Abstract
Over recent decades, the increasing competitiveness of markets has propagated the term “lean” to describe the management concept for improving productivity, quality, and lead time in industrial as well as services operations. Its overuse and linkage to different specifiers (surnames) have created confusion and misunderstanding as the term approximates pragmatic ambiguity. Through a systematic literature review, this study takes a historical perspective to analyze 4962 papers and 20 seminal books in order to clarify the origin, evolution, and diversification of the lean concept. Our main contribution lies in identifying 17 specifiers for the term “lean” and proposing four mechanisms to explain this diversification. Our research results are useful to both academics and practitioners to return to the Lean origins in order to create new research areas and conduct organizational transformations based on solid concepts. We conclude that the use of “lean” as a systemic thinking is likely to be further extended to new research fields.
1. Introduction
Over recent decades, markets have become more and more competitive as they progressively demand customized products and services at lower prices and with shorter delivery times [1]. In the operations field, lean has become a widespread management system that is suitable for achieving these competitiveness targets [2,3,4] through more efficient processes, shorter lead times, and greater flexibility in supplying a wide variety of products and services in small quantities [5].
As a consequence, the management concept of lean has spread profusely throughout industry and services over the last 40 years [3]. A huge amount of research is now available for scholars and practitioners, with the present work having identified 4962 academic papers with “lean” in the title and “lean manufacturing” generating 8,910,000 results through a Google search.
When a term becomes popular and fashionable, its overuse runs the risk of devaluing its original meaning and may create inconsistencies and ambiguities [6,7]. In addition, the term “lean” leads to more semantic confusion because it is frequently joined with specifiers by way of “surnames” related to a wide variety of fields and uses.
In practice, the term “lean” approximates pragmatic ambiguity, as described by Giroux [8] and similarly assessed in terms of the lean culture concept by Dorval et al. [9]. What is even worse, as Schonberger recently warns [7], it may be in risk of disintegration.
Indeed, this misunderstanding is one of the issues that lean practitioners face when implementing an organizational change and they need to align lexicon and terminology with common conceptions [4].
The objective of this study is to provide a historical perspective on the lean concept by clarifying its origins, evolution, and how it became diversified from its original concept up until today. Furthermore, this research aims to help scholars, practitioners, and managers seeking to return to the lean origins in order to better understand the evolution and current state of this field of knowledge.
From a methodological point of view, this research has followed the principles of the systematic literature review (SLR). Templier and Paré [10] have classified literature reviews into four types: narrative (summarizes previous published research); developmental (provides new conceptualizations or methodological approaches); cumulative (compiles empirical evidence and draws conclusions about a topic of interest); and aggregative (tests specific research hypotheses or propositions, with three subtypes: systematic, meta-analysis and umbrella review). The historical approach of this research falls under both cumulative and aggregative literature reviews.
Tranfield et al. [11] propose methodologically adapting SLR from medical science to management science, while Denver and Transfield [12] developed their method even further. SLR has been used in previous studies on lean topics [3,4,9,13,14,15]. This study follows the SLR methodology as defined by Denver and Tranfield [12], and it uses the PRISMA 2020 checklist [16] to ensure that a rigorous SLR process has been used.
2. Materials and Methods
We conducted an SLR in accordance with the five steps proposed by Denyer et al. [12]: question formulation; locating studies; study selection and evaluation; analysis; synthesis; reporting; and using results.
2.1. Question Formulation
As introduced above, this study aims to answer the following research questions:
- RQ1: What is the historical origin of the term “lean”?
- RQ2: What are the previously used terms (if any) for the lean concept?
- RQ3: How has the term “lean” evolved over time?
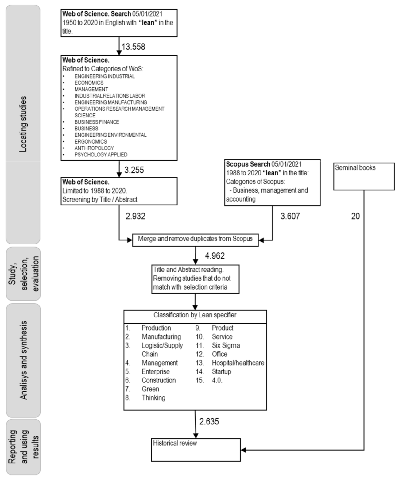
2.2. Locating Studies
Three bibliographical materials have been used:LISTORDE
- English language records at the Web of Science database from 1950 to 2020.
- English language records at the Scopus database from 1987 to 2020.
- Books: We analyzed a collection of 20 seminal hardcopy books published between 1977 and 2020.
2.2.1. Locating Database Records
As proposed by Sinha et al. [17] (p. 304), we searched for the keyword “lean” in titles to ensure our focus on both the historical interest and evolution of the topic. A first search on Web of Science conducted on 5 January 2021 provided 13,558 records containing the word “lean” in the title. An initial quick review showed that “lean” is a popular term in other disciplines too. Therefore, our search was refined to some related WoS categories. The final search string is shown in Figure 1.
Figure 1.
Web of Science search string.
This second bounded search on 5 January 2021 provided a total of 3255 records, which we transferred to a spreadsheet for analysis and classification.
In a first analysis, the most cited studies were analyzed [1,5,6,8,18,19] to uncover any general agreement on the origins of the term “lean” in the field of management, by which we found it was first coined in 1988.
Even though records from 1950 to 1988 were reviewed, only one similar and metaphorical use of “lean” was found [20]: “Managerial Productivity: Who Is Fat and What Is Lean?”. However, this instance in management research was not fully associated with its later use in operations management where it was fully developed.
We performed a manual review based on the WoS category and title analysis in order to remove any records of non-related topics (e.g., combustion, food, information, chemicals, etc.). Works published ahead of print (early access) were discarded. Finally, 2932 records were retained for further analysis.
Similarly, a Scopus database search was made on the same date (5 January 2021) for studies published in the English language after 1987, restricting these to items labelled as articles, conference papers, and reviews. These were further limited to the subject areas of business, management, and accounting. The Scopus search string is shown in Figure 2.
Figure 2.
Scopus search string.
The records were transferred to a spreadsheet, merged with those from the WoS search, and redundancies were removed. Finally, a total of 4962 records were kept for further analysis.
A first manual review based on reading the titles and, if necessary, the abstract allowed us to determine the selection criteria for the records, as described in Section 2.3.
The SLR process is shown in Figure 3.
Figure 3.
SLR process overview.
2.2.2. Books
Books were collected based on the Holweg’s list [19] (p. 434), new titles were added to this list. A total of 20 seminal hardcopy books were analyzed. Books were gathered from private collections or were acquired at https://www.bookfinder.com/ (accessed on 5 September 2021).
2.3. Study Selection and Evaluation
To select the relevant records associated with the research questions, their titles and abstracts were analyzed. The following selection criteria were defined:
- The title allows confirming that the term “lean” is used as a managerial concept.
- The abstract confirms that the term “lean” is related to operations management.
To avoid bias, if neither title nor abstract allowed classifying the record, it was removed.
2.4. Analysis and Synthesis
After selection was done, the database records were analyzed based on the bibliometric measure “papers-per-year” (Figure 4).
Figure 4.
Evolution of papers per year that include “lean” in the title over the study period (1988–2020).
During our analysis of the titles, the main lean specifiers (“surnames”) were found and we accordingly classified the records under the following categories (by chronological order of appearance): production, manufacturing, logistics/supply chain, management, enterprise, construction, green, thinking, product, service, six sigma, office, healthcare/hospital, start up, 4.0.
To facilitate the historical analysis, we created a general chart split into categories (Figure 5): the most relevant categories are represented by a line starting at the year of their foundational paper or book; the line thickness is proportional to the paper-per-year bibliometric (see scale in the same Figure 5).
Figure 5.
Historical evolution of the main lean categories and their foundational works.
