Grammatically Derived Factual Relation Augmented Neural Machine Translation
Abstract
:Featured Application
Abstract
1. Introduction
- To our best knowledge, it is the first attempt at using factual relation information to improve Transformer-based neural machine translation.
- This paper introduces an effective method (Factual Relation Augmented, abbreviated as FRA) for the NMT model which utilizes factual relation information in source sentences to improve the translation quality of the NMT model.
- This FAR method can improve the translation quality of the Transformer-based model, especially for complex sentences (e.g., complex clause sentences).
2. Transformer-Based Neural Machine Translation
3. Factual Relation Augmented Approach
3.1. Generating the Factual Relation Mask Matrix (FRMM)
3.2. Factual Relation Augmented Encoder
3.3. Factual Relation Augmented Decoder
4. Experiment
4.1. Datasets and Settings
4.2. Main Results and Analysis
4.2.1. Performance on Different Datasets
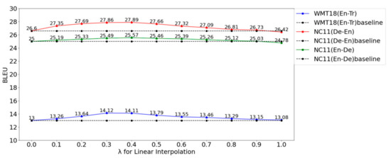
4.2.2. Evaluating Hyper-Parameters for Linear Interpolation
4.2.3. Comparison of Different Interpolation Methods
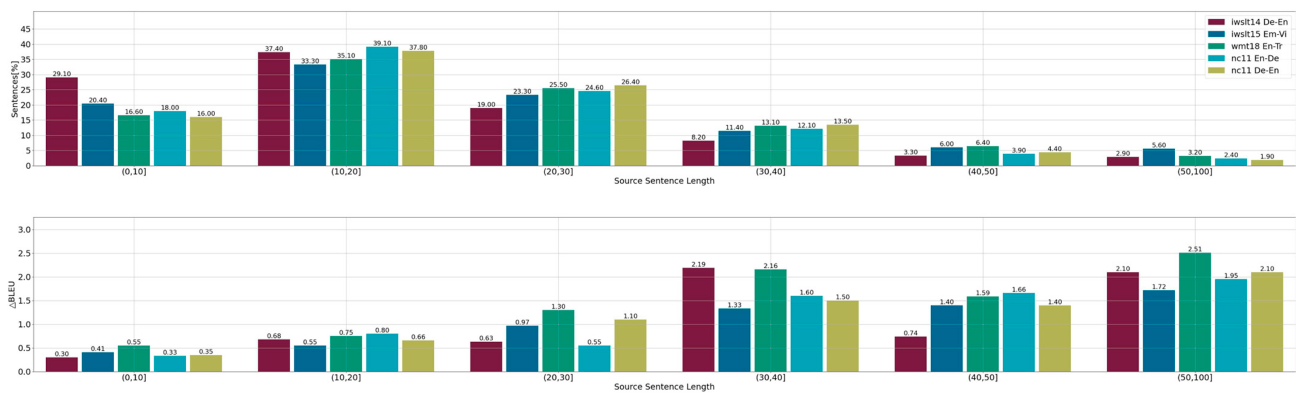
4.2.4. Performance by Sentence Length
4.2.5. Effect of Factual Relation Augmented
4.2.6. Performance on Different Layers
4.2.7. Analysis and Thinking
5. Related Work
6. Conclusions
Author Contributions
Funding
Institutional Review Board Statement
Informed Consent Statement
Data Availability Statement
Acknowledgments
Conflicts of Interest
References
- Vaswani, A.; Shazeer, N.; Parmar, N.; Uszkoreit, J.; Jones, L.; Gomez, A.N.; Kaiser, Ł.; Polosukhin, I. Attention is all you need. In Proceedings of the 31st International Conference on Neural Information Processing Systems, Long Beach, CA, USA, 4 December 2017; pp. 6000–6010. [Google Scholar]
- Bahdanau, D.; Cho, K.H.; Bengio, Y. Neural machine translation by jointly learning to align and translate. In Proceedings of the 3rd International Conference on Learning Representations, San Diego, CA, USA, 7 May 2015. [Google Scholar]
- Sutskever, I.; Vinyals, O.; Le, Q.V. Sequence to sequence learning with neural networks. In Proceedings of the 27th International Conference on Neural Information Processing Systems-Volume 2, Montreal, QC, Canada, 8 December 2014; pp. 3104–3112. [Google Scholar]
- Cho, K.; van Merriënboer, B.; Bahdanau, D.; Bengio, Y. On the properties of neural machine translation: Encoder–decoder approaches. In Proceedings of the SSST-8, Eighth Workshop on Syntax, Semantics and Structure in Statistical Translation, Doha, Qatar, 25 October 2014; pp. 103–111. [Google Scholar]
- Raganato, A.; Tiedemann, J. An analysis of encoder representations in transformer-based machine translation. In Proceedings of the 2018 EMNLP Workshop BlackboxNLP: Analyzing and Interpreting Neural Networks for NLP, Brussels, Belgium, 1 November 2018; pp. 287–297. [Google Scholar]
- Tang, G.; Müller, M.; Gonzales, A.R.; Sennrich, R. Why self-attention? A targeted evaluation of neural machine translation architectures. In Proceedings of the 2018 Conference on Empirical Methods in Natural Language Processing, Brussels, Belgium, 31 October 2018; pp. 4263–4272. [Google Scholar]
