 0 | 0 | 1 | 0 | 0 | 0 | 0.5 | 0 | 1 | |
| Old element (P) | 0 | 0 | 0 | 0 | 0 | 0 | 0 | 0 | 0 | 0 | |
| Stones (P—including the triad) | 0 | 0 | 1 | 0 | 0 | 0 | 0.5 | 0 | 1 | 0 | |
| Sum of points | 6 | 7 | 16.5 | 14.5 | 3.5 | 6 | 19 | 16 | 19 | 19.5 | |
| Percentage of points | 22.2 | 25.9 | 61.1 | 53.7 | 13.0 | 22.2 | 70.4 | 59.3 | 70.4 | 72.2 | |
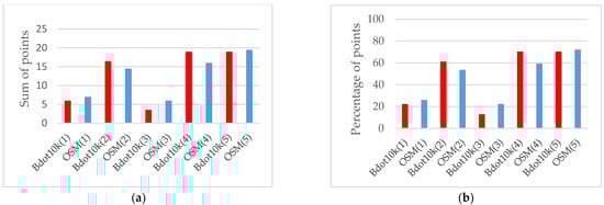
For six BDOT10k objects and seven OSM objects, separate layers were created. They, respectively, represented 22% and almost 26% of all objects (Table 1). Over 53% of OSM objects and 61% of the BDOT10k objects had descriptive attributes that made it possible to identify the target object types or/and their qualitative features. Names were only available for four objects in BDOT10k and six objects in OSM (Figure 4a).
Figure 4.
Usefulness of BDOT10k and OSM data—the first level of map detail: (a) sum of points; (b) percentage of points.
In the category of geometry existence, the BDOT10k database was considered better– with 70% of objects with geometric data (Figure 4b). The best assessment of BDOT10k and OSM data suitability for the development of tactile maps was obtained in the fifth category—geometry correctness, with 70% of BDOT10k data and more than 72% of OSM consistent with the geometry needed for tactile maps.
The assessment of BDOT10k and OSM data for the development of tactile maps showed that, although OSM obtained better results than BDOT10k in three of five database categories, the scores in individual categories were similar (Table 3). The total DUI (Data Usefulness Index) value of the BDOT10k data was 0.49, while the DUI value for OSM was 0.48.
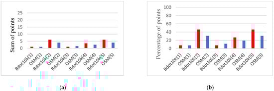
The second level of detail of tactile maps was characterised by an increase in the number of objects determining the style of the park. For all park styles, the number of objects on the maps was 39. The largest increases were noted in the vegetation class and garden architecture and equipment (Table 2). For four categories, the data assessment of BDOT10k and OSM decreased. Only for seven BDOT10k objects and eight OSM objects was the existence of a separate layer observed, mainly concerning buildings and paths. For 59% of BDOT10k objects and almost 50% of OSM objects, the existence of descriptive attributes useful for the development of tactile maps was observed. Similar to the first level of detail, the number of OSM objects with names was higher than in the case of BDOT10k, with 16% for the former and more than 10% for the latter (Figure 5).
Figure 5.
Usefulness of BDOT10k and OSM data—the second level of map detail: (a) sum of points; (b) percentage of points.
Table 2.
OSM and BDOT10k assessment ratings—the second level of map detail. P, L, A—type of geometry (point, line, area).
Table 2.
OSM and BDOT10k assessment ratings—the second level of map detail. P, L, A—type of geometry (point, line, area).
