Structural Design and Lubrication Properties under Different Eccentricity of Magnetic Fluid Bearings
Abstract
:1. Introduction
2. Analytical Model for Magnetic Fluid Lubricated Bearings
2.1. Radial Plain Bearing Oil Pressure Distribution
2.2. Structural Model of a Magneto–Hydrodynamic Lubricated Bearing Friction Pair
2.3. Design of the Magnetic Fluid Lubricated Bearing Mechanism
3. Results and Discussion
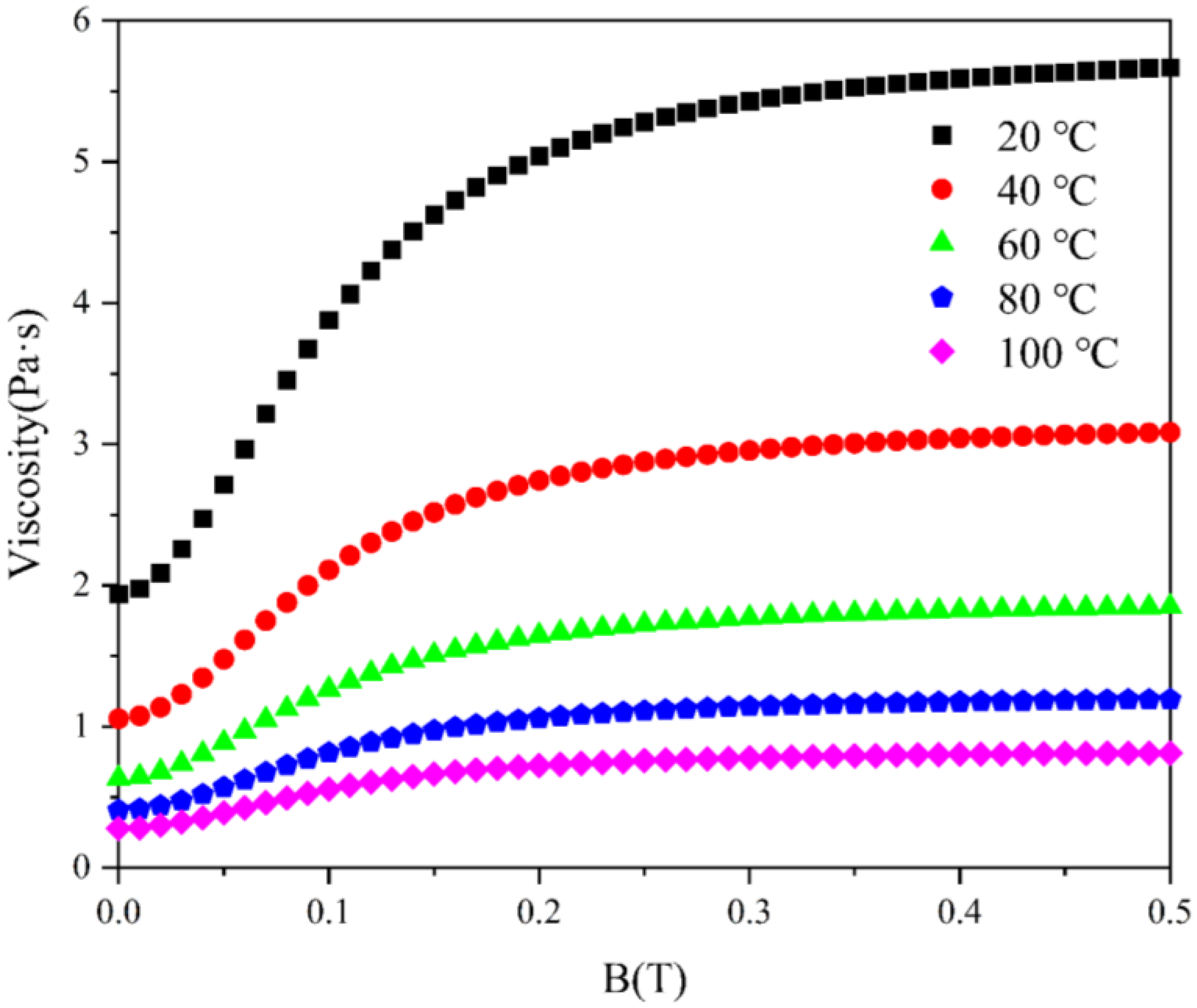
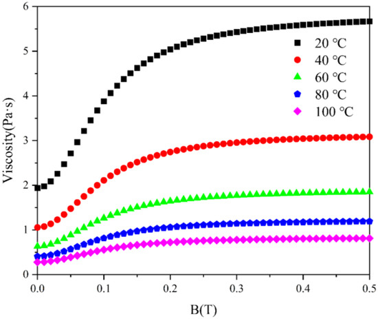
3.1. Magnetic Fluid Lubrication Viscosity Characteristics
- The volume force and inertial force of the magnetic fluid are negligible;
- The radius of the journal and bearing is much larger than the film thickness;
- No-slip phenomenon at the magnetic fluid lubrication interface;
- The lubrication film does not change along the radial pressure.
