Steering of Beam Using Cylindrical Arrangements in a Metallic Parallel Plates Structure Operating over Ku-Band
Abstract
:1. Introduction
2. Concept of Unit Cell
Relative Permittivity of Designed Cylindrical Unit Cell
3. Design of Proposed Structure
3.1. Flat Luneburg Lens Concept
3.2. Placement of Cylindrical Units Based on Radial Distance
4. Results and Discussion
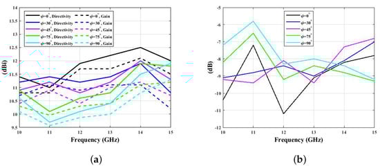
4.1. Radiation Patterns Obtained with Rings
4.2. Radiation Patterns Obtained with Placement of Cylindrical Rods
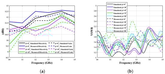
4.3. Characteristic Plots and Comparison Table
5. Conclusions
Author Contributions
Funding
Institutional Review Board Statement
Informed Consent Statement
Data Availability Statement
Acknowledgments
Conflicts of Interest
References
- Artemenko, A.; Maltsev, A.; Mozharovskiy, A.; Sevastyanov, A.; Ssorin, V.; Maslennikov, R. Millimeter-wave electronically steerable integrated lens antennas for WLAN/WPAN applications. IEEE Trans. Antennas Propag. 2012, 61, 1665–1671. [Google Scholar] [CrossRef]
- Yi, J.; Burokur, S.N.; de Lustrac, A. Experimental validation of a transformation optics based lens for beam steering. Appl. Phys. Lett. 2015, 107, 154101. [Google Scholar] [CrossRef]
- Jianjia, Y.; Burokur, S.N.; Piau, G.P.; de Lustrac, A. Coherent beam control with an all-dielectric transformation optics based lens. Sci. Rep. 2016, 6, 18819. [Google Scholar]
- Abbasi, M.I.; Dahri, M.H.; Jamaluddin, M.H.; Seman, N.; Kamarudin, M.R.; Sulaiman, N.H. Millimeter wave beam steering reflectarray antenna based on mechanical rotation of array. IEEE Access 2019, 7, 145685–145691. [Google Scholar] [CrossRef]
- Massaccesi, A.; Dassano, G.; Pirinoli, P. Beam scanning capabilities of a 3d-printed perforated dielectric transmitarray. Electronics 2019, 8, 379. [Google Scholar] [CrossRef] [Green Version]
- Shrestha, S.; Choi, D.Y. Rain Attenuation Study at Ku-Band over Earth-Space Path in South Korea. Adv. Astron. 2019, 2019, 9538061. [Google Scholar] [CrossRef]
- Shrestha, S.; Choi, D.Y. Characterization of rain specific attenuation and frequency scaling method for satellite communication in South Korea. Int. J. Antennas Propag. 2017, 2017, 8694748. [Google Scholar] [CrossRef]
- Jia, D.; He, Y.; Ding, N.; Zhou, J.; Du, B.; Zhang, W. Beam-steering flat lens antenna based on multilayer gradient index metamaterials. IEEE Antennas Wirel. Propag. Lett. 2018, 17, 1510–1514. [Google Scholar] [CrossRef]
- Li, Y.; Ge, L.; Chen, M.; Zhang, Z.; Li, Z.; Wang, J. Multibeam 3-D-printed Luneburg lens fed by magnetoelectric dipole antennas for millimeter-wave MIMO applications. IEEE Trans. Antennas Propag. 2019, 67, 2923–2933. [Google Scholar] [CrossRef]
- Dhouibi, A.; Burokur, S.N.; de Lustrac, A. Planar metamaterial-based beam-scanning broadband microwave antenna. J. Appl. Phys. 2014, 115, 194901. [Google Scholar] [CrossRef] [Green Version]
- Bosiljevac, M.; Casaletti, M.; Caminita, F.; Sipus, Z.; Maci, S. Non-uniform metasurface Luneburg lens antenna design. IEEE Trans. Antennas Propag. 2012, 60, 4065–4073. [Google Scholar] [CrossRef]