| 1 Feature Class | 2 Attributes | 3 Names | 4 Existence of Geometry | 5 Correctness of Geometry | |||||||
|---|---|---|---|---|---|---|---|---|---|---|---|
| Thematic Class | Object | BDOT10k (1) | OSM (1) | BDOT10k (2) | OSM (2) | BDOT10k (3) | OSM (3) | BDOT10k (4) | OSM (4) | BDOT10k (5) | OSM (5) |
| Arrangement | Integrity of the park and palace composition | - | - | - | - | - | - | - | - | - | - |
| Terraces | - | - | - | - | - | - | - | - | - | - | |
| Building—palace/castle (A) | 1 | 1 | 0.5 | 1 | 0.5 | 0.5 | 1 | 1 | 1 | 1 | |
| Type of alleys | 1 | 1 | 1 | 1 | 0 | 0 | 1 | 1 | 1 | 1 | |
| Main axis | - | - | - | - | - | - | - | - | - | - | |
| Viewing axes | - | - | - | - | - | - | - | - | - | - | |
| Arrangement of alleys | - | - | - | - | - | - | - | - | - | - | |
| Stone paths | 1 | 1 | 0.5 | 0.5 | 0 | 0 | 1 | 1 | 1 | 1 | |
| Vegetation | Garden parterre (A) | 0 | 0 | 1 | 0.5 | 0 | 0 | 0.5 | 0.5 | 1 | 1 |
| Lawn (A) | 0 | 0 | 1 | 0 | 0 | 0 | 1 | 1 | 1 | 1 | |
| Flower meadow (A) | 0 | 0 | 0 | 1 | 0 | 0 | 1 | 1 | 1 | 1 | |
| Row of shrubs (L) | 0 | 0 | 1 | 0 | 0 | 0 | 0.5 | 0 | 1 | 0 | |
| Formed medium (A) | 0 | 0 | 0 | 0 | 0 | 0 | 0 | 0 | 0 | 0 | |
| Viridage (A) | 0 | 0 | 0 | 0 | 0 | 0 | 0 | 0 | 0 | 0 | |
| Single tree (P) | 0 | 0 | 1 | 1 | 0 | 0 | 0.5 | 0.5 | 1 | 1 | |
| Single formed tree (P) | 0 | 0 | 0.5 | 0.5 | 0 | 0 | 0 | 0 | 0 | 0 | |
| Single formed shrub (P) | 0 | 0 | 0 | 0 | 0 | 0 | 0 | 0 | 0 | 0 | |
| Row of trees (L) | 0 | 0 | 1 | 0 | 0 | 0 | 0.5 | 0 | 1 | 0 | |
| Cluster of trees (A) | 0 | 0 | 1 | 0.5 | 0 | 0 | 0.5 | 0.5 | 0 | 1 | |
| High (A) | 0 | 0 | 1 | 1 | 0 | 0 | 0.5 | 0.5 | 1 | 1 | |
| Water bodies | Surface (A) | 0 | 1 | 1 | 1 | 0.5 | 0.5 | 1 | 1 | 1 | 1 |
| Source (P) | 0 | 0 | 1 | 0 | 0 | 0 | 0.5 | 0 | 1 | 0 | |
| Fountain (P) | 0 | 0 | 1 | 1 | 0 | 0.5 | 0.5 | 0.5 | 1 | 1 | |
| Stream (L) | 1 | 1 | 1 | 1 | 1 | 1 | 0.5 | 1 | 1 | 1 | |
| Bridge (P) | 0 | 0 | 1 | 1 | 0 | 0 | 0.5 | 0.5 | 0.5 | 0.5 | |
| Waterfall (P) | 0 | 0 | 1 | 1 | 0.5 | 0.5 | 0.5 | 0.5 | 1 | 1 | |
| Garden architecture and equipment | Single building (A) | 1 | 1 | 1 | 1 | 0.5 | 0.5 | 1 | 1 | 1 | 1 |
| Antique building (A) | 1 | 1 | 0.5 | 0.5 | 0.5 | 0.5 | 1 | 1 | 1 | 1 | |
| Antique element (P—column, sphinx) | 0 | 0 | 0 | 0 | 0 | 0 | 0 | 0 | 0 | 0 | |
| Oriental building (A) | 1 | 1 | 0.5 | 0.5 | 0.5 | 0.5 | 1 | 1 | 1 | 1 | |
| Ruin, grotto, tomb (P) | 0 | 0 | 1 | 1 | 0 | 0 | 0.5 | 0.5 | 1 | 1 | |
| Bower, stage, step, bench (P) | 0 | 0 | 0.5 | 0.5 | 0 | 0 | 0.5 | 0.5 | 1 | 1 | |
| Sculpture (P—sculpture, statue, obelisk, vase) | 0 | 0 | 1 | 1 | 0 | 0 | 0.5 | 0.5 | 1 | 1 | |
| Stairs (P) | 0 | 0 | 1 | 1 | 0 | 0 | 0.5 | 0.5 | 1 | 0.5 | |
| Wall (L) | 0 | 0 | 1 | 1 | 0 | 0 | 0.5 | 0.5 | 1 | 1 | |
| Bucket plant (P—urn, pot, crate, bucket, jardiniere) | 0 | 0 | 0 | 0 | 0 | 0 | 0 | 0 | 0 | 0 | |
| Pergola, trellis, lattice, bindage (P) | 0 | 0 | 0 | 0 | 0 | 0 | 0 | 0 | 0 | 0 | |
| Stone lantern (P) | 0 | 0 | 0 | 0 | 0 | 0 | 0.5 | 0.5 | 1 | 1 | |
| Gate—torii (P) | 0 | 0 | 0 | 0 | 0 | 1 | 0 | 0.5 | 0 | 1 | |
| Tea house (P) | 0 | 0 | 0 | 0 | 0 | 1 | 1 | 1 | 1 | 1 | |
| Karesansui—dry garden (P) | 0 | 0 | 0 | 0 | 0 | 0 | 0 | 0 | 0 | 0 | |
| Hill (P) | 0 | 0 | 0 | 1 | 0 | 0 | 0 | 0.5 | 0 | 1 | |
| Old element (P) | 0 | 0 | 0 | 0 | 0 | 0 | 0 | 0 | 0 | 0 | |
| Stones (P—including the triad) | 0 | 0 | 1 | 0 | 0 | 0 | 0.5 | 0 | 1 | 0 | |
| Sum of points | 7 | 8 | 23 | 19,5 | 4 | 6,5 | 19 | 18.5 | 26.5 | 25 | |
| Percentage of points | 17.9 | 20.5 | 59.0 | 50.0 | 10.3 | 16.7 | 48.7 | 47.4 | 67.9 | 64.1 | |
Table 3.
