Fast Calculation of Transient Thermal Stress in Surge Lines with Thermal Stratification Region
Abstract
1. Introduction
2. Theoretical Background
3. Fast Calculation of Thermal Stress Based on Green’s Function Method
3.1. Finite Model
3.2. Division of Thermal Zones and Working Conditions
3.3. The Establishment of Thermal Stress Green’s Function
3.3.1. Material Properties
3.3.2. Selection of Fatigue Evaluation Sections and Paths
3.3.3. Strategy to Construct Thermal Stress Green’s Functions
3.3.4. Verification of the Green’s Function
4. Determination of Fluid Temperatures of Thermal Zones in Stratification Region
4.1. Monitoring Temperature Analysis
4.2. Determination of Fluid Temperatures of Thermal Zone 4–9
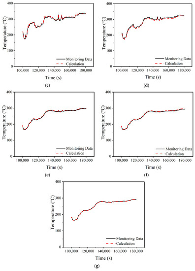
4.3. Verification of Suggested Fluid Temperature Determination Method
4.4. Result and Verification of the Fluid Temperature
4.4.1. Uniform Heat Flux Assumption
4.4.2. Linear Heat Flux Distribution Assumption
4.5. Comparison of Thermal Stress Calculation Results with Different Number of Thermal Zones in Stratification Region
5. Conclusions
Author Contributions
Funding
Institutional Review Board Statement
Informed Consent Statement
Data Availability Statement
Acknowledgments
Conflicts of Interest
References
- American Society of Mechanical Engineers. Environmental Effects on Components, App. W, Section III, Boiler and Pressure Vessel Code; ASME: Saint Clair, MI, USA, 2013. [Google Scholar]
- Aufort, P.; Bimont, G.; Chau, T.; Morilhat, P.; Souchois, T.; Cordier, G.; Fournier, I. On line fatiguemeter: A large experiment in French nuclear plants. Nucl. Eng. Des. 1991, 129, 177–184. [Google Scholar] [CrossRef]
- Heliot, J.; Fritz, R. Framatome operating transients monitoring system used for equipment mechanical surveillance. Int. J. Press. Vessel. Pip. 1989, 40, 247–258. [Google Scholar] [CrossRef][Green Version]
- Boros, I.; Aszodi, A. Analysis of thermal stratification in the primary circuit of a VVER-440 reactor with the CFX code. Nucl. Eng. Des. 2008, 238, 453–459. [Google Scholar] [CrossRef]
- Sakai, K.; Hojo, K.; Kato, A.; Umehara, R. On-line fatigue-monitoring system for nuclear power plant. Nucl. Eng. Des. 1994, 153, 19–25. [Google Scholar] [CrossRef]
- VEIKI. Ageing Management of Nuclear Power Plant Equipment-Piping, Background Material for Regulatory Guidelines; VEIKI-VNL: Budapest, Hungaryt, 1998. [Google Scholar]
- Cizelj, L.; Simonovski, I. Fatigue relevance of stratified flows in pipes: A parametric study. Nucl. Eng. Des. 2011, 241, 1191–1195. [Google Scholar] [CrossRef]
- United States Nuclear Regulatory Commission. Pressurizer Surge Line Thermal Stratification, Bulletin No.88-11; U.S. Nuclear Regulatory Commission: Rockville, MD, USA, 1988.