3. Results
3.1. Origin and Previously Used Terms for the Lean Concept in Operations Management
In answering RQ1 (What is the historical origin of the term “lean”?), we found a general consensus [1,2,6,13,19,21,22] that the term “lean” was coined in the International Motor Vehicle Program (IMVP) and published for the first time in 1998 by John F. Krafcik, in the academic paper titled Triumph of the Lean Production System, when he stated “lean typology builds on the work of International Motor Vehicle Program researchers Haruo Shimada and John Paul Max Duffie, who use the terms ‘robust’ and ‘fragile’ to denote similar concepts” [23] (p. 51). Here, Krafcik is referring to the 1986 working paper Industrial Relations and “Humanware” [24].
The word “lean” was chosen for its more positive sense [19] (p. 426) or, as suggested by New, “as an acceptable way of describing Toyota production system without offending the other sponsors of the IMVP” [22] (p. 3547).
Therefore, to answer RQ2 (What are the previously used terms (if any) for the lean concept?), we must return to the foundations of the Toyota Production System. There is wide agreement [5,6,9,22] that the first English language paper introducing the term “Toyota production system” (TPS) was presented in Tokyo by Sugimori et al. in 1977 [25]: Toyota Production System and Kanban System. Materialization of Just-in-Time and Respect-for-Human System. This seminal paper based TPS on two pillars: just-in-time and respect-for-humans. The authors acknowledged Taiichi Ohno as having been the promoter and leader of TPS since at least 1957.
Ohno’s seminal 1978 book (published only in Japanese) was Toyota seisan hoshiki: Datsukibo no keiei wo mezashite [26], and his first paper translated to English dates back to 1982 [27] (How the Toyota Production System Was Created, republished in The Anatomy of Japanese Business in 1984 [28]). This early translation offered an alternative and more accurate translation to just-in-time: “right on time” which was not adopted.
The first book in the English language describing TPS was published in 1981 by Shigeo Shingo: Study of “TOYOTA”, Production System from Industrial Engineering Viewpoint [29]. He acknowledged Ohno as the promoter of TPS (pp. 19–32) and postulated that his own book would provide a more practical explanation. It was a highly influential book in which Shingo insisted repeatedly on an essential systemic view in order to understand TPS. This book was republished with a better English translation in 1989 by Productivity Press [29].
In 1983, Yasuhiro Monden published Toyota Production System: Practical Approach to Production Management [30]. The foreword by Ohno highlighted the excellent conceptualization of the TPS. Without losing the holistic vision, tools and methodologies were profusely described.
The first Western researchers interested in the topic were very influenced by these early books, and they published their works in the period between 1983 and 1988, during which different “nicknames” were used to refer to the TPS:
- Japanese Manufacturing Techniques, by Schonberger (1982) is the first book written in English and it described “stockless production” and “JIT Production” [31] (p. 17).
- Hall, in his book Zero Inventory (1983) [32] (p. 1) adopted the term “stockless production”. In another book, Attaining Manufacturing Excellence (1987) [33] (p. 23), he summarized the most used terms at the time: “manufacturing excellence”, “value-added manufacturing”, “continuous improvement manufacturing”, and “JIT/TQ”.
- Cusumano’s book The Japanese Automobile Industry (1985) [34] (pp. 262–307) described the foundations and evolution of TPS with a historical perspective, although he did not propose any alternative terms.
- In the context of IMTV, “fragile production” was already being used in 1986 [24].
From 1985 to 1990, different TPS tools were documented in detail, thus providing progressively greater understanding but fragmenting the overall vision by “using the part for the whole”, as Shah [6] (p. 786) suggested. Some examples of these TPS tools are: SMED (1985) [35], Kanban (1986) [36], Kaizen (1986) [37], and TPM (1988) [38].
In 1988, the English translation [39] of Ohno’s [26] book was published: Toyota Production System: Beyond Large-Scale Production.
To summarize the answer to RQ2, the lean production system can be considered a way of naming the Toyota production system without naming Toyota. With the same intention, other terms were proposed prior to 1988 by taking some of the more relevant parts of the system as inspiration: Japanese manufacturing techniques, stockless production, JIT production, value-added production, continuous improvement manufacturing, non-stock production, fragile production.
3.2. Answering RQ3. Historical Evolution of the Term “Lean”
As already pointed out, the expression “lean production system” was coined by Krafcik in 1988 [23]. The seminal and best-selling book, The Machine that Changed the World [21], popularized the term “lean production”; and earlier similar expressions were completely abandoned (with the only exception being just-in-time, which survived in the supply chain literature until now).
Womack et al. [21] used the term “lean production” in contrast to “mass production” with the intentions of setting a benchmark, although the original systemic vision was lost. This is probably the first symptom of the “lack of distinction between the systems and its components” as Sha et al. [6] suggested.
Thus, 1990 can be considered the year when the term “lean” became popularized as an operations management concept. From 1990 to 1995, the term “lean” was adopted in the literature mainly as “lean production”. The first research papers focused on either supporting or questioning lean [40,41,42] while describing the first lean experiences and the limits of this practice [42].
In 1991, Delbridge et al. [43] introduced “lean manufacturing” as a synonym for “lean production”, and this term became more popular after 2000. Nowadays, “lean manufacturing” is the preferred expression for referring to lean in industrial operations (Figure 5).
From 1992 to 1996, some authors intended to upgrade lean to a more conceptual level by introducing the terms “lean management”, “lean enterprise” [44], and “lean thinking” [45]. This opened the door to using the term in non-manufacturing contexts, such as the services sector.
In parallel, the period 1994 to 2000 saw the first attempts to apply lean to different production contexts (lean construction) as well as to others outside pure production (lean logistics, lean supply chain) or by combining it with supplementary topics (lean and green, lean product, lean six sigma). The fragmentation of the lean system into its tools continued with books such as Lean Toolbox [46]
It was not until 2005 that the lean concept opened its scope to the services sector, mainly under the umbrella of lean six sigma, lean office, lean healthcare/hospital, and, recently, lean startup.
Finally, in 2017, lean 4.0 appeared as a promising way for new developments by fusing lean and Industry 4.0 technologies.
All in all, the term “lean”, which was initially conceptualized as a “lean production system”, has evolved from 1988 to 2020 as a “living concept”. This evolution can be ascribed to the following proposed mechanisms that mostly combined with each other over time:
- Expansion: extending the concept in the operations field.
- Transfer: applying the concept beyond production.
- Targeting: focusing the concept on a particular sector.
- Combination: merging the concept with other concepts.
Through analyses of the scientific literature, this work has identified the most important lean specifiers (“surnames”). They are presented in chronological order of their appearance and describe (a) the first record found in our database analyses; (b) the historical trajectory based on the most relevant publications; (c) the evolution mechanisms; and (d) the present situation in terms of research interests. A chart with the yearly evolution of papers-per-year complements the summary.
3.2.1. Lean Production (1988)
Introduced in 1988 by Krafcik as the “lean production system” [23], this expression was used as an alternative to the “Toyota production system”. It was fully adopted after publication of the seminal book The Machine that Changed the World [21], which described lean production (LP) as an alternative to mass production [2], whereby the original holistic approach of TPS was partially lost.
Interest in LP grew between 1992 and 1996 (see Figure 6), then diminished from 1997 to 2007. Since 2008, it has once again become of academic interest, along with lean manufacturing.
Figure 6.
Lean production vs. lean manufacturing evolution.
In 2007, Holweg [19] outlined a detailed historical evolution of the term, which was highly influenced by MIT research. The same year, Sha et al. [6] analyzed the historical context and reported for the first time the semantic confusion surrounding the term “lean production” while also reinforcing the conception of lean “as a system”, for which he identified 10 dimensions useful to researchers.
In 2013, Marodin et al. [47] identified six research areas in the field and provided another warning about the system conception becoming fragmented and dissociated. In 2015, Jasti et al. [1] concluded that LP continues to have a high impact on academia, practitioners, and consultants. They further propose a holistic rather than “bits-and-pieces” approach [1] (p. 16).
In 2015, The Analysis of Industry 4.0 and Lean Production [48] presented the first comparative study between LP and I4.0. With 17 papers published in the last 5 years, the interrelationship between LP and I4.0 has clearly awakened new interest in this research field [49,50].
3.2.2. Lean Manufacturing (1993)
In 1993, Powell introduced lean manufacturing (LM) in a similar sense to lean production: Lean Manufacturing Organization, 21st Century [51].