OSM and BDOT10k assessment ratings—the third level of map detail. P, L, A—type of geometry (point, line, area).
Table 3.
OSM and BDOT10k assessment ratings—the third level of map detail. P, L, A—type of geometry (point, line, area).
| 1 Feature Class | 2 Attributes | 3 Names | 4 Existence of Geometry | 5 Correctness of Geometry | |||||||
|---|---|---|---|---|---|---|---|---|---|---|---|
| Thematic Class | Object | BDOT10k (1) | OSM (1) | BDOT10k (2) | OSM (2) | BDOT10k (3) | OSM (3) | BDOT10k (4) | OSM (4) | BDOT10k (5) | OSM (5) |
| Arrangement | Type of alleys | 1 | 1 | 1 | 1 | 1 | 1 | 1 | 1 | 1 | 1 |
| Vegetation | Low shrubs/hedges | 0 | 0 | 1 | 0 | 0 | 0 | 0.5 | 0 | 1 | 0 |
| (L) | |||||||||||
| Flowers (A) | 0 | 0 | 1 | 1 | 0 | 0 | 0.5 | 0.5 | 1 | 1 | |
| Row of flowers (L) | 0 | 0 | 0 | 0 | 0 | 0 | 0 | 0 | 0 | 0 | |
| Lawn (A) | 0 | 0 | 0 | 0 | 0 | 0 | 0 | 0 | 0 | 0 | |
| Formed medium (A) | 0 | 0 | 0 | 0 | 0 | 0 | 0 | 0 | 0 | 0 | |
| Herbs (A) | 0 | 0 | 0 | 0 | 0 | 0 | 0 | 0 | 0 | 0 | |
| Formed single shrub (P) | 0 | 0 | 0 | 0 | 0 | 0 | 0 | 0 | 0 | 0 | |
| Water bodies | Fountain (P) | 0 | 0 | 1 | 1 | 0 | 0 | 0.5 | 0.5 | 1 | 1 |
| Garden architecture and equipment | Sculpture (P—sculpture, statue, obelisk, vase) | 0 | 0 | 1 | 1 | 0 | 0 | 0.5 | 0.5 | 1 | 1 |
| Stones (P—including the triad) | 0 | 0 | 1 | 0 | 0 | 0 | 0.5 | 0 | 1 | 0 | |
| Sand (A) | 0 | 0 | 0 | 0 | 0 | 0 | 0 | 0 | 0 | 0 | |
| Gravel (A) | 0 | 0 | 0 | 0 | 0 | 0 | 0 | 0 | 0 | 0 | |
| Sum of points | 1 | 1 | 6 | 4 | 1 | 1.5 | 3.5 | 2.5 | 6 | 4 | |
| Percentage of points | 7.7 | 7.7 | 46.2 | 30.8 | 7.7 | 11.5 | 26.9 | 19.2 | 46.2 | 30.8 | |
For the second level of detail, a significant decline was observed in the category of geometry existence. For OSM, it was over 47%, while for BDOT10k, it was over 48%. This is due to the appearance of new objects, which are characteristic of a park but not present in the databases, such as antique elements or plant containers (urn, pot, crate, bucket, jardinière). At this level of detail, BDOT10k was considered to be better in three of the five categories. The total DUI of BDOT10k and OSM was lower than for the first level of map detail: 0.40 for BDOT10k and 0.39 for OSM.
The third level of detail concerned 13 objects necessary for the development of tactile maps (Table 3). The number of water bodies and garden architecture objects and equipment decreased significantly. Only for one object was there a separate layer in the OSM and BDOT10k databases. The descriptive attributes in both cases constituted 46% and 30%, respectively. The assessment in the category of geometry existence decreased. Only for 26% of BDOT10k objects and 19% of OSM objects did suitable geometry exist (Figure 6b). The BDOT10k data were considered to be better for three categories, but, generally, the assessment of both databases was similar. The total DUI was 0.27 for the BDOT10k database and 0.20 for the OSM database.
Figure 6.
Usefulness of BDOT10k and OSM data—the third level of map detail: (a) sum of points; (b) percentage of points.