- Ensel, C.; Colas, A.; Barthez, M. Stress analysis of a 900 MW pressurizer surge line including stratification effects. Nucl. Eng. Des. 1995, 153, 197–203. [Google Scholar] [CrossRef]
- Samal, M.K.; Dutta, B.; Guin, S.; Kushwaha, H. A finite element program for on-line life assessment of critical plant components. Eng. Fail. Anal. 2009, 16, 85–111. [Google Scholar] [CrossRef]
- Chang, Y.S.; Choi, S.B.; Choi, J.B.; Kim, Y.J.; Jhung, M.J.; Choi, Y.H. Formulation of Three-Dimensional Green’s Function and its Application to Fatigue Life Evaluation of Pressurizer. Key Eng. Mater. 2006, 324-325, 387–390. [Google Scholar] [CrossRef]
- Geewook, S.; Bumshin, K.; Sungho, C. Fatigue Life Evaluation for Turbine Rotor Using Green’s Function. Procedia Eng. 2011, 10, 2292–2297. [Google Scholar]
- Boo, M.H.; Oh, C.K.; Kim, H.S.; Choi, C.R. Numerical simulation of temperature and thermal stress for nuclear piping by using computational fluid dynamics analysis and Green’s function. J. Mech. Sci. Technol. 2017, 31, 2243–2249. [Google Scholar] [CrossRef]
- Electric Power Research Institute. Material Reliability Program Thermal Cycling Screening and Evaluation Model for Normally Stagnant Non-Isolable Reactor Coolant Branch Line Piping with a Generic Application Assessment; MRP-132; Electric Power Research Institute: Ewing, NJ, USA, 2004. [Google Scholar]
- Electric Power Research Institute. Thermal Stratification, Cycling, and Striping; TR-103581s; Electric Power Research Institute: Pittsburgh, PA, USA, 1994. [Google Scholar]
- Koo, G.H.; Kwon, J.J.; Kim, W. Green’s function method with consideration of temperature dependent material properties for fatigue monitoring of nuclear power plants. Int. J. Press. Vessel. Pip. 2009, 86, 187–195. [Google Scholar] [CrossRef]





























| Flow Case | Judgments | Description |
|---|---|---|
| Case 1 | Qhl = 100%Qn Abs(Qsrg) ≥ Q1 * | Main pump running at full power Surge out with large flow Without thermal stratification |
| Case 2 | Qhl = 100%Qn Abs(Qsrg) < Q1 Thl > T1 | Main pump running at full power Surge in (out) with small flow With thermal stratification |
| Case 3 | Qhl = 100%Qn Abs(Qsrg) < Q1 Thl < T1 * | Main pump running at full power Surge in (out) with small flow With thermal stratification |
| Case 4 | Qhl = 100%Qn Abs(Qsrg) >Q1 | Main pump running at full power Surge in with large flow Without thermal stratification |
| Case 5 | Qhl = 100%Qn Abs(Qsrg) > Q2 * | Main pump running at full power Surge in with very large flow Without thermal stratification |
| Case 6 | Qhl < 10%Qn Abs(Qsrg) > Q1 | No flow in the hot leg Surge in with large flow Without thermal stratification |
| Case 7 | Qhl < 10%Qn Abs(Qsrg) < Q1 | No flow in the hot leg Surge in with small flow Without thermal stratification |
| Thermal Zone | Heat Transfer Type | Heat Transfer Coefficient (W/m2·°C) |
|---|---|---|
| Zone 1 | forced convective heat transfer | 38,617 |
| Zone 2, 3 | spiral convective heat transfer | 4700 |
| Zone 4–9 | natural convective heat transfer | 1000 |
| Zone 10 | forced convective heat transfer | 35,303 |
Publisher’s Note: MDPI stays neutral with regard to jurisdictional claims in published maps and institutional affiliations. |
© 2021 by the authors. Licensee MDPI, Basel, Switzerland. This article is an open access article distributed under the terms and conditions of the Creative Commons Attribution (CC BY) license (https://creativecommons.org/licenses/by/4.0/).
Share and Cite
Gao, B.; Li, M.; Yu, C.; Li, Y. Fast Calculation of Transient Thermal Stress in Surge Lines with Thermal Stratification Region. Appl. Sci. 2021, 11, 3216. https://doi.org/10.3390/app11073216
Gao B, Li M, Yu C, Li Y. Fast Calculation of Transient Thermal Stress in Surge Lines with Thermal Stratification Region. Applied Sciences. 2021; 11(7):3216. https://doi.org/10.3390/app11073216
Chicago/Turabian StyleGao, Bingjun, Mingze Li, Chulin Yu, and Yan Li. 2021. "Fast Calculation of Transient Thermal Stress in Surge Lines with Thermal Stratification Region" Applied Sciences 11, no. 7: 3216. https://doi.org/10.3390/app11073216
APA StyleGao, B., Li, M., Yu, C., & Li, Y. (2021). Fast Calculation of Transient Thermal Stress in Surge Lines with Thermal Stratification Region. Applied Sciences, 11(7), 3216. https://doi.org/10.3390/app11073216