In 2003, [52], Shah et al. also used this term with the same meaning as lean production and focused the topic on factory management. In 2013, Bhamu et al. [5] presented the evolution of LM definitions.
The most recent main reviews of lean manufacturing that confirm this equivalence with lean production were published between 2019 and 2020 [3,4,5,53]. These reviews are perhaps targeted more to the fields of industry and, specifically, factory management.
In 2016 [54], the first linkage with Industry 4.0 was made. Until 2020, the relationships between LM and Industry 4.0 were explored. In the last one, published in 2020 [55], Valamede et al. offered a holistic view toward integrating both concepts.
As a conclusion, lean manufacturing can be considered synonymous with lean production, although targeted more at factory operations. After 2000, is the preferred term in the academic literature when referring to lean in the industrial field (Figure 6). That is probably to distinguish the production of goods, since the term “production” is used more and more in the service industries.
3.2.3. Lean Logistics (1994), Lean Supply (1996) and Lean Supply Chain (1999)
The first paper on lean logistics (LL) was authored by Fynes et al. in 1994, From Lean Production to Lean Logistics: The Case of Microsoft Ireland [56], which illustrated the expansion from production to supply chain management.
In 1996, the first paper to use using “lean supply” was Squaring Lean Supply with Supply Chain Management [57], in which the authors extended the concept to supply chain management.
In 1999, the first paper to use “lean supply chain” (LSC) was Vertical Integration in a Lean Supply Chain: Brazilian Automobile Component Parts [58], which related the term “lean” to a broader perspective on supply chain management.
The three surnames can be considered quite equivalent, in that they focus on: the efficiency of material flows inside and outside the factory; the integration and development of suppliers; and the integration of different actors and information across the supply chain [59].
García Buendía et al. (2020) [60] presented a conceptual evolution map of the concepts behind lean supply chain management over the last 22 years.
Relationships between lean supply chain and I4.0 have appeared in recent years in publications on different topics, such as the impact of these on performance improvement [61,62,63,64] and their further relationships with information and digital technologies [63].
To conclude, these specifiers appeared as lean expanded to supply chain management: “Lean logistics […] is based around extended TPS right along supply chain from customers right back to raw material extraction” [64] (p. 171).
The three surnames in this field extend lean perspective to supply chain management, with interest having increased moderately since 2007 (Figure 7).
Figure 7.
Lean logistics and lean supply chain evolution.
3.2.4. Lean Management (1994)
The origins of the term “lean management” (LMg) are unclear. The first reference in the English language academic literature was introduced by Petrovic et al. in 1994: Business Process Re-Engineering as an Enabling Factor for Lean Management [65]. Nevertheless, the German literature has used this term since 1992. It seems to be a first attempt at shifting towards a more managerial concept in a similar way as the later emergence of lean enterprise or lean thinking.
In any case, it was not until 2008 that the literature showed consistent interest in the topic.
In 2014, Martinez-Jurado et al. [66] presented the term in association with organizational sustainability. More recently in 2019, Sinha et al. [17] considered lean management to be an extension “into an inter-disciplinary subject with linkages to operations management, organizational behaviour, and strategic management”.
In 2016, the first paper on LMg and I4.0 was published: Industry 4.0. The End Lean Management? [67], concluding at the time that the correlations between both concepts were low.
As a conclusion, lean management can be considered as a transfer to a more managerial approach. It refers to adopting lean principles in order to manage an entire organization. Although quite neglected until 2008, it has generated growing interest in the past decade, at least, up until 2019 (Figure 8).
Figure 8.
Lean management evolution.
3.2.5. Lean Entreprise (1994)
The expression “lean enterprise” (LE) was coined in 1994 by Womack and Jones in their book From Lean Production to the Lean Enterprise [44], in which lean shifts toward a more abstract concept: “the lean enterprise is a group of individuals, functions, and legally separate but operationally synchronized companies that creates, sells, and services a family of product”.
As a conclusion, lean enterprise can be considered a transfer to a more abstract concept. The term has not been widely adopted in literature, but it remains alive, as evidenced in the last review published in 2020 [68] and the first proposals linking LE with 4.0 technologies [69] (Figure 9).
Figure 9.
Lean enterprise evolution.
3.2.6. Lean Construction (1994)
The first indexed reference to lean construction (LC) dates back to 1994, when Koskela published the proceedings paper Lean Construction [70], which placed lean production in the particular context of a product (a building) that cannot be moved in a continuous flow.
It was not until 2002 when research attention returned to the topic [71], and in 2006 Salem et al. [72] proposed a practical view toward implementing lean tools.
In 2019, Koskela presented an epistemological perspective not only on LC but also on lean and its Japanese origins [73]. In 2020, Lekan et al. [74] proposed “Construction 4.0” as the link between LC and “Industry 4.0” with the aim to go further in construction operations efficiency.
The last review [75] was published in 2020, and it explored the barriers to implementing LC.
As a conclusion, lean construction targeted this specific sector in which the product cannot be moved in a continuous flow. It adapts lean principles and tools to this particular production process. It was quite ignored until 2008, but the topic has generated moderately increasing interest in the past decade, recently linked with I4.0 (Figure 10).
Figure 10.
Lean construction evolution.
3.2.7. Lean and Green (1996)
Lean and green (L&G) appeared in a 1996 Florida publication [76]: Lean and Green: The Move to Environmentally Conscious Manufacturing. It integrates process improvements with reductions in environmental impact.
The first publications on L&G focused on how to establish a link between lean principles and environmental practices, with an emphasis mainly on manufacturing [77] and supply chain management [78].
Interest in the topic has increased since 2013, and the first literature review (in 2015) [79] proposed it as a specialized research area. In 2019, Farias et al. developed a systemic approach [80,81].
Recently the scope has been extended to products and services [82], as well as combined with Industry 4.0 issues [83,84]
As a conclusion, lean and green (sometimes green lean) emerged as a combination with environmental and sustainability concepts. It refers to the synergy between lean and environmental preservation. More specifically, it focuses on how lean practices can contribute to reducing environmental impact while maintaining profits primarily in operations, but also in services and product design. The topic has generated increasing research interest since 2013 (Figure 11).
Figure 11.
Lean and green evolution.
3.2.8. Lean Thinking (1996)
Lean thinking (LT) was introduced in 1996 by Womack and Jones [45] in their best-selling book Lean Thinking: Banish Waste and Create Wealth in Your Corporation. With intentions similar to lean enterprise, the term can be considered a shift toward a philosophy of eliminating waste in organizations. This way of thinking is structured in five steps: specify value; identify the value stream; flow; pull; and pursue perfection.
The first indexed article is from 1997 [85], and it analyzes the impact of LT and LE on the marketing processes. In 2004, Hines et al. [18] published a very detailed study on the topic, beginning with its genesis and moving on to identify both the successes and difficulties of Western companies applying LT. The last review was published in 2020 [86], and it explored the synergies between LT and Industry 4.0 while further suggesting how LT could trigger I4.0 solutions.
As a conclusion, lean thinking is a transfer to a more abstract approach. It refers to adopting a way of thinking in order to make radical improvements in any organization. Research interest in this topic has remained moderate and stable in the past decade (Figure 12).
Figure 12.
Lean thinking evolution.
3.2.9. Lean Product (1996)
The first paper, The Difficult Path to Lean Product Development, by Karlsson et al. [87], introduced the expression “lean product” in 1996 as an extension to product development. It refers to fast, efficient, and low-cost product development [88].
The concept was created for physical goods and generated low interest among researchers until 2006. The same year, Liker et al. [89] proposed the concept in order to go “beyond manufacturing to any technical or service” with a systemic view toward “integrating people, process and tools”.
The first review in 2011 [88] showed the historical links between LP and TPS while presenting a list of conceptual principles.
In 2015, Sassanelli et al. [90] introduced a systemic view that focused particularly on services as a lean product service system. This approach was recently analyzed in the latest systematic reviews on the topic [91].
As a conclusion, lean product extends to product development in terms of both goods and services. It has generated moderate and stable interest since 2006 (Figure 13).
Figure 13.
Lean product evolution.