3.2. BDOT10k and OSM Database Assessment for Park Styles
The BDOT10k and OSM database assessment, broken down by objects belonging to each of the five park styles, showed clear differences in their usefulness. For the Baroque style (Figure 7a–c), 8 objects were selected for the first level of map detail, 14 for the second, and 7 for the third. The characteristic features of this style included, amongst others: garden parterre, lawn, row of shrubs, single tree, and row of trees. The group of water bodies included standing water and a fountain. The group of architecture and park equipment was comprised of sculpture, steps, wall, bucket plant, pergola, trellis, lattice, and bindage, amongst others. For the first level of map detail, the best results were obtained for categories 2, 4, and 5, with 83%, 61%, and 88%, respectively, for BDOT10k, and 83%, 61%, and 83%, respectively, for OSM (Figure 7a). Categories 2, 4, and 5 concerned the occurrence of descriptive attributes of data and the existence and correctness of geometry. Similarly, for the second level of detail, the results for these categories were 73%, 52%, and 82%, respectively, for BDOT10k, and 55%, 47%, and 67%, respectively, for OSM (Figure 7b). The lowest scores were obtained for the third level of map detail (Figure 7c). Only in category 2 (attributes) and 5 (correctness of geometry) were the results above 50% for BDOT10k, with 57.1%, while OSM received a rating of 42.9%.
Figure 7.
Percentage of points for Baroque-style park in 5 categories: (a) level 1; (b) level 2; (c) level 3. Percentage of points for Renaissance-style park in 5 categories: (d) level 1; (e) level 2; (f) level 3.
The characteristic features of the Renaissance style (Figure 7d–f) include, amongst others: garden parterre, medium vegetation, herbs, viridage, fountains, stairs, and walls. At the first level of map detail, there were six objects, with the same number at the second level and seven at the third. The assessment of BDOT10k and OSM data usefulness for the development of Baroque-style park maps showed that at the first level in the categories of 2, 4 and 5, the BDOT10k database scored 71%, 51%, and 71%, respectively, while OSM scored 71%, 50%, and 64%, respectively (Figure 7d). Again, the lowest scores were assigned for the third level of detail, which were below 50% for BDOT10k and OSM (Figure 7f).
For the Landscape/English (Figure 8a,b) and Romantic/Sentimental (Figure 8c,d) styles, only two levels of map detail were designed. At the first level of detail for the Landscape/English park, there were eight characteristic objects, with nine at the second level. These were mainly: lawn, flower meadow, tree cluster, standing water, stream, bower, stage, steps, and bench. At the first level of map detail, BDOT10k database attributes were available for 88% of objects, geometry for 72%, and, for all objects, the geometry was 100% correct. For the OSM database, the results were similar, with attributes available for 88% of objects, geometry for 77%, and geometry correctness for 100% (Figure 8a). At the second level of map detail, the best results were obtained in categories 4 and 5. For 68% of objects, according to BDOT10k, and 77% of objects, according to OSM, geometry was available, and, for 77% of objects, according to BDOT10k, and 68% of objects, according to OSM, the geometry was correct (Figure 8b).
Figure 8.
Percentage of points for Landscape/English-style park: (a) level 1; (b) level 2. Percentage of points for Romantic/Sentimental-style park: (c) level 1; (d) level 2.
The highest results of data assessment were obtained for the Sentimental park style, also defined as Romantic, both at the first level of map detail (Figure 8c) and at the second one (Figure 8d). The Romantic/Sentimental style was characterised by 12 objects at the first level and 14 objects at the second, with tall vegetation, an antique building, antique element (column, sphinx), oriental building, ruin, grotto, tomb, sculpture, wall, and steps. The assessment of the BDOT10k and OSM data showed that, at the first level in categories 1, 2, 4, and 5, the BDOT10k database received the ratings of 66%, 83%, 83%, and 100%, respectively, while OSM received the ratings of 66%, 83%, 83%, and 100%, respectively (Figure 8c). At the second level, the results were slightly lower, but they were still above 50% in three categories (Figure 8d).
The Oriental/Japanese park style (Figure 9) is characterised by several typical objects, such as a formed tree, formed shrub, stream, bridge, waterfall, stone lantern, Torii gate, tea house, Karesansui—dry park, hill, an old element, or stones (including the Triad). For this style, a map should cover three levels of detail, with the numbers of objects at each level being 11, 16, and 3.
Figure 9.
Percentage of points for Oriental/Japanese-style park: (a) level 1; (b) level 2; (c) level 3.
For the first level of detail, the best results were obtained for correctness of geometry, with the BDOT10k and OSM databases receiving ratings of 58% (Figure 9a). The other categories obtained scores below 50%. For existence of geometry, both databases were rated at 45%. For the second level of detail, only for correctness of geometry were both databases rated similarly, i.e., BDOT10k at 55% and OSM at 50% (Figure 9b). The databases were rated the lowest in the first category: BDOT10k had a separate feature class for 11% of objects and OSM for 23%. The lowest scores were obtained for the third level of detail (Figure 9c). The OSM database received 0% in all categories (it did not contain any data for the selected objects), while BDOT10k scored 33%, 16%, and 33% in categories 2, 4, and 5, respectively, with 0% in other categories (Figure 9c).
