CFD-Simulink Modeling of the Inflatable Solar Dryer for Drying Paddy Rice
Abstract
1. Introduction
2. Materials and Methods
2.1. Inflatable Solar Dryer (ISD)
2.1.1. Dryer Description
2.1.2. Field Experiments
2.1.3. Instrumentation for the Field Experiments and Velocity Measurements
2.2. Simulation of Airflow Distribution in the ISD
2.2.1. Governing Equations
2.2.2. Domain Description
2.2.3. CFD Model Simulation
2.3. Mathematical Modeling of the ISD
2.3.1. Energy Balance of the Cover for the Heating Area
2.3.2. Energy Balance of the Absorber for the Heating area
2.3.3. Energy Balance of the Airflow for the Heating Area
2.3.4. Energy Balance of the Cover in the Drying Area
2.3.5. Energy Balance of the Paddy Rice in the Drying Area
2.3.6. Energy Balance of the Airflow in the Drying Area
2.3.7. Energy Balance of the Bottom Layers for the Heating and Drying Area
2.3.8. Mass Balance
2.3.9. Solution Procedure
2.4. Model Implementation
3. Results
3.1. CFD Simulations
3.1.1. Simulation of the Airflow Distribution
3.1.2. Validation of the CFD Model
3.2. Validation of the Drying Model
3.2.1. Simulation of the Air Temperature during the Drying Process
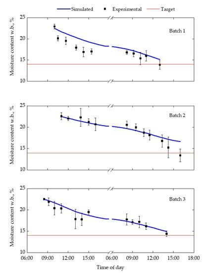
3.2.2. Simulation of the Moisture Content during the Drying Process
3.2.3. Accuracy of the Model
3.2.4. Application of the Model
4. Discussion
5. Conclusions
Author Contributions
Funding
Institutional Review Board Statement
Informed Consent Statement
Data Availability Statement
Acknowledgments
Conflicts of Interest
Nomenclature
| b | Width of the ISD design, m |
| Ci | Thermal capacity of the material, J m−3 K−1 |
| cvap | Specific heat of water vapor, J kg−1 K−1 |
| cliq | Specific heat of liquid, J kg−1 K−1 |
| cpad | Specific heat of paddy rice, J kg−1 K−1 |
| cair | Specific heat capacity of air, J kg−1 K−1 |
| cabs | Specific heat capacity of absorber, J kg−1 K−1 |
| casp | Specific heat capacity of asphalt, J kg−1 K−1 |
| csoi | Specific heat capacity of soil, J kg−1 K−1 |
| dk | Kernel diameter, mm |
| Dh | Hydraulic diameter of the heating/drying area, m |
| g | Gravity acceleration, m s−2 |
| hw | Convective heat transfer coefficient due to wind, W m−2 K−1 |
| hc,cov-air | Convective heat transfer coefficient from the cover to the drying air, W m−2 K−1 |
| hc,abs-air | Convective heat transfer coefficient from the absorber floor to the drying air, W m−2 K−1 |
| hc,pad-air | Convective heat transfer coefficient from the paddy rice to the drying air, W m−2 K−1 |
| hr,cov-sky | Radiative heat transfer coefficient from the cover to the sky, W m−2 K−1 |
| hr,abs-cov | Radiative heat transfer coefficient from the absorber to the cover, W m−2 K−1 |
| hr,pad-cov | Radiative heat transfer coefficient from the paddy rice to the cover, W m−2 K−1 |
| H | Humidity ratio of air, kg kg−1 |
| It | Solar radiation, W m−2 |
| Kabs-asp | Thermal conductance from the absorber to the asphalt, kJ m−2 s−1 |
| Kpad-abs | Thermal conductance from the paddy rice to the absorber, kJ m−2 s−1 |
| Kasp-soi | Thermal conductance from the asphalt to soil, kJ m−2 s−1 |
| k | Drying constant h−1 |
| Lc | Characteristic length of the geometry, m |
| Lpad | Latent heat of paddy rice, kJ kg−1 |
| M | Moisture content d.b. |
| Me | Equilibrium moisture content d.b. |
| Nu | Nusselt number |
| Pr | Prandtl number |
| p | Static pressure, Pa |
| patm | Atmospheric pressure, Pa |
| ps | Saturation vapor pressure, Pa |