3.2.10. Lean Service (1998)
Lean service (LSe) was proposed in 1998 by Bowen et al. in their article Lean Service: In defense of a Production-line Approach [92] in order to extend lean to industrial services. The next indexed paper was published in 2003: The Lean Service Machine [93], which adapted lean production to an insurance company (JPF).
LSe refers to applying lean principles and tools toward the improved efficiency of non-manufacturing services [94] such as insurance firms [93], call centers [95], financial services [96], banking, and healthcare services [97].
A systematic review published in 2016 [98] concluded that lean was applicable in services with limitations, and it identified LSe as a nascent research area.
As a conclusion, lean services transfer from manufacturing to service processes. It refers to applying lean manufacturing principles and tools that have been adapted to services production. Researchers have shown little interest in it, probably because this perspective is also explored by lean six sigma scholars (Figure 14).
Figure 14.
Lean services evolution.
3.2.11. Lean Six Sigma and Lean Sigma (2000)
The first published reference to this field appeared in 2000 as “lean sigma” [99] in the article “Lean Sigma Synergy”; but it was not until 2005 when the first indexed paper used “lean six sigma” (LSS) as “an approach focused on improving quality, reducing variation and eliminating waste in an organization” [100].
Lean six sigma merged lean and six sigma, which are two disciplines that, if not in opposition to each other, were at least in competition until 2003. In this year, the book Leaning into Six Sigma [101] attempted to join together the best practices from lean and six sigma [102].
After 2005, the concept has generated increasing interest among researchers, as shown in the evolution of published papers (particularly after 2013) in contexts of both manufacturing [103] and service [104]. Recent research has shown interest in the links with Industry 4.0 [105,106].
As a conclusion, lean six sigma and lean sigma is a combination of the principles and tools from lean manufacturing (reducing waste) and six sigma (reducing variability and promoting leadership). Originally created for manufacturing industries, it extended its implementation to services too. Interest in this topic has increased sharply between 2004 and 2019 (Figure 15).
Figure 15.
Lean six sigma evolution.
3.2.12. Lean Office (2005)
Lean office (LO) appeared in 2005 with the book The Lean Office [107], collecting practical cases from 2000 to 2004 of extending lean to non-manufacturing environments.
In 2011, Locher published Lean Office [108] with a methodological and holistic approach to apply lean in services, commercial and administrative environments.
The very limited academic literature available starts on 2006 with Herkommer et al., Lean Office-System [109] and focuses on surface optimization, workplace improvements [110], and information flows in administrative processes [111]. A systematic literature review published in 2019 [112] described implementation issues and areas of research.
As a conclusion, lean office is a transfer to non-manufacturing environments with a focus on improving efficiency at the administrative level. The scant academic interest in this topic lies in stark contrast to the term’s popularity among practitioners (Figure 16)
Figure 16.
Lean office evolution.
3.2.13. Lean Healthcare/Hospital (2008)
In 2008, Portioli-Staudacher used the term “lean healthcare” for the first time in the paper: Lean Healthcare. An experience in Italy [113] published as a lean approach to the healthcare sector. The paper did not focus on service improvement but in how to reduce inventories of drugs and other healthcare supplies by implementing tools from lean logistics.
In 2009, Mark Graban published the book Lean Hospitals [114] as a practical guide for adapting lean tools in hospital management.
In 2011 [115], lean healthcare was proposed as a more holistic system for improving healthcare organizations and how to assess them.
In 2016 [116], Costa et al. presented a review based on six parameters: research method, country, healthcare area, implementation, lean tools and methods, and results.
In 2020, Santos et al. [117] highlighted new research areas for the future.
As a conclusion, lean healthcare/hospital is a transfer to services, targeted on healthcare services, and it includes hospital management. It applies lean principles and tools toward improving patient care. Interest in it was very limited until 2015, and it has seen moderate growth in the last 3 years as new research proposals are put forth (Figure 17).
Figure 17.
Lean healthcare/hospital evolution.
3.2.14. Lean Startup (2011)
The first reference to the term “lean startup” in the research literature was by Blank in 2013, in Why the Lean Start-up Changes Everything [118]. The author expanded on the concept proposed by Ries in his 2011 book The Lean Startup [119], proposing it as a new methodology for launching companies faster and cheaper than the methods of a traditional business plan. As a consequence, the term can be considered a variation that applies lean principles to the launching of new businesses.
In 2017, Frederiksen et al. [120] presented evidence from the scientific literature for their in-depth look at the methodological proposals in Ries’s book.
In 2018, Bortolini et al. [121] clarified how the foundations of lean startup are linked with lean manufacturing: maximizing customer value while minimizing waste.
In 2020, Silva et al. [122] provided new perspectives on developing a business model and discussed complementary methodologies, such as agile methodologies and customer development.
As a conclusion, lean startup is a transfer to launching a new business. It uses lean principles to launch new business models while reducing time-to-market and minimizing initial investment and risks. Since its appearance in 2011, interest in the topic has seen sustained growth (Figure 18).
Figure 18.
Lean startup evolution.
3.2.15. Lean 4.0 (2017)
Lean 4.0 (L4.0) is the most recent specifier. It was introduced in 2017 by Metternich et al. [123] in the German language paper Lean 4.0—Between Contradiction and Vision, which combined lean with Industry 4.0 (I4.0). The authors reflect on the compatibility between lean philosophy and technologies under the umbrella of I4.0, concluding that lean appears to be a prerequisite for digitization.
In 2018, Mayr et al. [124] agreed that lean enabled the successful introduction of I4.0 and concluded that both views complement each other. They present a detailed overview on how the most relevant lean tools can be complemented with I4.0 technologies.
In 2020, Valamede et al. [125] went further by taking a holistic view to identify 25 synergy points between lean tools and 4.0 technologies. Perico et al. [126] proposed new perspectives on how to incorporate artificial intelligence to support human decisions in key lean 4.0 topics (production control, maintaining continuous pull flow, and early prediction of machine failure). Under the denomination “lean Industry 4.0”, Ejsmont et al. [127] identified the research trends combining “lean management” and I4.0. to go further in reducing waste to achieve a new level of operational excellence.
At the present moment, only four papers have been found with “lean 4.0” in the title, although increasing interest (see Figure 19) is being generated in the relationships between Industry 4.0 and different lean aspects: lean production [49,128], lean manufacturing [54,129], lean and green [85,130], lean construction [74], lean enterprise [70], lean healthcare [131], lean management [132], lean six sigma [133], lean supply chain [64], and lean thinking [86].
Figure 19.
Papers about relationships between lean and Industry 4.0.
In total, 83 papers have been identified linking “lean” and I4.0. An analysis based on the address of the corresponding author shows countries leading the research in this topic: Germany is in the first position as the term “Industry 4.0” was coined in Germany. Nevertheless, an arising interest is shown in different nations, particularly in Brazil, Portugal and Italy (see Figure 20).
Figure 20.
Papers linking lean and Industry 4.0 by corresponding author’s country (2015–2020).
As a conclusion, lean 4.0 is a combination of lean manufacturing (or lean production) principles and tools with Industry 4.0 technologies. It deals with the synergies and complementarity of I4.0 with lean with the intention of reducing waste and complexity. It appears to be a promising field of research in the coming years.
4. Conclusions
This article explores the origins and diversification of the term “lean” as a management concept, in both the manufacturing and service sectors. It takes a historical perspective in answering three research questions. To achieve this, 4.962 indexed records and 20 seminal books were analyzed by following a systematic literature review methodology.
Our research questions can be answered as follows:
About the historical origin of the term “lean”: it was created in 1988 as “lean production system”, a generic denomination for the Toyota production system. The best-selling book, The Machine that Changed the World (1990), populated the term “lean production” by absorbing other alternative expressions that existed at that time.
The previously used terms (which had similar intentions of denominating the Toyota production system without naming Toyota) were: Japanese manufacturing techniques, stockless production, JIT production, value-added production, continuous improvement manufacturing, non-stock production, and fragile production.
Since 1990, the term lean has evolved over time. Its evolution and diversification can be explained through four mechanisms (combined over time): expansion, transfer, targeting, and combination. This resulted in the creation of a confusing puzzle of lean specifier.