3.2. Flow Field Analysis of Magneto–Fluid Lubricated Bearings
3.3. Magnetic Field Analysis of Magnetic Fluid Lubricated Bearings
4. Conclusions
- (1)
- The viscosity of the magnetic fluid decreases exponentially with increasing temperature, increases linearly with increasing pressure, and increases with increasing field strength; the viscosity of the magnetic fluid rises first and then stabilizes, with a similar upward trend to the magnetization curve.
- (2)
- The oil film pressure distribution is separated by the minimum oil film thickness area into two approximately symmetrical high-pressure and low-pressure areas, with the bearing eccentricity increases, the pressure difference between high and low pressure gradually increases, and the high-pressure and low-pressure areas are gradually concentrated towards the minimum oil film thickness area, the oil film wedge effect is enhanced.
- (3)
- The oil film high temperature zone is mainly distributed in the middle of the axial region and around the minimum oil film thickness area; with the bearing eccentricity increases, the oil film high temperature zone temperature increases and concentrates around the middle of the axial region and the minimum oil film thickness area, the heat dissipation method is mainly heat conduction and convection heat dissipation.
- (4)
- The magnetic field of magnetic fluid bearing is distributed in the clearance between the shaft and the journal, and when the eccentricity of the bearing is increased, the magnetic induction intensity in the maximum oil film thickness area remains the same, while the magnetic induction intensity in the minimum oil film thickness area is the strongest. In addition, the magnetic fluid bearing has a certain sealing pressure resistance; high eccentricity of the magnetic fluid bearing sealing performance is better.
Author Contributions
Funding
Institutional Review Board Statement
Informed Consent Statement
Data Availability Statement
Conflicts of Interest
References
- Li, J.; Dai, Q.; Huang, W.; Wang, X. Feasibility study of magnetic fluid support and lubrication behaviors on micro magnet arrays. Tribol. Int. 2020, 150, 106407. [Google Scholar] [CrossRef]
- Shi, X.; Huang, W.; Wang, X. Ionic liquids–based magnetic nanofluids as lubricants. Lubr. Sci. 2018, 30, 73–82. [Google Scholar] [CrossRef]
- Wang, J.; Zuo, Z.P.; Zhao, Y.; Hou, D.; Li, Z. Preparation and viscosity characteristics of nano–scale magnetic fluid oil–film bearing oil. J. Nanosci. Nanotechnol. 2019, 19, 2688–2694. [Google Scholar] [CrossRef]
- Khalil, A.; Nabhani, M.; Khlifi, M.E. Rotational viscosity effect on the stability of finite journal bearings lubricated by ferrofluids. J. Braz. Soc. Mech. Sci. 2021, 43, 548. [Google Scholar]
- Li, K.; Dai, J.; Chang, H.; Huang, J.; Shi, J. Review of magnetorheological materials application. J. Detect. Control 2019, 41, 6–14. [Google Scholar]
- Kumar, J.S.; Paul, P.S.; Raghunathan, G.; Alex, D.G. A review of challenges and solutions in the preparation and use of magnetorheological fluids. Int. J. Mech. Mater. Eng. 2019, 14, 13. [Google Scholar] [CrossRef]
- Tian, Z.; Hou, Y.; Wang, N. Study on temperature properties of magnetorheological transmission device. Chin. J. Sci. Instrum. 2012, 33, 596–601. [Google Scholar]
- Shah, R.C.; Shah, R.B. Static and dynamic performances of ferrofluid lubricated long journal bearing. Z. Für Nat. A 2021, 76, 493–506. [Google Scholar] [CrossRef]