- Pfeiffer, C.; Grbic, A. A printed, broadband Luneburg lens antenna. IEEE Trans. Antennas Propag. 2010, 58, 3055–3059. [Google Scholar] [CrossRef]
- Lu, H.; Liu, Z.; Liu, Y.; Ni, H.; Lv, X. Compact air-filled Luneburg lens antennas based on almost-parallel plate waveguide loaded with equal-sized metallic posts. IEEE Trans. Antennas Propag. 2019, 67, 6829–6838. [Google Scholar] [CrossRef]
- Hua, C.; Wu, X.; Yang, N.; Wu, W. Air-filled parallel-plate cylindrical modified Luneberg lens antenna for multiple-beam scanning at millimeter-wave frequencies. IEEE Trans. Microw. Theory Tech. 2012, 61, 436–443. [Google Scholar] [CrossRef]
- Wu, X.; Laurin, J.J. Fan-beam millimeter-wave antenna design based on the cylindrical Luneberg lens. IEEE Trans. Antennas Propag. 2007, 55, 2147–2156. [Google Scholar] [CrossRef]
- Chou, H.T.; Yan, Z.D. Parallel-plate Luneburg lens antenna for broadband multibeam radiation at millimeter-wave frequencies with design optimization. IEEE Trans. Antennas Propag. 2018, 66, 5794–5804. [Google Scholar] [CrossRef]
- Manoochehri, O.; Darvazehban, A.; Salari, M.A.; Emadeddin, A.; Erricolo, D. A parallel plate ultrawideband multibeam microwave lens antenna. IEEE Trans. Antennas Propag. 2018, 66, 4878–4883. [Google Scholar] [CrossRef]
- Molina, H.B.; Marin, J.G.; Hesselbarth, J. Modified planar Luneburg lens millimetre-wave antenna for wide-angle beam scan having feed locations on a straight line. IET Microwaves, Antennas Propag. 2017, 11, 1462–1468. [Google Scholar] [CrossRef]
- Liu, P.; Zhu, X.W.; Zhang, Y.; Li, J.; Jiang, Z. 3D-printed cylindrical Luneburg lens antenna for millimeter-wave applications. Int. J. RF Microw. Comput. Aided Eng. 2020, 30, e21994. [Google Scholar] [CrossRef]
- Liu, K.; Yang, S.; Jiang, Q.; Qu, S.W. A lightweight multi-beam cylindrical Luneberg lens antenna loaded with multiple dielectric posts. Int. J. RF Microw. Comput. Aided Eng. 2019, 29, e21511. [Google Scholar] [CrossRef]
- Shrestha, S.; Zahra, H.; Abbasi, M.A.B.; Asadnia, M.; Abbas, S.M. Increasing the directivity of resonant cavity antennas with nearfield transformation meta-structure realized with stereolithograpy. Electronics 2021, 10, 333. [Google Scholar] [CrossRef]
- Shrestha, S.; Baba, A.A.; Abbas, S.M.; Asadnia, M.; Hashmi, R.M. A horn antenna covered with a 3D-printed metasurface for gain enhancement. Electronics 2021, 10, 119. [Google Scholar] [CrossRef]
- Shrestha, S.; Zahra, H.; Abbas, S.M.; Kiyani, A.; Mohamadzade, B.; Asadnia, M. Generation of Beam Tilt through Three-Dimensional Printed Surface. Electronics 2021, 10, 3174. [Google Scholar] [CrossRef]
- Shrestha, S.; Zahra, H.; Kiyani, A.; Asadnia, M.; Abbas, S.M.; Mahmoud, A. Miniaturized Wideband Antenna Prototype Operating over the Ku-Band. Micromachines 2022, 13, 471. [Google Scholar] [CrossRef] [PubMed]