This paper has outlined the paths of evolution by using the most cited specifiers in the academic literature:
- Between 1990 and 2000, the term lean remained mainly in its original field of operations management, with the following specifiers: lean production, lean manufacturing, lean logistics, lean supply chain, lean product, lean construction, and lean and green. The first attempt to upgrade the concept to a more conceptual level was greeted with initially limited academic interest: lean management, lean enterprise, and lean thinking.
- In 2000, the combined term “lean six sigma” emerged and up to the present has received much attention in both the manufacturing and service sectors.
- Since 2006, the term “lean” was progressively applied in the service field with new specifiers: lean service, lean hospital, lean healthcare, lean office, lean startup.
- The last specifier, lean 4.0., was created in 2017 as a synergetic combination between lean manufacturing (or lean production) and the Industry 4.0 paradigm. At the moment, it focuses only on the manufacturing field.
The term “lean”, as a management concept that allows organizations to remain competitive by removing waste from their processes, has been fully adopted by management researchers. Based on a bibliometric analysis of published papers-per-year, we can say that research interest in this topic has grown exponentially since 1988.
This paper reveals some implications for future research: The use of lean perspective can be further extended beyond its current development, adapting its principles and tools to different sectors or applications. The diversification mechanisms described above can open new research areas in a fast-changing, complex and competitive world. The lean approach combined with the new emerging disruptive technologies (so-called Industry 4.0) open new avenues for future research as intelligent construction, sustainability, smart cities, environmental improvement or public governance.
Author Contributions
Conceptualization, F.G.-V.; methodology, F.G.-V. and A.S.; formal analysis, J.A.Y.-F.; investigation, F.G.-V.; data curation, F.G.-V.; writing—original draft preparation, F.G.-V.; writing—review and editing, A.S.; supervision, J.A.Y.-F. All authors have read and agreed to the published version of the manuscript.
Funding
This paper was funded by the DGA-FSE (Diputación General de Aragón—Fondo Social Europeo) project T56_20R: Grupo de Ingeniería de Fabricación y Metrología Avanzada.
Institutional Review Board Statement
Not applicable.
Informed Consent Statement
Not applicable.
Conflicts of Interest
The authors declare no conflict of interest.
References
- Jasti, N.V.K.; Kodali, R. Lean production: Literature review and trends. Int. J. Prod. Res. 2014, 53, 867–885. [Google Scholar] [CrossRef]
- Moyano-Fuentes, J.; Sacristán-Díaz, M. Learning on lean: A review of thinking and research. Int. J. Oper. Prod. Manag. 2012, 32, 551–582. [Google Scholar] [CrossRef]
- Psomas, E.; Antony, J. Research gaps in Lean manufacturing: A systematic literature review. Int. J. Qual. Reliab. Manag. 2019, 36, 815–839. [Google Scholar] [CrossRef]
- Antony, J.; Psomas, E.; Garza-Reyes, J.A.; Hines, P. Practical implications and future research agenda of lean manufacturing: A systematic literature review. Prod. Plan. Control. 2020, 32, 889–925. [Google Scholar] [CrossRef]
- Bhamu, J.; Sangwan, K.S. Lean manufacturing: Literature review and research issues. Int. J. Oper. Prod. Manag. 2014, 34, 876–940. [Google Scholar] [CrossRef]
- Shah, R.; Ward, P.T. Defining and developing measures of lean production. J. Oper. Manag. 2007, 25, 785–805. [Google Scholar] [CrossRef]
- Schonberger, R.J.; Schonberger, R.J. The disintegration of lean manufacturing and lean management. Bus. Horizons 2019, 62, 359–371. [Google Scholar] [CrossRef]
- Giroux, H. ‘It Was Such a Handy Term’: Management Fashions and Pragmatic Ambiguity. J. Manag. Stud. 2006, 43, 1227–1260. [Google Scholar] [CrossRef]
- Dorval, M.; Jobin, M.-H.; Benomar, N. Lean culture: A comprehensive systematic literature review. Int. J. Prod. Perform. Manag. 2019, 68, 920–937. [Google Scholar] [CrossRef]
- Templier, M.; Paré, G. A Framework for Guiding and Evaluating Literature Reviews. Commun. Assoc. Inf. Syst. 2015, 37, 6. [Google Scholar] [CrossRef]
- Tranfield, D.; Denyer, D.; Smart, P. Towards a methodology for developing evidence-informed management knowledge by means of systematic review. Br. J. Manag. 2003, 14, 207–222. [Google Scholar] [CrossRef]
- Denyer, D.; Tranfield, D. Producing a Systematic Review. In The SAGE Handbook of Organizational Research Methods; SAGE: Thousand Oaks, CA, USA, 2009. [Google Scholar]
- Ciano, M.P.; Pozzi, R.; Rossi, T.; Strozzi, F. How IJPR has addressed ‘lean’: A literature review using bibliometric tools. Int. J. Prod. Res. 2019, 57, 5284–5317. [Google Scholar] [CrossRef] [Green Version]
- Danese, P.; Manfè, V.; Romano, P. A Systematic Literature Review on Recent Lean Research: State-of-the-art and Future Directions. Int. J. Manag. Rev. 2017, 20, 579–605. [Google Scholar] [CrossRef]
- Soliman, M.; Saurin, T. Lean production in complex socio-technical systems: A systematic literature review. J. Manuf. Syst. 2017, 45, 135–148. [Google Scholar] [CrossRef]
- Page, M.J.; McKenzie, J.E.; Bossuyt, P.M.; Boutron, I.; Hoffmann, T.C.; Mulrow, C.D.; Shamseer, L.; Tetzlaff, J.M.; Akl, E.A.; Brennan, S.E.; et al. The PRISMA 2020 statement: An updated guideline for reporting systematic reviews. BMJ 2021, 372, n71. [Google Scholar] [CrossRef]
- Sinha, N.; Matharu, M. A comprehensive insight into Lean management: Literature review and trends. J. Ind. Eng. Manag. 2019, 12, 302–317. [Google Scholar] [CrossRef]
- Hines, P.; Holweg, M.; Rich, N. Learning to evolve. Int. J. Oper. Prod. Manag. 2004, 24, 994–1011. [Google Scholar] [CrossRef] [Green Version]
- Holweg, M. The genealogy of lean production. J. Oper. Manag. 2006, 25, 420–437. [Google Scholar] [CrossRef]
- Sayles, L.R. Managerial Productivity: Who Is Fat and What Is Lean? Interfaces 1985, 15, 54–59. [Google Scholar] [CrossRef]
- Havn, E.; Womack, J.P.; Jones, D.T.; Ross, D. The Machine that Changed the World; Rawson Associates: New York, NY, USA, 1990. [Google Scholar]
- New, S.J. Celebrating the enigma: The continuing puzzle of the Toyota Production System. Int. J. Prod. Res. 2007, 45, 3545–3554. [Google Scholar] [CrossRef]
- Krafcik, J.F. Triumph of the lean production system. Sloan Manag. Rev. 1988, 30, 41–52. [Google Scholar]
- Shimada, H.; MacDuffie, J.P. Industrial Relations and ‘Humanware; Working Paper; Sloan School of Management: Cambridge, MA, USA, 1986. [Google Scholar]
- Sugimori, Y.; Kusunoki, K.; Cho, F.; Uchikawa, S. Toyota production system and Kanban system Materialization of just-in-time and respect-for-human system. Int. J. Prod. Res. 1977, 15, 553–564. [Google Scholar] [CrossRef] [Green Version]