The DUI ratings of BDOT10k and OSM databases were the highest for the Romantic/Sentimental park style, at both the first and second levels of map detail. For the Landscape/English park, the score was lower, and the usefulness of the databases for the Oriental/Japanese park was rated the lowest. As the level of detail increased, the usefulness decreased (Table 4). It is worth noting that both databases showed similar usefulness, differing from each other to a small extent.
Table 4.
DUI values for individual park styles, for three levels of map detail.
Table 4.
DUI values for individual park styles, for three levels of map detail.
| Park Style | Level 1 | Level 2 | Level 3 | |||
|---|---|---|---|---|---|---|
| Bdot10k | OSM | Bdot10k | OSM | Bdot10k | OSM | |
| Baroque | 0.53 | 0.55 | 0.45 | 0.39 | 0.28 | 0.22 |
| Renaissance | 0.47 | 0.45 | 0.45 | 0.45 | 0.21 | 0.15 |
| Landscape/English | 0.66 | 0.50 | 0.49 | 0.55 | - | - |
| Romantic/Sentimental | 0.75 | 0.80 | 0.51 | 0.58 | - | - |
| Oriental/Japanese | 0.35 | 0.38 | 0.32 | 0.36 | 0.16 | 0.00 |
4. Discussion
The development of tactile maps is slightly different from the methodology of developing traditional thematic maps. In the process of developing maps of parks in different styles, the data are subject to significant generalisation. An additional difficulty in the present research resulted from the fact that park maps were to be developed for different levels of detail. This required developing an original and coherent set of cartographic characters. Each park style has individual characteristics to be shown on the map []. Therefore, a hierarchical division had to be used to maintain coherence between the content ranges used to develop general maps (the first level) and detailed ones (the second level). Semantic coherence between content elements in different park styles was also necessary.
The subject literature mainly presents satellite data used for the development of traditional thematic maps. Unfortunately, there is a gap in the literature when it comes to assessing the usefulness of data for the development of tactile maps. The methodology presented in the article is universal; it can be used for tactile maps on various topics. The Data Usefulness Index can be used even when the number of categories in the assessment of data usability has been changed.
An additional stage in the process of data evaluation was selecting layers for the analysis. Since one element could occur on several layers, it was necessary to conduct an in-depth preliminary analysis of all layers and descriptive attributes. The results of such in-depth analyses are included in the literature, discussing the thematic layers of BDOT and OSM databases and their attributes, which can be used in the development of tactile maps of parks []. However, tall vegetation, for example, characteristic of the Landscape/English style, is marked on several layers in the BDOT10k database: PT—land cover, attribute PTLZ—forest, wooded area with PTLZ01—forest, PTLZ02—grove, and PTLZ03—trees. In turn, in the OSM database, tall vegetation is on the following layers: Gis_osm_landuse (attribute: Fclass—Forest) or Gis_osm_natural (attribute: Fclass—Wood).
Analysis showed that both databases—OSM and BDOT10k—can be equally useful in developing tactile maps of historic parks, which provides an answer to the first research question. Results show that usefulness of the databases is very similar. The level of usefulness varies slightly, depending on the level of detail of the maps or park styles. When analysing the map detail levels, a slight advantage for BDOT10k can be noticed, especially with the data on the first and the second levels of map detail. This is confirmed by DUI taking almost the same values for BDOT10k and OSM (0.49:0.48 at the first level and 0.40:0.38 at the second level). The advantage of BDOT10k is somewhat more pronounced at the third map level, when DUI is 0.27:0.20 in favour of BDOT10k. A similarly slight advantage of BDOT10k can be noticed when analysing data for park styles. The obtained values also give us an answer to the second research question. On the basis of the above data, it can be estimated that analysed databases can be useful to obtain up to 50% of the items the first and second levels and no more than about 25% of elements on the third level of map detail.
The slight advantage of BDOT does not mean, however, that it is better in all aspects. It is worth noting that it is often the case that when one of the databases is poorer in data, the other one has more available. This suggests that the best solution is to use both of these sources when developing park maps. As an example, the OSM has many more proper names of objects, which make it possible to identify unique objects characterising park styles.
The obtained results also bring the important suggestion for the tactile maps development process. It clearly shows that the most specific and the most unique elements, which are characteristic for the Baroque, Renaissance, and Oriental/Japanese styles, have to be collected from other sources. The results showed that the thematic scope of the abovementioned resources does not include all the qualitative features of the content elements presented on park tactile maps. Nor does it contain the precise location of some of the content elements necessary to present the features of various garden styles on a low-scale map (e.g., location of a waterfall, Torii gate, dry garden) or on a large-scale map (composition of a dry garden, garden parterre). A literature analysis has revealed that there are no satisfactory uniform sources of cartographic data covering the qualitative characteristics of content elements of different garden styles. Therefore, when developing the content of tactile maps of parks, it is necessary to use high-resolution orthophotomaps, to obtain both the location of content elements and their qualitative features and to update all data. Finally, the best way to collect quality features, especially for the less-known areas, may be obtaining this data in person in the field.