| Re | Reynolds number |
| Sm | Momentum source term, Pa m−1 |
| t | Time, h |
| tf | Final drying time, h |
| Tcov | Temperature of the cover, °C |
| Tabs | Temperature of the absorber, °C |
| Tpad | Temperature of the paddy rice, °C |
| Tair | Temperature of the drying air, °C |
| Tsky | Temperature of the sky, °C |
| Tamb | Ambient temperature, °C |
| Tasp | Temperature of the asphalt, °C |
| Tdp | Dew point temperature, °C |
| vair | Air velocity, m s−1 |
| Velocity vector, m s−1 | |
| Δx | Finite distance, m |
| Greek letters | |
| αcov | Absorptance of the cover |
| αabs | Absorptance of the absorber |
| αpad | Absorptance of the paddy rice |
| εcov | Emittance of the cover |
| εpad | Emittance of the paddy rice |
| εabs | Emittance of the absorber |
| τcov | Transmittance of the cover |
| ∈ | Porosity of paddy rice |
| ρair | Density of air, kg m−3 |
| ρabs | Density of absorber, kg m−3 |
| ρpad | Density of paddy rice, kg m−3 |
| ρasp | Density of asphalt, kg m−3 |
| ρsoi | Density of soil, kg m−3 |
| ρ | Reflectance |
| λair | Thermal conductivity of air, W m−1 K−1 |
| λabs | Thermal conductivity of absorber, W m−1 K−1 |
| λpad | Thermal conductivity of paddy rice, W m−1 K−1 |
| λasp | Thermal conductivity of asphalt, W m−1 K−1 |
| λsoi | Thermal conductivity of soil, W m−1 K−1 |
| σ | Stefan-Boltzmann constant, W m−2 K−4 |
| Reynolds stress tensor, Pa | |
| θ | Zenith angle |
| υ | Kinematic viscosity, m2 s−1 |
| φ | Relative humidity, % |
| μair | Dynamic viscosity of air, kg m−1 s−1 |
| δair | Thickness of air, m |
| δabs | Thickness of paddy absorber, m |
| δpad | Thickness of paddy rice, m |
| δasp | Thickness of asphalt, m |
| δsoi | Thickness of soil, m |
Appendix A
References
- Papademetriou, M.K.; Dent, F.J.; Herath, E.M. Bridging the Rice Yield Gap in the Asia-Pacific Region; FAO Regional Office for Asia and the Pacific: Bangkok, Thailand, 2000.
- GRISP (Global Rice Science Partnership). Rice Almanac. In Source Book for One of the Most Important Economic Activities on Earth, 4th ed.; International Rice Research Institute: Los Baños, Philippines, 2013. [Google Scholar]
- Manandhar, A.; Milindi, P.; Shah, A. An overview of the post-harvest grain storage practices of smallholder farmers in developing countries. Agriculture 2018, 8, 57. [Google Scholar] [CrossRef]
- Chen, G. Advances in Agricultural Machinery and Technologies, 1st ed.; CRC Press: Boca Raton, FL, USA, 2018. [Google Scholar]
- Mopera, L.E. Food Loss in the Food Value Chain: The Philippine Agriculture Scenario. J. Dev. Sustain. Agric. 2016, 11, 8–16. [Google Scholar] [CrossRef]
- Abdullah, S.N.A.; Chai-Ling, H.; Wagstaff, C. Crop Improvement: Sustainability through Leading-Edge Technology; Springer International Publishing AG: Cham, Switzerland, 2017. [Google Scholar]
- Tsotsas, E.; Mujumdar, A.S. Modern Drying Technology, Volume 3: Product Quality and Formulation; Wiley: Hoboken, NJ, USA, 2011. [Google Scholar]
- Ulep, M.C.; Casil, F.B.; Castro, R.C.; Gagelonia, E.C.; Bautista, E.U. Technical and socio-economic evaluation in Ilocos Norte of a low-cost grain dryer from Vietnam. Philipp. J. Crop Sci. 2004, 29, 5–15. [Google Scholar]
- Djokoto, I.K.; Maurer, R.; Muehlbauer, W. Solar tunnel dryer for drying paddy. AMA 1989, 20, 41–43. [Google Scholar]
- Chupungco, A.; Dumayas, E.; Mullen, J. Two-Stage Grain Drying in the Philippines; ACIAR: Canberra, Australia, 2008; p. 50.