- Ohno, T.I. Toyota Seisan Hoshiki: Datsu-Kibo no Keiei o Mezashite; DiamondYsha: Tokyo, Japan, 1978. [Google Scholar]
- Ohno, T. How the Toyota Production System was Created. Jpn. Econ. Stud. 1982, 10, 83–101. [Google Scholar] [CrossRef]
- Sato, K.; Hoshino, Y. The Anatomy of Japanase Business; M.E. Sharpe Inc.: Armonk, NY, USA, 1984. [Google Scholar]
- Shingo, S.; Dillon, A.P. A Study of the Toyota Production System: From an Industrial Engineering Viewpoint (Produce What Is Needed, When It’s Needed); CRC Press: Boca Raton, FL, USA, 1898. [Google Scholar]
- Monden, Y. Toyota Production System: Practical Approach to Production Management; Industrial Engineering and Management Press, Institute of Industrial Engineers: Atlanta, GA, USA, 1983. [Google Scholar]
- Schonberger, R.J. Japanese Manufacturing Techniques: Nine Hidden Lessons in Simplicity; The Free Press: New York, NY, USA, 1982. [Google Scholar]
- Hall, R.W. Zero Inventory; Dow Jones-Irwin Professional Pub: Homewood, IL, USA, 1983. [Google Scholar]
- Hall, R.W.; Hall, J. Attaining Manufacturing Excellence: Just-in-Time, Total Quality, Total People Involvement; Dow Jones-Irwin Professional Pub: Homewood, IL, USA, 1987. [Google Scholar]
- Cusumano, M.A. The Japanese Automobile Industry: Technology and Management at Nissan and Toyota. Council on East Asian Studies; Harvard University Press: Cambridge, MA, USA, 1985. [Google Scholar]
- Shingō, S. A Revolution in Manufacturing: The SMED System; Productivity Press: New York, NY, USA, 1985. [Google Scholar]
- Japan Management Association. Kanban Just-in Time at Toyota: Management Begins at the Workplace; Productivity Press: New York, NY, USA, 1986. [Google Scholar]
- Imai, M. Kaizen (Ky’zen): The Key to Japan’s Competitive Success; Random Housre Business Division: New York, NY, USA, 1986. [Google Scholar]
- Nakajima, S. Introduction to TPM: Total Productive Maintenance; Productivity Press: New York, NY, USA, 1988. [Google Scholar]
- Ohno, T. Toyota Production System: Beyond Large-Scale Production; Productivity Press: New York, NY, USA, 1988. [Google Scholar]
- Williams, K.; Haslam, C.; Williams, J.; Cultler, T.; Adcroft, A.; Johal, S. Against lean production. Econ. Soc. 1992, 21, 321–354. [Google Scholar] [CrossRef]
- Berggren, C. Lean Production—The End of History? Work. Employ. Soc. 1993, 7, 163–188. [Google Scholar] [CrossRef]
- Cusumano, M. The limits of “Lean”. Sloan Manag. Rev. 1994, 35, 4. [Google Scholar]
- Delbridge, R.; Oliver, N. Narrowing the gap? Stock turns in the Japanese and Western car industries. Int. J. Prod. Res. 1991, 29, 2083–2095. [Google Scholar] [CrossRef]
- Womack, J.P.; Jones, D.T. From lean production to the lean enterprise. IEEE Eng. Manag. Rev. 1996, 24, 4. [Google Scholar]
- Womack, J.P.; Jones, D.T. Lean Thinking: Banish Waste and Create Wealth in Your Corporation; Simon & Schuster: New York, NY, USA, 1996. [Google Scholar]
- Bicheno, J. The Lean Toolbox; PICSIE Books: Buckingham, UK, 1998. [Google Scholar]
- Marodin, G.A.; Saurin, T. Implementing lean production systems: Research areas and opportunities for future studies. Int. J. Prod. Res. 2013, 51, 6663–6680. [Google Scholar] [CrossRef]
- Hai, H.; Wenxing, L. The Analysis of Industry 4.0 and Lean Production. In Proceedings of the Second International Symposium-Management, Innovation and Development, Guangzhou, China, 1 December 2015. [Google Scholar]
- Rossini, M.; Costa, F.; Tortorella, G.; Portioli-Staudacher, A. The interrelation between Industry 4.0 and lean production: An empirical study on European manufacturers. Int. J. Adv. Manuf. Technol. 2019, 102, 3963–3976. [Google Scholar] [CrossRef]
- Ciano, M.P.; Dallasega, P.; Orzes, G.; Rossi, T. One-to-one relationships between Industry 4.0 technologies and Lean Production techniques: A multiple case study. Int. J. Prod. Res. 2020, 59, 1386–1410. [Google Scholar] [CrossRef]
- Powell, C. Lean Manufacturing Organization, 21st Century. In Proceedings of the Annual International Conference Proceedings-American Production and Inventory Control Society, 1 November 1993; Available online: https://www.amazon.com/International-Conference-Proceedings-INTERNATIONAL-PROCEEDINGS/dp/1558221042 (accessed on 28 October 2021).
- Shah, R.; Ward, P.T. Lean manufacturing: Context, practice bundles, and performance. J. Oper. Manag. 2002, 21, 129–149. [Google Scholar] [CrossRef]
- Jasti, N.V.K.; Kodali, R. A literature review of empirical research methodology in lean manufacturing. Int. J. Oper. Prod. Manag. 2014, 34, 1080–1122. [Google Scholar] [CrossRef]
- Sanders, A.; Elangeswaran, C.; Wulfsberg, J. Industry 4.0 implies lean manufacturing: Research activities in industry 4.0 function as enablers for lean manufacturing. J. Ind. Eng. Manag. 2016, 9, 811–833. [Google Scholar] [CrossRef] [Green Version]
- Valamede, L.S.; Akkari, A.C.S. Lean Manufacturing and Industry 4.0: A Holistic Integration Perspective in the Industrial Context. 2020, pp. 63–68. Available online: https://ieeexplore.ieee.org/abstract/document/9080393 (accessed on 28 October 2021).
- Fynes, B.; Ennis, S. From lean production to lean logistics: The case of microsoft Ireland. Eur. Manag. J. 1994, 12, 322–331. [Google Scholar] [CrossRef]
- Lamming, R. Squaring lean supply with supply chain management. Int. J. Oper. Prod. Manag. 1996, 16, 183–196. [Google Scholar] [CrossRef]
- Huallacháin, B.; Wasserman, D. Vertical Integration in a Lean Supply Chain: Brazilian Automobile Component Parts*. Econ. Geogr. 2008, 75, 21–42. [Google Scholar] [CrossRef]
- Perez, C.; De Castro, R.; Simons, D.; Gimenez, G. Development of lean supply chains: A case study of the Catalan pork sector. Supply Chain Manag. Int. J. 2010, 15, 55–68. [Google Scholar] [CrossRef]
- Garcia-Buendia, N.; Moyano-Fuentes, J.; Maqueira-Marín, J.M.; Cobo, M.J. 22 Years of Lean Supply Chain Management: A science mapping-based bibliometric analysis. Int. J. Prod. Res. 2020, 59, 1901–1921. [Google Scholar] [CrossRef]
- Tortorella, G.L.; Miorando, R.F.; Fries, C.E.; Vergara, A.M.C. On the relationship between Lean Supply Chain Management and performance improvement by adopting Industry 4.0 technologies. In Proceedings of the International Conference on Industrial Engineering and Operations Management, Paris, France, 26–27 July 2018. [Google Scholar]
- Tortorella, G. Erratum. Supply Chain Manag. Int. J. 2019, 24, 301. [Google Scholar] [CrossRef]
- Núñez-Merino, M.; Maqueira-Marín, J.M.; Moyano-Fuentes, J.; Martínez-Jurado, P.J. Information and digital technologies of Industry 4.0 and Lean supply chain management: A systematic literature review. Int. J. Prod. Res. 2020, 58, 5034–5061. [Google Scholar] [CrossRef]
- Jones, D.T.; Hines, P.; Rich, N. Lean logistics. Int. J. Phys. Distrib. Logist. Manag. 1997, 27, 153–173. [Google Scholar] [CrossRef]