Gardens in different styles have their own distinctive features. The results show that BDOT10k and OSM data are of the highest usefulness for developing maps of Landscape/English and Romantic/Sentimental parks. This provides an answer to the third research question. This is due to a certain specificity of the characteristic elements of each style. Landscape/English and Romantic/Sentimental are more natural parks; therefore, typical topographic elements are suitable to define these styles. Moreover, these parks have fewer elements characterising style, so basic database elements are enough to fulfil map content. This also confirms that these parks can be presented only at two levels of map details. The other parks, i.e., Oriental/Japanese, Baroque, and Renaissance, have a greater number of unique elements that are very specific for the given style; therefore, they are difficult to find in the databases. For example, the Oriental/Japanese park has such elements as a tea house, a stone lantern, a Torii gate, or a Karesansui—a dry garden. These are not typical topographic elements; hence, they are absent in the OSM database and even more so in the BDOT10k database.
5. Conclusions
Appropriate data selection makes it possible to develop a clear map, but a special approach is required for the development of tactile maps. Assessing the usefulness of data for the development of these maps is, therefore, an important initial stage of the geovisualisation process. The research has confirmed the moderate usefulness of BDOT10k and OSM open data to develop such maps. However, these data should be supplemented with information obtained from other sources, including orthophotomaps, photogrammetric photos, or field measurements.
The assessment of the data depends, amongst other things, on the subject of the map. The selection of different elements of map content, depending on the level of detail, demonstrated how extremely important the first stage of map development is. The content of a map is determined at different levels of detail. To assess databases, the universal Data Usage Index was used. Its values ranged from 0.5 at the first level of detail to 0.2 at the third. The index can be used for any number of features and any number of levels of detail.
Author Contributions
Conceptualisation, B.C. and A.M.; methodology, A.M. and B.C.; formal analysis, B.C.; writing—original draft preparation, B.C.; writing—review and editing, A.M.; supervision, A.M. All authors have read and agreed to the published version of the manuscript.
Funding
This research and publication process was funded within the research project No. Rzeczy są dla ludzi/0005/2020-00, titled “Technology for the development of tactile maps of historic parks”, financed by the National Centre for Research and Development, for the years 2021–2024, and realised at the Military University of Technology, Faculty of Civil Engineering, and Geodesy.
Institutional Review Board Statement
Not applicable.
Informed Consent Statement
Not applicable.
Data Availability Statement
Not applicable.
Conflicts of Interest
The authors declare no conflict of interest.
References
- Kraak, M.J.; Ormeling, F. Cartography: Visualization of Spatial Data; Addison-Wesley: Boston, MA, USA, 1996; ISBN 978-0-582-25953-9. [Google Scholar]
- Li, Q. Overview of Data Visualization. In Embodying Data; Springer: Singapore, 2020; pp. 17–47. [Google Scholar] [CrossRef]
- MacEachren, A.M.; Kraak, M.-J. Research Challenges in Geovisualization. Cartogr. Geogr. Inf. Sci. 2001, 28, 3–12. [Google Scholar] [CrossRef]
- Slocum, T.A.; McMaster, R.M.; Kessler, F.C.; Howard, H.H.; Mc Master, R.B. Thematic Cartography and Geographic Visualization; Prentice Hall: Upper Saddle River, NJ, USA, 2008. [Google Scholar]
- Dent, B.D.; Torguson, J.; Hodler, T.W. Cartography: Thematic Map Design; William C Brown Pub: Dubuque, IA, USA, 2009; ISBN 978-0-07294-382-5. [Google Scholar]
- Kraak, M.-J. The Cartographic Visualization Process: From Presentation to Exploration. Cartogr. J. 1998, 35, 11–15. [Google Scholar] [CrossRef]