- Zou, Z.Y.; Lou, Y.H.; Song, X.Q.; Jiang, H.; Du, K.; Yin, C.Z.; Lu, W.Z.; Wang, X.C.; Wang, X.H.; Fu, M.; et al. Near-Zero Thermal Expansion Ba1- xSrxZn2Si2O7-Based Microwave Dielectric Ceramics for 3D Printed Dielectric Resonator Antenna with Integrative Lens. Adv. Mater. Interfaces 2021, 8, 2100584. [Google Scholar] [CrossRef]
- Liu, B.; Sha, K.; Zhou, M.F.; Song, K.X.; Huang, Y.H.; Hu, C.C. Novel low-εr MGa2O4 (M= Ca, Sr) microwave dielectric ceramics for 5 G antenna applications at the Sub-6 GHz band. J. Eur. Ceram. Soc. 2021, 41, 5170–5175. [Google Scholar] [CrossRef]
- Sato, K.; Ujiie, H. A plate Luneberg lens with the permittivity distribution controlled by hole density. Electron. Commun. Jpn. Part I Commun. 2002, 85, 1–12. [Google Scholar] [CrossRef]
- Fan, F.; Cai, M.; Zhang, J.; Yan, Z.; Wu, J. Wideband low-profile Luneburg lens based on a glide-symmetric metasurface. IEEE Access 2020, 8, 85698–85705. [Google Scholar] [CrossRef]











| Ref. | Peak Gain (dBi) | Peak Directivity (dBi) | Bandwidth (GHz) | Side Lobe Level (dB) | Dimension (mm) | Fabrication Method |
|---|---|---|---|---|---|---|
| [11] | 14 | 12.5 (in 13 GHz) | 12.5 to 13.5 | n/a | 151.2 (6.3 ) | Printed circular patches |
| [13] | 20 | n/a | 26 to 40 | −14 | 50 (4.33 ) | Metallic posts |
| [16] | 14.5 (in 36.5 GHz) | n/a | 35 to 40 | less than −9 | 60 (7 ) | Teflon |
| [19] | 14.6 (in 23.5 GHz) 16.3 (in 26 GHz) 16.1 (in 28 GHz) | n/a | 23.5 to 28 | −11.9 (in 23 GHz) −12.5 (in 26 GHz) −12.1 (in 28 GHz) | 300 (23.49 ) | Vero Clear |
| [20] | 12.5 | n/a | 3.8 to 4.4 | n/a | 360 (4.56 ) | Epoxy posts |
| Proposed | 12.7 (in 14 GHz) | 14.7 (in 13 GHz) | 10 to 15 | less than −6 | 100 (3.33 ) | Multijet 3D printing |
Publisher’s Note: MDPI stays neutral with regard to jurisdictional claims in published maps and institutional affiliations. |
© 2022 by the authors. Licensee MDPI, Basel, Switzerland. This article is an open access article distributed under the terms and conditions of the Creative Commons Attribution (CC BY) license (https://creativecommons.org/licenses/by/4.0/).
Share and Cite
Shrestha, S.; Abbas, S.M.; Asadnia, M.; Esselle, K.P. Steering of Beam Using Cylindrical Arrangements in a Metallic Parallel Plates Structure Operating over Ku-Band. Appl. Sci. 2022, 12, 6074. https://doi.org/10.3390/app12126074
Shrestha S, Abbas SM, Asadnia M, Esselle KP. Steering of Beam Using Cylindrical Arrangements in a Metallic Parallel Plates Structure Operating over Ku-Band. Applied Sciences. 2022; 12(12):6074. https://doi.org/10.3390/app12126074
Chicago/Turabian StyleShrestha, Sujan, Syed Muzahir Abbas, Mohsen Asadnia, and Karu P. Esselle. 2022. "Steering of Beam Using Cylindrical Arrangements in a Metallic Parallel Plates Structure Operating over Ku-Band" Applied Sciences 12, no. 12: 6074. https://doi.org/10.3390/app12126074
APA StyleShrestha, S., Abbas, S. M., Asadnia, M., & Esselle, K. P. (2022). Steering of Beam Using Cylindrical Arrangements in a Metallic Parallel Plates Structure Operating over Ku-Band. Applied Sciences, 12(12), 6074. https://doi.org/10.3390/app12126074