- Romulado, M. Modelling and Simulation of the Two-Stage Rice Drying System in the Philippines. Ph.D. Thesis, Agricultural Engineering University of Hohenheim, Stuttgart, Germany, 2001. [Google Scholar]
- Gummert, M. Improved postharvest technologies and management for reducing postharvest losses in rice. Acta Horticult. 2013, 1011, 63–70. [Google Scholar] [CrossRef]
- Rodriguez, A.; Paz, R. Factors affecting the use of mechanical dryers. In Partnerships for Modernizing the Grain Postproduction Sector; Bakker, R., Borlagdan, P., Hardy, B., Eds.; International Rice Research Institute: Los Baños, Philippines, 2004; pp. 51–56. [Google Scholar]
- Cardino, A. Case studies of mechanical dryers in the Philippines: Lessons learned. In Small Farm Equipment for Developing Countries; International Rice Research Institute: Los Baños, Philippines, 1986; pp. 431–437. [Google Scholar]
- Maurer, R. Untersuchung Und Modifikation Einer Solaren Tunneltrocknungsanlage Mit Integriertem Kollektor Für Den Einsatz Bei Der Reistrocknung in Humiden Gebieten. Diplom Thesis, Agricultural Engineering University of Hohenheim, Stuttgart, Germany, 1989. [Google Scholar]
- Salvatierra-Rojas, A.; Nagle, M.; Gummert, M.; de Bruin, T.; Müller, J. Development of an inflatable solar dryer for improved postharvest handling of paddy rice in humid climates. Int. J. Agric. Biol. Eng. 2017, 10, 269–282. [Google Scholar] [CrossRef]
- Romuli, S.; Schock, S.; Somda, M.K.; Müller, J. Drying performance and aflatoxin content of paddy rice applying an inflatable solar dryer in Burkina Faso. Appl. Sci. 2020, 10, 3533. [Google Scholar] [CrossRef]
- Romuli, S.; Schock, S.; Nagle, M.; Chege, C.G.K.; Müller, J. Technical performance of an inflatable solar dryer for drying amaranth leaves in Kenya. Appl. Sci. 2019, 9, 3431. [Google Scholar] [CrossRef]
- van Hung, N.; Fuertes, L.A.; Balingbing, C.; Roxas, A.P.; Tala, M.; Gummert, M. Development and performance investigation of an inflatable solar drying technology for oyster mushroom. Energies 2020, 13, 4122. [Google Scholar] [CrossRef]
- Asemu, A.M.; Habtu, N.G.; Delele, M.A.; Subramanyam, B.; Alavi, S. Drying characteristics of maize grain in solar bubble dryer. J. Food Process Eng. 2020, 43, 3312. [Google Scholar] [CrossRef]
- Ghaffari, A.; Mehdipour, R. Modeling and Improving the Performance of Cabinet Solar Dryer Using Computational Fluid Dynamics. Int. J. Food Eng. 2015, 11, 157–172. [Google Scholar] [CrossRef]
- Hossain, M.A.; Woods, J.L.; Bala, B.K. Simulation of solar drying of chilli in solar tunnel drier. Int. J. Sustain. Energy 2005, 24, 143–153. [Google Scholar] [CrossRef]
- Janjai, S.; Lamlert, N.; Intawee, P.; Mahayothee, B.; Boonrod, Y.; Haewsungcharern, M.; Bala, B.K.; Nagle, M.; Müller, J. Solar drying of peeled longan using a side loading type solar tunnel dryer: Experimental and simulated performance. Dry. Technol. 2009, 27, 595–605. [Google Scholar] [CrossRef]
- Esper, A. Solarer tunneltrockner mit photovoltaischem antriebssystem. Ph.D. Thesis, Agricultural Engineering University of Hohenheim, Stuttgart, Germany, 1995. [Google Scholar]
- Chen, C. Evaluation of Air Oven Moisture Content Determination Methods for Rough Rice. Biosyst. Eng. 2003, 86, 447–457. [Google Scholar] [CrossRef]
- ANSYS. ANSYS FLUENT Theory Guide; ANSYS Inc.: Canonsburg, PA, USA, 2011. [Google Scholar]
- Sanghi, A.; Ambrose, R.P.K.; Maier, D. CFD simulation of corn drying in a natural convection solar dryer. Dry. Technol. 2018, 36, 859–870. [Google Scholar] [CrossRef]
- Iguaz, A.; San Martín, M.B.; Arroqui, C.; Fernández, T.; Maté, J.I.; Vírseda, P. Thermophysical properties of medium grain rough rice (LIDO cultivar) at medium and low temperatures. Eur. Food Res. Technol. 2003, 217, 224–229. [Google Scholar] [CrossRef]
- Lee, C.; Chung, D. Grain physical and thermal properties related to drying and aeration. In Grain Drying in Asia; Champ, B.R., Highley, E., Johnson, G.I., Eds.; Australian Centre for International Agricultural Research: Bangkok, Thailand, 1996; p. 410. [Google Scholar]
- ANSYS. Cell Zone and Boundary Conditions. In ANSYS Fluent User’s Guide. Release 15.0; ANSYS, Inc.: Canonsburg, PA, USA, 2013. [Google Scholar]
- ANSYS. User Guide. Available online: https://www.afs.enea.it/project/neptunius/docs/fluent/html/ug/node167.htm (accessed on 15 September 2020).