- Tran, K.M.; Bisazza, A.; Monz, C. The importance of being recurrent for modeling hierarchical structure. In Proceedings of the 2018 Conference on Empirical Methods in Natural Language Processing, Brussels, Belgium, 31 October 2018; pp. 4731–4736. [Google Scholar]
- Sennrich, R.; Haddow, B. Linguistic input features improve neural machine translation. In Proceedings of the First Conference on Machine Translation: Volume 1, Research Papers, Berlin, Germany, 7 August 2016; pp. 83–91. [Google Scholar]
- Chen, H.; Huang, S.; Chiang, D.; Dai, X.; Chen, J. Combining character and word information in neural machine translation using a multi-level attention. In Proceedings of the 2018 Conference of the North American Chapter of the Association for Computational Linguistics: Human Language Technologies, New Orleans, LA, USA, 1 June 2018; pp. 1284–1293. [Google Scholar]
- Wang, F.; Chen, W.; Yang, Z.; Xu, S.; Xu, B. Hybrid attention for Chinese character-level neural machine translation. Neurocomputing 2019, 358, 44–52. [Google Scholar] [CrossRef]
- Zhang, L.; Komachi, M. Neural machine translation of logographic language using sub-character level information. In Proceedings of the Third Conference on Machine Translation: Research Papers, Brussels, Belgium, 31 October 2018; pp. 17–25. [Google Scholar]
- Wang, X.; Tu, Z.; Xiong, D.; Zhang, M. Translating phrases in neural machine translation. In Proceedings of the 2017 Conference on Empirical Methods in Natural Language Processing, Copenhagen, Denmark, 7 September 2017; pp. 1421–1431. [Google Scholar]
- Dahlmann, L.; Matusov, E.; Petrushkov, P.; Khadivi, S. Neural machine translation leveraging phrase-based models in a hybrid search. In Proceedings of the 2017 Conference on Empirical Methods in Natural Language Processing, Copenhagen, Denmark, 7 September 2017; pp. 1411–1420. [Google Scholar]
- Eriguchi, A.; Hashimoto, K.; Tsuruoka, Y. Tree-to-sequence attentional neural machine translation. In Proceedings of the 54th Annual Meeting of the Association for Computational Linguistics, Berlin, Germany, 7 August 2016; pp. 823–833. [Google Scholar]
- Chen, H.; Huang, S.; Chiang, D.; Chen, J. Improved neural machine translation with a syntax-aware encoder and decoder. In Proceedings of the 55th Annual Meeting of the Association for Computational Linguistics, Vancouver, BC, Canada, 30 July 2017; pp. 1936–1945. [Google Scholar]
- Aharoni, R.; Goldberg, Y. Towards string-to-tree neural machine translation. In Proceedings of the 55th Annual Meeting of the Association for Computational Linguistics, Vancouver, BC, Canada, 30 July 2017; Short Papers. Volume 2, pp. 132–140. [Google Scholar]
- Chen, K.; Wang, R.; Utiyama, M.; Liu, L.; Tamura, A.; Sumita, E.; Zhao, T. Neural machine translation with source dependency representation. In Proceedings of the 2017 Conference on Empirical Methods in Natural Language Processing, Copenhagen, Denmark, 7 September 2017; pp. 2846–2852. [Google Scholar]
- Hashimoto, K.; Tsuruoka, Y. Neural machine translation with source-side latent graph parsing. In Proceedings of the 2017 Conference on Empirical Methods in Natural Language Processing, Copenhagen, Denmark, 7 September 2017; pp. 125–135. [Google Scholar]