- Medynska-Gulij, B. Kartografia i Geowizualizacja; Wydawnictwo Naukowe PWN: Warszawa, Poland, 2011; ISBN 9788301167165. [Google Scholar]
- Andruszkiewicz, A.; Korycka-Skorupa, J. The Cartographic Visualisation of Spatial Data. An Example of Nature Protection Areas in the Podlaskie Voivodship (North-Eastern Poland). Pol. Cartogr. Rev. 2020, 52, 108–123. [Google Scholar] [CrossRef]
- Maceachren, A.M. Chapter 1—Visualization in Modern Cartography: Setting the Agenda. In Visualization in Modern Cartography; Maceachren, A.M., Taylor, D.R.F., Eds.; Modern Cartography Series; Academic Press: Cambridge, MA, USA, 1994; Volume 2, pp. 1–12. [Google Scholar]
- Steiniger, S. Enabling Pattern-Aware Automated Map Generalization. Ph.D. Thesis, Universitat Zürich, Zürich, Switzerland, 2007. [Google Scholar]
- Słomska-Przech, K.; Gołębiowska, I.M. Do Different Map Types Support Map Reading Equally? Comparing Choropleth, Graduated Symbols, and Isoline Maps for Map Use Tasks. ISPRS Int. J. Geo-Inf. 2021, 10, 69. [Google Scholar] [CrossRef]
- Al-Samarraie, H.; Eldenfria, A.; Price, M.; Zaqout, F.; Fauzy, W. Effects of Map Design Characteristics on Users’ Search Performance and Cognitive Load: An Empirical Study. Electron. Libr. 2019, 37, 667–679. [Google Scholar] [CrossRef]
- Jaya, I.; Sidi, F.; Ishak, I.; Affendey, L.; Jabar, M.A. A Review of Data Quality Research in Achieving High Data Quality within Organization. J. Theor. Appl. Inf. Technol. 2017, 95, 2647–2657. [Google Scholar] [CrossRef]
- Cai, L.; Zhu, Y. The Challenges of Data Quality and Data Quality Assessment in the Big Data Era. Data Sci. J. 2015, 14, 2. [Google Scholar] [CrossRef]
- Hassenstein, M.; Vanella, P. Data Quality—Concepts and Problems. Encyclopedia 2022, 2, 498–510. [Google Scholar] [CrossRef]
- Goodchild, M.F. Geographical Information Science. Int. J. Geogr. Inf. Syst. 1992, 6, 31–45. [Google Scholar] [CrossRef]
- Delavar, M.; Devillers, R. Spatial Data Quality: From Process to Decisions. Trans. GIS 2010, 14, 379–386. [Google Scholar] [CrossRef]
- Sun, M.; Wong, D. Incorporating Data Quality Information in Mapping American Community Survey Data. Cartogr. Geogr. Inf. Sci. 2013, 37, 285–299. [Google Scholar] [CrossRef]
- Suba, N.-S.; Suba, Ş. Mapping Data—Quality, Quantity Or Both? J. Appl. Eng. Sci. 2015, 5, 101–108. [Google Scholar] [CrossRef]
- ISO 19101-1:2002. Geographic Information (Revised by ISO 19101:2014 2014). ISO: Geneva, Switzerland, 2002.
- ISO 19157:2013. Geographic Information—Data Quali 2013. ISO: Geneva, Switzerland, 2013.
- ISO/TS 19158:2012. Geographic Information—Quality as Assurance of Data 2012. ISO: Geneva, Switzerland, 2012.
- ISO 9000:2015. Quality Management Systems—Fundamentals and Vocabulary (Revised by ISO 9000:2015 2015). ISO: Geneva, Switzerland, 2015.
- Bielecka, E.; Burek, E. Spatial Data Quality and Uncertainty Publication Patterns and Trends by Bibliometric Analysis. Open Geosci. 2019, 11, 219–235. [Google Scholar] [CrossRef]
- Da Costa, J.N.; Bielecka, E.; Calka, B. Jakość Danych OpenStreetMap–Analiza Informacji o Budynkach Na Terenie Siedlecczyzny. Rocz. Geomatyki-Ann. Geomat. 2016, 14, 201–211. [Google Scholar]
- Lewandowska, A.; Joachimiak-Lechman, K.; Kurczewski, P. A Dataset Quality Assessment—An Insight and Discussion on Selected Elements of Environmental Footprints Methodology. Energies 2021, 14, 5004. [Google Scholar] [CrossRef]
- Weidema, B.P.; Wesnæs, M.S. Data Quality Management for Life Cycle Inventories—An Example of Using Data Quality Indicators. J. Clean. Prod. 1996, 4, 167–174. [Google Scholar] [CrossRef]
- Wabiński, J.; Mościcka, A.; Kuźma, M. The Information Value of Tactile Maps: A Comparison of Maps Printed with the Use of Different Techniques. Cartogr. J. 2021, 58, 123–134. [Google Scholar] [CrossRef]
- Ungar, S.; Blades, M.; Spencer, C. Strategies for Knowledge Acquisition from Cartographic Maps by Blind and Visually Impaired Adults. Cartogr. J. 1997, 34, 93–110. [Google Scholar] [CrossRef]
- Ungar, S.; Bayal, A.E.; Blades, M.; Ochaita, E.; Spencer, C. Use of Tactile Maps by Blind and Visually Impaired People. Cartogr. Perspect. 1997, 28, 4–12. [Google Scholar] [CrossRef]