- Drück, H.; Mathur, J.; Panthalookaran, V.; Sreekumar, V.M. Green Buildings and Sustainable Engineering: Proceedings of GBSE 2019; Springer: Singapore, 2020. [Google Scholar]
- Çengel, Y.A. Heat Transfer: A Practical Approach; McGraw-Hill: New York, NY, USA, 2003. [Google Scholar]
- Salvatierra-Rojas, A.; Torres-Toledo, V.; Müller, J. Influence of surface reflection (Albedo) in simulating the sun drying of paddy rice. Appl. Sci. 2020, 10, 5092. [Google Scholar] [CrossRef]
- Bala, B.K. Solar Drying Systems: Simulations and Optimization; Agrotech Publishing Academy: Mymensingh, Bangladesh, 1998. [Google Scholar]
- Iguaz, A.; Vírseda, P. Moisture desorption isotherms of rough rice at high temperatures. J. Food Eng. 2007, 79, 794–802. [Google Scholar] [CrossRef]
- Udomkun, P.; Argyropoulos, D.; Nagle, M.; Mahayothee, B.; Janjai, S.; Müller, J. Single layer drying kinetics of papaya amidst vertical and horizontal airflow. LWT 2015, 64, 67–73. [Google Scholar] [CrossRef]
- Crawford, R.J. Plastics Engineering; Elsevier Science: Amsterdam, The Netherlands, 2013. [Google Scholar]
- Bai, B.C.; Park, D.W.; Vo, H.V.; Dessouky, S.; Im, J.S. Thermal Properties of Asphalt Mixtures Modified with Conductive Fillers. J. Nanomater. 2015, 2015, 926809. [Google Scholar] [CrossRef]
- Campbell, G.S.; Norman, J. An Introduction to Environmental Biophysics; Springer: New York, NY, USA, 2012. [Google Scholar]
- Gran, R.J. Numerical Computing with Simulink, Volume 1: Creating Simulations; Society for Industrial and Applied Mathematics: Philadelphia, PA, USA, 2007. [Google Scholar]
- Yadav, A.K.; Chandel, S.S. Solar radiation prediction using Artificial Neural Network techniques: A review. Renew. Sustain. Energy Rev. 2014, 33, 772–781. [Google Scholar] [CrossRef]
- Burgess, W.A.; Ellenbecker, M.J.; Treitman, R.D. Ventilation for Control of the Work Environment; Wiley: Hoboken, NJ, USA, 2004. [Google Scholar]
- Bournet, P.E.; Boulard, T. Effect of ventilator configuration on the distributed climate of greenhouses: A review of experimental and CFD studies. Comput. Electron. Agric. 2010, 74, 195–217. [Google Scholar] [CrossRef]
- Lokeswaran, S.; Eswaramoorthy, M. An experimental analysis of a solar greenhouse drier: Computational Fluid Dynamics (CFD) validation. Energy Sources Part A Recovery Util. Environ. Effects 2013, 35, 2062–2071. [Google Scholar] [CrossRef]
- Milczarek, R.R.; Alleyne, F.S. Mathematical and computational modeling simulation of solar drying systems. In Solar Drying Technology; Springer Singapore: Singapore, 2017; pp. 357–379. [Google Scholar] [CrossRef]
- Bala, B.K.; Mondol, M.R.A. Experimental investigation on solar drying of fish using solar tunnel dryer. Dry. Technol. 2001, 19, 427–436. [Google Scholar] [CrossRef]
- Bala, B.K.; Mondol, M.R.A.; Biswas, B.K.; Das Chowdury, B.L.; Janjai, S. Solar drying of pineapple using solar tunnel drier. Renew. Energy 2003, 28, 183–190. [Google Scholar] [CrossRef]
- Schirmer, P.; Janjai, S.; Esper, A.; Smitabhindu, R.; Mühlbauer, W. Experimental investigation of the performance of the solar tunnel dryer for drying bananas. Renew. Energy 1996, 7, 119–129. [Google Scholar] [CrossRef]
- Lutz, K.; Mühlbauer, W.; Müller, J.; Reisinger, G. Development of a multi-purpose solar crop dryer for arid zones. Solar Wind Technol. 1987, 4, 417–424. [Google Scholar] [CrossRef]
- Bala, B.K.; Woods, J.L. Simulation of the indirect natural convection solar drying of rough rice. Sol. Energy 1994, 53, 259–266. [Google Scholar] [CrossRef]
- ASHRAE. Fundamentals Handbook; ASHRAE: Atlanta, GA, USA, 2001. [Google Scholar]
- Thorpe, G.R. The application of computational fluid dynamics codes to simulate heat and moisture transfer in stored grains. J. Stored Prod. Res. 2008, 44, 21–31. [Google Scholar] [CrossRef]



—radiation,
—convection, and ⟶—conduction).