- Wu, S.; Zhang, D.; Zhang, Z.; Yang, N.; Li, M.; Zhou, M. Dependency-to-dependency neural machine translation. IEEE/ACM Trans. Audio Speech Lang. Processing 2018, 26, 2132–2141. [Google Scholar] [CrossRef]
- Chen, K.; Wang, R.; Utiyama, M.; Sumita, E.; Zhao, T. Syntax-directed attention for neural machine translation. In Proceedings of the Thirty-Second AAAI Conference on Artificial Intelligence and Thirtieth Innovative Applications of Artificial Intelligence Conference and Eighth AAAI Symposium on Educational Advances in Artificial Intelligence, New Orleans, LA, USA, 2 February 2018; pp. 4792–4799. [Google Scholar]
- Angeli, G.; Premkumar, M.J.J.; Manning, C.D. Leveraging linguistic structure for open domain information extraction. In Proceedings of the 53rd Annual Meeting of the Association for Computational Linguistics and the 7th International Joint Conference on Natural Language Processing, Beijing, China, 26 July 2015; pp. 344–354. [Google Scholar]
- Chen, K.; Wang, R.; Utiyama, M.; Sumita, E. Content word aware neural machine translation. In Proceedings of the 58th Annual Meeting of the Association for Computational Linguistics, Online, 5 July 2020; pp. 358–364. [Google Scholar]
- Manning, C.D.; Surdeanu, M.; Bauer, J.; Finkel, J.R.; Bethard, S.; McClosky, D. The stanford corenlp natural language processing toolkit. In Proceedings of the 52nd Annual Meeting of the Association for Computational Linguistics: System Demonstrations, Baltimore, MD, USA, 22 June 2014; pp. 55–60. [Google Scholar]
- He, K.; Zhang, X.; Ren, S.; Sun, J. Deep residual learning for image recognition. In Proceedings of the IEEE Conference on Computer Vision and Pattern Recognition, Las Vegas, NV, USA, 27 June 2016; pp. 770–778. [Google Scholar]
- Ba, J.L.; Kiros, J.R.; Hinton, G.E. Layer normalization. Stat 2016, 1050, 21. [Google Scholar]
- Graves, A. Long short-term memory. In Supervised Sequence Labelling with Recurrent Neural Networks; Springer: Berlin/Heidelberg, Germany, 2012; pp. 37–45. [Google Scholar]
- Ott, M.; Edunov, S.; Baevski, A.; Fan, A.; Gross, S.; Ng, N.; Grangier, D.; Auli, M. Fairseq: A fast, extensible toolkit for sequence modeling. In Proceedings of the 2019 Conference of the North American Chapter of the Association for Computational Linguistics (Demonstrations), Minneapolis, MN, USA, 2 June 2019; pp. 48–53. [Google Scholar]
- Luong, M.; Pham, H.; Manning, C.D. Effective approaches to attention-based neural machine translation. In Proceedings of the 2015 Conference on Empirical Methods in Natural Language Processing, Lisbon, Portugal, 17 September 2015; pp. 1412–1421. [Google Scholar]
- Bugliarello, E.; Okazaki, N. Enhancing machine translation with dependency-aware self-attention. In Proceedings of the 58th Annual Meeting of the Association for Computational Linguistics, Online, 5 July 2020; pp. 1618–1627. [Google Scholar]
- Wu, F.; Fan, A.; Baevski, A.; Dauphin, Y.; Auli, M. Pay less attention with lightweight and dynamic convolutions. In Proceedings of the International Conference on Learning Representations, Vancouver, BC, Canada, 30 April 2018. [Google Scholar]
- Sennrich, R.; Haddow, B.; Birch, A. Neural machine translation of rare words with subword units. In Proceedings of the 54th Annual Meeting of the Association for Computational Linguistics, Berlin, Germany, 7 August 2016; pp. 1715–1725. [Google Scholar]