- Zapoměl, J.; Ferfecki, P. A new concept of a hydrodynamic bearing lubricated by composite magnetic fluid for controlling the bearing load capacity. Mech. Syst. Signal Pract. 2022, 168, 108678. [Google Scholar] [CrossRef]
- Shah, R.C. Ferrofluid lubrication of porous–rough circular squeeze film bearings. Eur. Phys. J. Plus 2022, 137, 190. [Google Scholar] [CrossRef]
- Wang, X.; Lu, W.; LI, H.; Meng, G. A magnetorheological fluid lubricated floating ring bearing and its application to rotor vibration control. J. Vib. Shock 2017, 36, 18–24. [Google Scholar]
- Patel, J.R.; Deheri, G. Viscosity variation effect on the magnetic fluid lubrication of a short bearing. J. Serb. Soc. Comput. Mech. 2019, 13, 56–66. [Google Scholar] [CrossRef]
- Urreta, H.; Aguirre, G.; Kuzhir, P.; Lopez de Lacalle, L.N. Actively lubricated hybrid journal bearings based on magnetic fluids for high–precision spindles of machine tools. J. Intell. Mat. Syst. Struct. 2019, 30, 2257–2271. [Google Scholar] [CrossRef] [Green Version]
- Patel, N.S.; Vakharia, D.; Deheri, G. Hydrodynamic journal bearing lubricated with a ferrofluid. Ind. Lubr. Tribol. 2017, 69, 754–760. [Google Scholar] [CrossRef]
- Quinci, F.; Litwin, W.; Wodtke, M.; Nieuwendijk, R. A comparative performance assessment of a hydrodynamic journal bearing lubricated with oil and magnetorheological fluid. Tribol. Int. 2021, 162, 107143. [Google Scholar] [CrossRef]
- Kataria, R.C.; Patel, D.A. Study of double porous layered slider bearing with various designed stator under the effects of slip and squeeze velocity using magnetic fluid lubricant. Am. J. Appl. Math. Stat. 2020, 8, 43–51. [Google Scholar]
- Hu, Z.; Dai, Q.; Huang, W.; Wang, X. Liquid–gas support and lubrication based on a ferrofluid seal. J. Phys. D Appl. Phys. 2020, 53, 025002. [Google Scholar] [CrossRef]
- Li, J.; Dai, Q.; Huang, W.; Wang, X. Magnetic fluid support and lubrication properties based on arrayed magnets. Tribology 2022, 42, 275–282. [Google Scholar]
- Xie, X.; Dai, Q.; Huang, W.; Wang, X. Supporting capacity of a ferrofluid ring bearing. J. Phys. D Appl. Phys. 2021, 54, 175004. [Google Scholar] [CrossRef]
- Xu, H.; Dai, Q.; Huang, W.; Wang, X. The supporting capacity of ferrofluids bearing: From the liquid ring to droplet. J. Magn. Magn. Mater. 2022, 552, 169212. [Google Scholar] [CrossRef]
- Pei, P.; Peng, Y. Microstructural evolution and aggregation kinetics of magnetorheological suspensions based on molecular dynamics simulations. Mat. R. 2021, 35, 12001–12007. [Google Scholar]
- Pei, P.; Peng, Y. Constitutive modeling of magnetorheological fluids: A review. J. Magn. Magn. Mater. 2022, 550, 169076. [Google Scholar] [CrossRef]
- Shen, Y.; Hua, D.; Liu, X.; Li, W.; Grzegorz, K.; Li, Z. Visualizing rheological mechanism of magnetorheological fluids. Smart Mater. Struct. 2022, 31, 025027. [Google Scholar] [CrossRef]
- Shah, R.C.; Patel, D.B. On the ferrofluid lubricated exponential squeeze film–bearings. Z. Für Nat. A 2021, 76, 209–215. [Google Scholar] [CrossRef]
- Wang, J.; Kang, J.; Zhang, Y.; Huang, X. Viscosity monitoring and control on oil-film bearing lubrication with ferrofluids. Tribol. Int. 2014, 75, 61–68. [Google Scholar]
- Munshi, M.M.; Patel, A.R.; Deheri, G.M. Lubrication of rough short bearing on shliomis model by ferrofluid considering viscosity variation effect. Int. J. Math. Eng. Manag. Sci. 2019, 4, 982–997. [Google Scholar] [CrossRef]
- Munshi, M.M.; Patel, A.R.; Deheri, G.M. Numerical modelling of shliomis model based ferrofluid lubrication performance in rough short bearing. J. Theor. Appl. Mech. 2019, 57, 923–934. [Google Scholar] [CrossRef]