—radiation,
—convection, and ⟶—conduction).









| Description | Value | Unit |
|---|---|---|
| Cover [38] | ||
| Density ρcov | 920.0 | kg m−3 |
| Specific heat ccov | 2200.0 | J kg−1 K−1 |
| Thermal conductivity λcov | 0.24 | W m−1 K−1 |
| Absorber [38] | ||
| Density ρabs | 1300.0 | kg m−3 |
| Specific heat cabs | 1500.0 | J kg−1 K−1 |
| Thermal conductivity λabs | 0.14 | W m−1 K−1 |
| Paddy rice [28] | ||
| Density ρpad | 609.0 | kg m−3 |
| Specific heat cpad | 2000.0 | J kg−1 K−1 |
| Thermal conductivity λpad | 0.12 | W m−1 K−1 |
| Asphalt [39] | ||
| Density ρasp | 2282.0 | kg m−3 |
| Specific heat casp | 959.0 | J kg−1 K−1 |
| Thermal conductivity λasp | 1.30 | W m−1 K−1 |
| Soil [40] | ||
| Density ρsoi | 2650.0 | kg m−3 |
| Specific heat csoi | 870.0 | J kg−1 K−1 |
| Thermal conductivity λsoi | 2.50 | W m−1 K−1 |
| Parameter | Dry Season | Rainy Season |
|---|---|---|
| Moisture content w.b., % | 18.0 | 22.5 |
| Humidity ratio, kg kg−1 | 0.015 | 0.020 |
| Drying time, h | 32 | 48 |
| Batch | Date | Drying Period h | Initial MCw.b. % | Variables | R2 | RMSE °C, % | MAPE % |
|---|---|---|---|---|---|---|---|
| 1 | 30 October 2013 | 27.0 | 22.3 | Tabs | 0.85 | 2.7 | 1.5 |
| Tpad | 0.73 | 5.8 | 6.5 | ||||
| MCw.b | 0.82 | 1.4 | 7.4 | ||||
| 2 | 5 November 2013 | 29.0 | 22.5 | Tabs | 0.91 | 2.7 | 0.2 |
| Tpad | 0.79 | 6.6 | 6.3 | ||||
| MCw.b | 0.84 | 1.2 | 3.1 | ||||
| 3 | 15 November 2013 | 29.5 | 22.5 | Tabs | 0.90 | 2.2 | 0.4 |
| Tpad | 0.85 | 5.1 | 6.9 | ||||
| MCw.b | 0.96 | 0.5 | 0.9 |
Publisher’s Note: MDPI stays neutral with regard to jurisdictional claims in published maps and institutional affiliations. |
© 2021 by the authors. Licensee MDPI, Basel, Switzerland. This article is an open access article distributed under the terms and conditions of the Creative Commons Attribution (CC BY) license (https://creativecommons.org/licenses/by/4.0/).
Share and Cite
Salvatierra-Rojas, A.; Ramaj, I.; Romuli, S.; Müller, J. CFD-Simulink Modeling of the Inflatable Solar Dryer for Drying Paddy Rice. Appl. Sci. 2021, 11, 3118. https://doi.org/10.3390/app11073118
Salvatierra-Rojas A, Ramaj I, Romuli S, Müller J. CFD-Simulink Modeling of the Inflatable Solar Dryer for Drying Paddy Rice. Applied Sciences. 2021; 11(7):3118. https://doi.org/10.3390/app11073118
Chicago/Turabian StyleSalvatierra-Rojas, Ana, Iris Ramaj, Sebastian Romuli, and Joachim Müller. 2021. "CFD-Simulink Modeling of the Inflatable Solar Dryer for Drying Paddy Rice" Applied Sciences 11, no. 7: 3118. https://doi.org/10.3390/app11073118
APA StyleSalvatierra-Rojas, A., Ramaj, I., Romuli, S., & Müller, J. (2021). CFD-Simulink Modeling of the Inflatable Solar Dryer for Drying Paddy Rice. Applied Sciences, 11(7), 3118. https://doi.org/10.3390/app11073118