- Clark, K.; Luong, M.; Manning, C.D.; Le, Q. Semi-supervised sequence modeling with cross-view training. In Proceedings of the 2018 Conference on Empirical Methods in Natural Language Processing, Brussels, Belgium, 31 October 2018; pp. 1914–1925. [Google Scholar]
- Currey, A.; Heafield, K. Incorporating source syntax into transformer-based neural machine translation. In Proceedings of the Fourth Conference on Machine Translation, Florence, Italy, 1 August 2019; Research Papers. Volume 1, pp. 24–33. [Google Scholar]
- Strubell, E.; Verga, P.; Andor, D.; Weiss, D.; McCallum, A. Linguistically-informed self-attention for semantic role labeling. In Proceedings of the 2018 Conference on Empirical Methods in Natural Language Processing, Brussels, Belgium, 31 October 2018; pp. 5027–5038. [Google Scholar]
- Zhang, M.; Li, Z.; Fu, G.; Zhang, M. Syntax-enhanced neural machine translation with syntax-aware word representations. In Proceedings of the 2019 Conference of the North American Chapter of the Association for Computational Linguistics: Human Language Technologies, Minneapolis, MN, USA, 2 June 2019; pp. 1151–1161. [Google Scholar]
- Xia, Y.; He, T.; Tan, X.; Tian, F.; He, D.; Qin, T. Tied transformers: Neural machine translation with shared encoder and decoder. In Proceedings of the AAAI Conference on Artificial Intelligence, Honolulu, HI, USA, 2 February 2019; Volume 33, pp. 5466–5473. [Google Scholar]
- Lu, Y.; Li, Z.; He, D.; Sun, Z.; Dong, B.; Qin, T.; Wang, L.; Liu, T. Understanding and improving transformer from a multi-particle dynamic system point of view. In Proceedings of the ICLR 2020 Workshop on Integration of Deep Neural Models and Differential Equations, Addis Ababa, Ethiopia, 26 April 2020. [Google Scholar]
- Chen, Y.; Gan, Z.; Cheng, Y.; Liu, J.; Liu, J. Distilling knowledge learned in bert for text generation. In Proceedings of the 58th Annual Meeting of the Association for Computational Linguistics, Online, 5 July 2020; pp. 7893–7905. [Google Scholar]
- Zhu, J.; Xia, Y.; Wu, L.; He, D.; Qin, T.; Zhou, W.; Li, H.; Liu, T. Incorporating bert into neural machine translation. In Proceedings of the International Conference on Learning Representations, New Orleans, LA, USA, 6 May 2019. [Google Scholar]
- Anastasopoulos, A.; Chiang, D. Tied multitask learning for neural speech translation. In Proceedings of the 2018 Conference of the North American Chapter of the Association for Computational Linguistics: Human Language Technologies, New Orleans, LA, USA, 1 June 2018; pp. 82–91. [Google Scholar]
- Chatterjee, R.; Negri, M.; Turchi, M.; Federico, M.; Specia, L.; Blain, F. Guiding neural machine translation decoding with external knowledge. In Proceedings of the Second Conference on Machine Translation, Copenhagen, Denmark, 7 September 2017; pp. 157–168. [Google Scholar]
- Cohn, T.; Hoang, C.D.V.; Vymolova, E.; Yao, K.; Dyer, C.; Haffari, G. Incorporating structural alignment biases into an attentional neural translation model. In Proceedings of the NAACL-HLT, San Diego, CA, USA, 12 June 2016; pp. 876–885. [Google Scholar]
- Saunders, D.; Stahlberg, F.; de Gispert, A.; Byrne, B. Multi-representation ensembles and delayed sgd updates improve syntax-based nmt. In Proceedings of the 56th Annual Meeting of the Association for Computational Linguistics, Melbourne, Australia, 15 August 2018; Short Papers. Volume 2, pp. 319–325. [Google Scholar]