- Jian, G.; Wang, Y.; Yu, X.; Li, Y.; Luo, H. Coupling on ferrofluid lubrication and dynamics of gear system. Tribology 2021, 41, 325–333. [Google Scholar]
- Li, Y.; Luo, Y.; Luo, J.; Wang, Y.; Ren, H.; Jiang, L.; Qiu, J.; Su, Z.; Fang, Q. Study on the influence of temperature–magnetic field coupling on the mechanical properties of magnetorheological fluids. Phys. Status Solidi–R. 2022, 16, 2100476. [Google Scholar] [CrossRef]
- Zaripov, A.K.; Ubaidi, A. Dependence of the viscosity of magnetic fluids on the concentration of magnetic particles, temperature, and a magnetic field. Russ. J. Phys. Chem. A 2021, 95, 2141–2147. [Google Scholar] [CrossRef]
- Widodo, P.J.; Budiana, E.P.; Ubaidillah, U.; Imaduddin, F. Magnetically–induced pressure generation in magnetorheological fluids under the influence of magnetic fields. Appl. Sci. 2021, 11, 9807. [Google Scholar] [CrossRef]
- Iwamoto, Y.; Nakasumi, H.; Ido, Y.; Niu, X.D.; Qiu, J.H.; Xiong, K.; Ji, H.L. Heat transfer of temperature–sensitive magnetic fluids around single heating pipe. Int. J. Appl. Electrom. Mech. 2020, 64, 1039–1046. [Google Scholar] [CrossRef]
- Kumar, S.; Sehgal, R.; Wani, M.F.; Sharma, M.D. Stabilization and tribological properties of magnetorheological (MR) fluids: A review. J. Magn. Magn. Mater. 2021, 538, 168295. [Google Scholar] [CrossRef]
- Zhu, G.; Li, K.; Feng, J.; Luo, X. Effects of cavitation on pressure fluctuation of draft tube and runner vibration in a Kaplan turbine. Trans. Chin. Soc. Agr. Eng. 2021, 37, 40–49. [Google Scholar]
- Li, Z.; Li, D.; Dong, J.; Cui, H.; Yao, J. Study of temperature influence on the rheological behavior of magnetic fluids. J. Magn. Magn. Mater. 2022, 545, 168757. [Google Scholar] [CrossRef]














| Shaft Diameter (D/mm) | Bore of the Shaft Shank (d/mm) | Shaft Shank Width (B/mm) | Eccentricity () |
|---|---|---|---|
| 16 | 16.05 | 10 | 0.2, 0.4, 0.6, 0.8 |
| Outer Diameter (D/mm) | Inner Diameter (d/mm) | Width (B/mm) | Orthopaedic Force (A/m) | Operating Temperature (°C) |
|---|---|---|---|---|
| 57 | 41 | 16 | 87,000 | ≤100 |
| Particle Volume Fraction () | Surfactant Thickness (c/nm) | Magnetic Particle Diameter (d/nm) | Base Carrier Fluid Viscosity (/Pa·s) |
|---|---|---|---|
| 30% | 2 | 10 | 1.5 |
Publisher’s Note: MDPI stays neutral with regard to jurisdictional claims in published maps and institutional affiliations. |
© 2022 by the authors. Licensee MDPI, Basel, Switzerland. This article is an open access article distributed under the terms and conditions of the Creative Commons Attribution (CC BY) license (https://creativecommons.org/licenses/by/4.0/).
Share and Cite
Wang, A.; Pan, J.; Wu, H.; Ye, J. Structural Design and Lubrication Properties under Different Eccentricity of Magnetic Fluid Bearings. Appl. Sci. 2022, 12, 7051. https://doi.org/10.3390/app12147051
Wang A, Pan J, Wu H, Ye J. Structural Design and Lubrication Properties under Different Eccentricity of Magnetic Fluid Bearings. Applied Sciences. 2022; 12(14):7051. https://doi.org/10.3390/app12147051
Chicago/Turabian StyleWang, Ao, Jiabao Pan, Huaibiao Wu, and Jin Ye. 2022. "Structural Design and Lubrication Properties under Different Eccentricity of Magnetic Fluid Bearings" Applied Sciences 12, no. 14: 7051. https://doi.org/10.3390/app12147051
APA StyleWang, A., Pan, J., Wu, H., & Ye, J. (2022). Structural Design and Lubrication Properties under Different Eccentricity of Magnetic Fluid Bearings. Applied Sciences, 12(14), 7051. https://doi.org/10.3390/app12147051