- Wabiński, J.; Śmiechowska-Petrovskij, E.; Mościcka, A. Applying Height Differentiation of Tactile Symbols to Reduce the Minimum Horizontal Distances between Them on Tactile Maps. PLoS ONE 2022, 17, e0264564. [Google Scholar] [CrossRef]
- Lobben, A.; Lawrence, M. The Use of Environmental Features on Tactile Maps by Navigators Who Are Blind. Prof. Geogr. 2012, 64, 95–108. [Google Scholar] [CrossRef]
- Wabiński, J.; Mościcka, A. Automatic (Tactile) Map Generation—A Systematic Literature Review. ISPRS Int. J. Geo-Inf. 2019, 8, 293. [Google Scholar] [CrossRef]
- Touya, G.; Christophe, S.; Favreau, J.-M.; Ben Rhaiem, A. Automatic Derivation of On-Demand Tactile Maps for Visually Impaired People: First Experiments and Research Agenda. Int. J. Cartogr. 2019, 5, 67–91. [Google Scholar] [CrossRef]
- Štampach, R.; Mulíčková, E. Automated Generation of Tactile Maps. J. Maps 2016, 12, 532–540. [Google Scholar] [CrossRef]
- Majdecki, L. Historia Ogrodów. T. 1, Od Starożytności Po Barok; Wydawnictwo Naukowe PWN: Warszawa, Poland, 2010. [Google Scholar]
- Ciołek, G. Ogrody Polskie; Arkady: Warszawa, Poland, 1978. [Google Scholar]
- Neumaier, S.; Umbrich, J.; Polleres, A. Automated Quality Assessment of Metadata across Open Data Portals. J. Data Inf. Qual. 2016, 8, 1–29. [Google Scholar] [CrossRef]
- Ochoa, X.; Duval, E. Automatic Evaluation of Metadata Quality in Digital Libraries. Int. J. Digit. Libr. 2009, 10, 67–91. [Google Scholar] [CrossRef]
- GEOFABRIK // Services. Available online: https://www.geofabrik.de/services/ (accessed on 22 March 2022).
- Haklay, M.; Weber, P. OpenStreetMap: User-Generated Street Maps. IEEE Pervasive Comput. 2008, 7, 12–18. [Google Scholar] [CrossRef]
- Gotlib, D. Analiza Różnic Pomiędzy Modelami Danych BDOT10K a TBD. Rocz. Geomatyki Ann. Geomat. 2015, 13, 321–334. [Google Scholar]
- Calka, B. Wykaz Warstw Tematycznych Oraz Ich Atrybutów z Baz BDOT i OSM, Możliwych Do Wykorzystania Przy Opracowywaniu Tyflomap Parków (List of Thematic Layers and Their Attributes from BDOT and OSM Databases, Possible to Use in the Development of the 2022 Parks’ Tactile Maps); Attachment No. 1 to the Metoda Doboru Treści Typflomap Założeń Parkowych (The Method of Selecting the Content of Park Typhlomaps), Working Materials of the Research Project No. Rzeczy są dla ludzi/0005/2020-00 Titled “Technology for the Development of Tactile Maps of Historic Parks” Financed by The National Centre for Research and Development in Years 2021–2024; Military University of Technology: Warsaw, Poland, 2022. [Google Scholar]
- Moscicka, A.; Wabiński, J.; Araszkiewicz, A.; Traut-Seliga, A.; Całka, B.; Kiliszek, D.; Śmiechowska-Petrovskij, E.; Zwirowicz-Rutkowska, A. Elements of Map Content (Elementy treści Map); Attachment No. 2 to the Metoda Doboru Treści Typflomap Założeń Parkowych (The Method of Selecting the Content of Park Typhlomaps), Working Materials of the Research Project No. Rzeczy są dla Ludzi/0005/2020-00 Titled “Technology for the Development of Tactile Maps of Historic Parks” Financed by The National Centre for Research and Development in Years 2021–2024; Military University of Technology: Warsaw, Poland, 2022. [Google Scholar]
- Mościcka, A.; Wabiński, J.; Araszkiewicz, A.; Traut-Seliga, A.; Całka, B.; Kiliszek, D.; Śmiechowska-Petrovskij, E.; Zwirowicz-Rutkowska, A. Metoda Doboru Treści Typflomap Założeń Parkowych (The Method of Selecting the Content of Park Typhlomaps); Working Materials of the Research Project No. Rzeczy są dla Ludzi/0005/2020-00 Titled “Technology for the Development of Tactile Maps of Historic Parks” Financed by The National Centre for Research and Development in Years 2021–2024; Military University of Technology: Warsaw, Poland, 2022. [Google Scholar]
Publisher’s Note: MDPI stays neutral with regard to jurisdictional claims in published maps and institutional affiliations. |
© 2022 by the authors. Licensee MDPI, Basel, Switzerland. This article is an open access article distributed under the terms and conditions of the Creative Commons Attribution (CC BY) license (https://creativecommons.org/licenses/by/4.0/).