- Petrovic, O.; Zsifkovits, H.E. Business process re-engineering as an enabling factor for lean management. In Proceedings of the IFIP TC8 Open Conference on Business Process Re-engineering: Information Systems Opportunities and Challenges, Queensland Gold Coast, Australia, 8–11 May 1994. [Google Scholar]
- Martínez-Jurado, P.J.; Moyano-Fuentes, J. Lean Management, Supply Chain Management and Sustainability: A Literature Review. J. Clean. Prod. 2014, 85, 134–150. [Google Scholar] [CrossRef]
- Martinez, F.; Jirsak, P.; Lorenc, M. Industry 4.0. the End Lean Management? In The 10th International Days of Statistics and Economics; Melandrium: Prague, Czech Republic, 2016; pp. 1189–1197. [Google Scholar]
- Jasti, N.V.K.; Kota, S.; Kale, S.R. Development of a framework for lean enterprise. Meas. Bus. Excel. 2020, 24, 431–459. [Google Scholar] [CrossRef]
- Dombrowski, U.; Wullbrandt, J.; Fochler, S. Center of Excellence for Lean Enterprise 4.0. Procedia Manuf. 2019, 31, 66–71. [Google Scholar] [CrossRef]
- Koskela, L. Lean production in lean construction. In Proceedings of the National Construction and Management Conference, Sydney, Australia, 17–18 February 1994. [Google Scholar]
- Thomas, H.R.; Horman, M.J.; De Souza, U.E.L.; Završki, I. Reducing Variability to Improve Performance as a Lean Construction Principle. J. Constr. Eng. Manag. 2002, 128, 144–154. [Google Scholar] [CrossRef]
- Salem, O.; Solomon, J.; Genaidy, A.; Minkarah, I. Lean Construction: From Theory to Implementation. J. Manag. Eng. 2006, 22, 168–175. [Google Scholar] [CrossRef] [Green Version]
- Koskela, L.; Ferrantelli, A.; Niiranen, J.; Pikas, E.; Dave, B. Epistemological Explanation of Lean Construction. J. Constr. Eng. Manag. 2019, 145, 04018131. [Google Scholar] [CrossRef]
- Lekan, A.; Clinton, A.; Fayomi, O.S.I.; James, O. Lean Thinking and Industrial 4.0 Approach to Achieving Construction 4.0 for Industrialization and Technological Development. Buildings 2020, 10, 221. [Google Scholar] [CrossRef]
- Mano, A.P.; Da Costa, S.E.G.; De Lima, E.P. Criticality assessment of the barriers to Lean Construction. Int. J. Prod. Perform. Manag. 2020, 70, 65–86. [Google Scholar] [CrossRef]
- Florida, R. Lean and Green: The Move to Environmentally Conscious Manufacturing. Calif. Manag. Rev. 1996, 39, 80–105. [Google Scholar] [CrossRef]
- King, A.A.; Lenox, M.J. Lean and green? An empirical examination of the relationship between lean production and environmental performance. Prod. Oper. Manag. 2009, 10, 244–256. [Google Scholar] [CrossRef]
- Kainuma, Y.; Tawara, N. A multiple attribute utility theory approach to lean and green supply chain management. Int. J. Prod. Econ. 2006, 101, 99–108. [Google Scholar] [CrossRef]
- Garza-Reyes, J.A. Lean and green—A systematic review of the state-of-the-art literature. J. Clean. Prod. 2015, 102, 18–29. [Google Scholar] [CrossRef] [Green Version]
- Farias, L.M.S.; Santos, L.C.; Gohr, C.F.; de Oliveira, L.C.; Amorim, M.H.D.S. Criteria and practices for lean and green performance assessment: Systematic review and conceptual framework. J. Clean. Prod. 2019, 218, 746–762. [Google Scholar] [CrossRef]
- Farias, L.M.S.; Santos, L.C.; Gohr, C.F.; Rocha, L.O. An ANP-based approach for lean and green performance assessment. Resour. Conserv. Recycl. 2018, 143, 77–89. [Google Scholar] [CrossRef]
- Moro, S.R.; Cauchick-Miguel, P.A.; Campos, L.M.S. Product-service systems towards eco-effective production patterns: A Lean-Green design approach from a literature review. Total. Qual. Manag. Bus. Excel. 2019, 32, 1046–1064. [Google Scholar] [CrossRef]
- Duarte, S.; Cabrita, M.D.R.; Cruz-Machado, V. Business Model, Lean and Green Management and Industry 4.0: A Conceptual Relationship. Adv. Intell. Syst. Comput. 2019, 1, 359–372. [Google Scholar] [CrossRef]
- Leong, W.D.; Teng, S.Y.; How, B.S.; Ngan, S.L.; Rahman, A.A.; Tan, C.P.; Ponnambalam, S.; Lam, H.L. Enhancing the adaptability: Lean and green strategy towards the Industry Revolution 4.0. J. Clean. Prod. 2020, 273, 122870. [Google Scholar] [CrossRef]
- Piercy, N.F.; Morgan, N.A. The impact of lean thinking and the lean enterprise on marketing: Threat or synergy? J. Mark. Manag. 1997, 13, 679–693. [Google Scholar] [CrossRef]
- Bittencourt, V.L.; Alves, A.; Leão, C.P. Industry 4.0 triggered by Lean Thinking: Insights from a systematic literature review. Int. J. Prod. Res. 2020, 59, 1496–1510. [Google Scholar] [CrossRef]
- Karlsson, C.; Ahlstrom, P. The difficult path to lean product development. J. Prod. Innov. Manag. 1996, 13, 283–295. [Google Scholar] [CrossRef]
- León, H.C.M.; Farris, J.A. Lean Product Development Research: Current State and Future Directions. Eng. Manag. J. 2011, 23, 29–51. [Google Scholar] [CrossRef]
- Liker, J.K.; Morgan, J.M. The Toyota Way in Services: The Case of Lean Product Development. Acad. Manag. Perspect. 2006, 20, 5–20. [Google Scholar] [CrossRef] [Green Version]
- Sassanelli, C.; Pezzotta, G.; Rossi, M.; Terzi, S.; Cavalieri, S. Towards a Lean Product Service Systems (PSS) Design: State of the Art, Opportunities and Challenges. Procedia CIRP 2015, 30, 191–196. [Google Scholar] [CrossRef] [Green Version]
- Sassanelli, C.; Rossi, M.; Pezzotta, G.; Pacheco, D.; Terzi, S. Defining lean product service systems features and research trends through a systematic literature review. Int. J. Prod. Lifecycle Manag. 2019, 12. [Google Scholar] [CrossRef]
- Bowen, D.E.; Youngdahl, W.E. “Lean” service: In defense of a production-line approach. Int. J. Serv. Ind. Manag. 1998, 9, 207–225. [Google Scholar] [CrossRef]
- Swank, C.K. The lean service machine. Harv. Bus. Rev. 2003, 81, 123. [Google Scholar]
- Suárez-Barraza, M.F.; Smith, T.; Dahlgaard-Park, S.M. Lean Service: A literature analysis and classification. Total. Qual. Manag. Bus. Excel. 2012, 23, 359–380. [Google Scholar] [CrossRef]
- Sprigg, C.A.; Jackson, P.R. Call centers as lean service environments: Job-related strain and the mediating role of work design. J. Occup. Heal. Psychol. 2006, 11, 197–212. [Google Scholar] [CrossRef] [PubMed]
- Piercy, N.; Rich, N. High quality and low cost: The lean service centre. Eur. J. Mark. 2009, 43, 1477–1497. [Google Scholar] [CrossRef]
- LaGanga, L.R. Lean service operations: Reflections and new directions for capacity expansion in outpatient clinics. J. Oper. Manag. 2010, 29, 422–433. [Google Scholar] [CrossRef]
- Gupta, S.; Sharma, M. Lean services: A systematic review. Int. J. Prod. Perform. Manag. 2016, 65, 1025–1056. [Google Scholar] [CrossRef]
- Sheridan, J.H. “Lean Sigma” Synergy. Ind. Week 2000, 249, 17. [Google Scholar]
- Furterer, S.; Elshennawy, A.K. Implementation of TQM and lean Six Sigma tools in local government: A framework and a case study. Total. Qual. Manag. Bus. Excel. 2005, 16, 1179–1191. [Google Scholar] [CrossRef]