- Peng, R.; Lin, N.; Fang, Y.; Jiang, S.; Zhao, J. Boosting neural machine translation with dependency-scaled self-attention network. arXiv 2021, arXiv:2111. [Google Scholar]





| Corpus | IWSLT14 | IWSLT15 | WMT18 |
|---|---|---|---|
| Training Set | 160,239 | 133,158 | 207,678 |
| Valid Set | 7283 | 1553 | 3000 |
| Test Set | 6750 | 1268 | 3007 |
| Model | WMT18 | NC11 | Model | IWSLT14 (De–En) | IWSLT15 (En–Vi) | |||
|---|---|---|---|---|---|---|---|---|
| En–Tr (Test Set) | En–De (Test Set) | De–En (Test Set) | Valid Set | Test Set | Valid (Test 2012) | Test (Test 2013) | ||
| / | / | / | / | ELMo [32] | / | / | / | 29.30 |
| / | / | / | / | SWAR [35] | / | / | / | 29.09 |
| Mixed Enc [33] | 9.60 | / | / | CVT [32] | / | / | / | 29.60 |
| Multi-Task [33] | 10.60 | / | / | C-MLM [38] | 36.93 | 35.63 | 27.85 | 31.51 |
| Transformer [1] | 13.13 | 25.00 | 26.60 | Transformer [1] | 35.27 | 34.41 | 27.45 | 30.76 |
| +Multi-Task [8] | 14.00 | 24.80 | 26.70 | Tied-Transform [36] | / | 35.53 | / | / |
| +S&H [8] | 13.00 | 25.50 | 26.80 | Dynamic Conv [30] | / | 35.20 | / | / |
| +LISA [24] | 13.60 | 25.30 | 27.10 | Macaron [37] | / | 35.40 | / | / |
| +PASCAL [29] | 14.00 | 25.90 | 27.40 | BERT-fused [39] | / | 36.11 | / | / |
| Our Approach | 14. 73↑ | 25.91↑ | 28.10↑ | Our Approach | 36.89↑ | 36.10 | 27.90↑ | 31.53↑ |
| Method | Valid Set (tst2012) | Test Set (tst2013) | |
|---|---|---|---|
| 1 | Transformer (baseline) | 27.45 | 30.76 |
| 2 | Linear Interpolation (LI) | 27.49 | 30.79 |
| 3 | Gate Learning (GL) | 27.13↑ | 31.34↑ |
| 4 | Concat Gate Learning (CGL) | 27.19 | 30.43 |
| 5 | Linear Transformation (LT) | 27.91↑ | 31.53↑ |
| 6 | Compare Fusion | 27.57 | 31.12 |
| Layer | Tst2013 | Layer | Tst2013 |
|---|---|---|---|
| Baseline | 30.76 | 1~6 | 31.02 |
| 1 (bottom) | 31.02 | 1~2 | 31.13 |
| 2 | 31.22 | 1~3 | 31.00 |
| 3 | 31.17 | 1~4 | 31.07 |
| 4 | 31.29 | 1~5 | 31.08 |
| 5 | 31.51 | 4~6 | 31.40 |
| 6 (upper) | 31.53↑ | 5~6 | 31.47 |
Publisher’s Note: MDPI stays neutral with regard to jurisdictional claims in published maps and institutional affiliations. |
© 2022 by the authors. Licensee MDPI, Basel, Switzerland. This article is an open access article distributed under the terms and conditions of the Creative Commons Attribution (CC BY) license (https://creativecommons.org/licenses/by/4.0/).
Share and Cite
Li, F.; Zhu, J.; Yan, H.; Zhang, Z. Grammatically Derived Factual Relation Augmented Neural Machine Translation. Appl. Sci. 2022, 12, 6518. https://doi.org/10.3390/app12136518
Li F, Zhu J, Yan H, Zhang Z. Grammatically Derived Factual Relation Augmented Neural Machine Translation. Applied Sciences. 2022; 12(13):6518. https://doi.org/10.3390/app12136518
Chicago/Turabian StyleLi, Fuxue, Jingbo Zhu, Hong Yan, and Zhen Zhang. 2022. "Grammatically Derived Factual Relation Augmented Neural Machine Translation" Applied Sciences 12, no. 13: 6518. https://doi.org/10.3390/app12136518
APA StyleLi, F., Zhu, J., Yan, H., & Zhang, Z. (2022). Grammatically Derived Factual Relation Augmented Neural Machine Translation. Applied Sciences, 12(13), 6518. https://doi.org/10.3390/app12136518