- Wheat, B.; Mills, C.; Carnell, M. Leaning into Six Sigma: A Parable of the Journey to Six Sigma and a Lean Enterprise; McGraw Hill Professional: New York, NY, USA, 2003. [Google Scholar]
- Kumar, M.; Antony, J.; Singh, R.; Tiwari, M.K.; Perry, D. Implementing the Lean Sigma framework in an Indian SME: A case study. Prod. Plan. Control. 2006, 17, 407–423. [Google Scholar] [CrossRef] [Green Version]
- Albliwi, S.A.; Antony, J.; Lim, S.A.H. A systematic review of Lean Six Sigma for the manufacturing industry. Bus. Process. Manag. J. 2015, 21, 665–691. [Google Scholar] [CrossRef]
- Rosa, A.C.M.; Broday, E.E. Comparative analysis between the industrial and service sectors: A literature review of the improvements obtained through the application of lean six sigma. Int. J. Qual. Res. 2018, 12, 1. [Google Scholar] [CrossRef]
- Sony, M. Design of cyber physical system architecture for industry 4.0 through lean six sigma: Conceptual foundations and research issues. Prod. Manuf. Res. 2020, 8, 158–181. [Google Scholar] [CrossRef]
- Chiarini, A.; Kumar, M. Lean Six Sigma and Industry 4.0 integration for Operational Excellence: Evidence from Italian manufacturing companies. Prod. Plan. Control. 2020, 32, 1084–1101. [Google Scholar] [CrossRef]
- Productivity Press Development Team. The Lean Office, Collected Practices & Cases; Productivity Press: New York, NY, USA, 2005. [Google Scholar]
- Locher, D. Lean Office and Service Simplified: The Definitive How-To Guide; Taylor & Francis: Abingdon, UK, 2011. [Google Scholar]
- Herkommer, J.; Herkommer, O. Lean Office-System. Z. Wirtsch. Fabr. 2006, 101, 378–381. [Google Scholar] [CrossRef]
- Nieuwenhuis, M.; Knight, C.; Postmes, T.; Haslam, S.A. The relative benefits of green versus lean office space: Three field experiments. J. Exp. Psychol. Appl. 2014, 20, 199–214. [Google Scholar] [CrossRef] [Green Version]
- Freitas, R.D.C.; Freitas, M.D.C.D. Information management in lean office deployment contexts. Int. J. Lean Six Sigma 2020, 11, 1161–1192. [Google Scholar] [CrossRef]
- Yokoyama, T.T.; DE Oliveira, M.A.; Futami, A.H. A Systematic Literature Review on Lean Office. Ind. Eng. Manag. Syst. 2019, 18, 67–77. [Google Scholar] [CrossRef]
- Portioli-Staudacher, A. Lean Healthcare. An Experience in Italy; Springer: Berlin/Heidelberg, Germany, 2008; pp. 485–492. [Google Scholar] [CrossRef] [Green Version]
- Graban, M. Lean Hospitals: Improving Quality, Patient Safety, and Employee Engagement; CCR Press, Taylor & Francis Group: New York, NY, USA, 2009. [Google Scholar]
- Dahlgaard, J.J.; Pettersen, J.; Dahlgaard-Park, S.M. Quality and lean health care: A system for assessing and improving the health of healthcare organisations. Total. Qual. Manag. Bus. Excel. 2011, 22, 673–689. [Google Scholar] [CrossRef]
- Costa, L.B.M.; Filho, M.G. Lean healthcare: Review, classification and analysis of literature. Prod. Plan. Control. 2016, 27, 823–836. [Google Scholar] [CrossRef]
- Santos, A.C.D.S.G.D.; Reis, A.; De Souza, C.G.; Dos Santos, I.L.; Ferreira, L.A.F. The first evidence about conceptual vs analytical lean healthcare research studies. J. Heal. Organ. Manag. 2020, 34, 789–806. [Google Scholar] [CrossRef]
- Blank, S. Why the lean start-up changes everything. Harv. Bus. Rev. 2013, 91, 5. [Google Scholar]
- Ries, E. The Lean Startup: How Today’s Entrepreneurs Use Continuous Innovation to Create Radically Successful Businesses; Crown Business: New York, NY, USA, 2011. [Google Scholar]
- Frederiksen, D.L.; Brem, A. How do entrepreneurs think they create value? A scientific reflection of Eric Ries’ Lean Startup approach. Int. Entrep. Manag. J. 2016, 13, 169–189. [Google Scholar] [CrossRef]
- Bortolini, R.F.; Cortimiglia, M.N.; Danilevicz, A.D.M.F.; Ghezzi, A. Lean Startup: A comprehensive historical review. Manag. Decis. 2018, 59, 1765–1783. [Google Scholar] [CrossRef]
- Silva, D.S.; Ghezzi, A.; de Aguiar, R.B.; Cortimiglia, M.N.; Caten, C.S.T. Lean Startup, Agile Methodologies and Customer Development for business model innovation. Int. J. Entrep. Behav. Res. 2019, 26, 595–628. [Google Scholar] [CrossRef]
- Metternich, J.; Müller, M.; Meudt, T.; Schaede, C. Lean 4.0—Zwischen Widerspruch und Vision. ZWF 2017, 112, 346–348. [Google Scholar] [CrossRef]
- Mayr, A.; Weigelt, M.; Kühl, A.; Grimm, S.; Erll, A.; Potzel, M.; Franke, J. Lean 4.0—A conceptual conjunction of lean management and Industry 4.0. Procedia CIRP 2018, 72, 622–628. [Google Scholar] [CrossRef]
- Valamede, L.S.; Akkari, A.C.S. Lean 4.0: A New Holistic Approach for the Integration of Lean Manufacturing Tools and Digital Technologies. Int. J. Math. Eng. Manag. Sci. 2020, 5, 851–868. [Google Scholar] [CrossRef]
- Perico, P.; Mattioli, J. Empowering Process and Control in Lean 4.0 with Artificial Intelligence. In Proceedings of the 3rd International Conference on Artificial Intelligence for Industries (AI4I), Irvine, CA, USA, 21–23 September 2020; pp. 6–9. [Google Scholar] [CrossRef]
- Ejsmont, K.; Gladysz, B.; Corti, D.; Castaño, F.; Mohammed, W.M.; Lastra, J.L.M. Towards “Lean Industry 4.0”—Current trends and future perspectives. Cogent Bus. Manag. 2020, 7, 1781995. [Google Scholar] [CrossRef]
- Wagner, T.A.; Herrmann, C.; Thiede, S. Industry 4.0 Impacts on Lean Production Systems. Procedia CIRP 2017, 63, 125–131. [Google Scholar] [CrossRef]
- Buer, S.-V.; Strandhagen, J.O.; Chan, F.T.S. The link between Industry 4.0 and lean manufacturing: Mapping current research and establishing a research agenda. Int. J. Prod. Res. 2018, 56, 2924–2940. [Google Scholar] [CrossRef] [Green Version]
- Duarte, S.; Cruz-Machado, V. An investigation of lean and green supply chain in the Industry 4.0. In Proceedings of the 2017 International Symposium on Industrial Engineering and Operations Management (IEOM), Rabat, Morocco, 11–13 April 2017. [Google Scholar]
- Ilangakoon, T.; Weerabahu, S.; Wickramarachchi, R. Combining Industry 4.0 with Lean Healthcare to Optimize Operational Performance of Sri Lankan Healthcare Industry. In Proceedings of the International Conference on Production and Operations Management Society (POMS), Peradeniya, Sri Lanka, 14–16 December 2018; pp. 1–8. [Google Scholar] [CrossRef]
- Sony, M. Industry 4.0 and lean management: A proposed integration model and research propositions. Prod. Manuf. Res. 2017, 6, 416–432. [Google Scholar] [CrossRef] [Green Version]
- Yadav, N.; Shankar, R.; Singh, S.P. Impact of Industry4.0/ICTs, Lean Six Sigma and quality management systems on organisational performance. TQM J. 2020, 32, 815–835. [Google Scholar] [CrossRef]
Publisher’s Note: MDPI stays neutral with regard to jurisdictional claims in published maps and institutional affiliations. |
© 2021 by the authors. Licensee MDPI, Basel, Switzerland. This article is an open access article distributed under the terms and conditions of the Creative Commons Attribution (CC BY) license (https://creativecommons.org/licenses/by/4.0/).



















