A Study of Current Controlled Discharge in a Nitrogen Filled Tube
Abstract
1. Introduction
2. Materials and Methods
2.1. Tube Discharge Dynamics Modelling
2.1.1. NPINCH Code
2.1.2. ZSTAR Code
3. Results
3.1. Measured Time Dependence of Plasma Column Resistance
3.2. Measured Electron Density Radial Profiles
3.3. Modelling of Laboratory Experiments
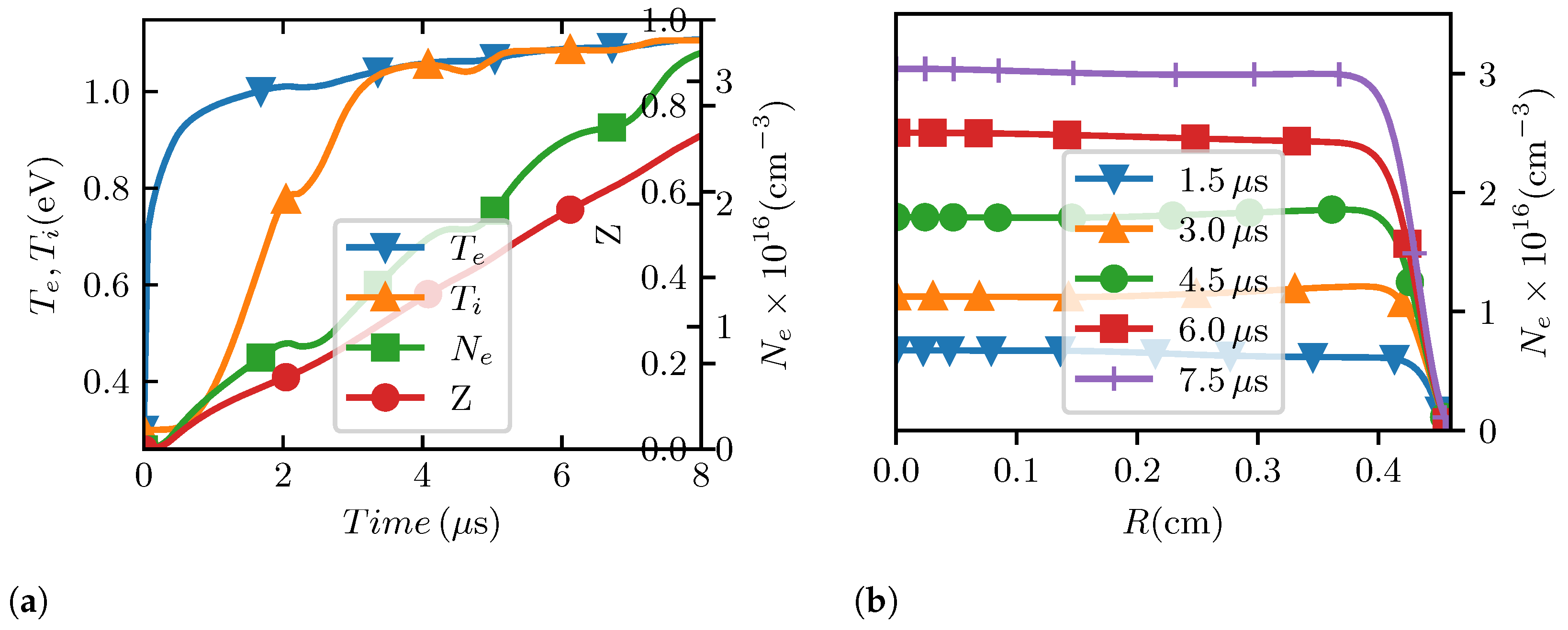
3.3.1. Discharge Plasma Evolution According to NPINCH
3.3.2. Discharge Plasma Evolution According to Two-Dimensional Code ZSTAR
3.3.3. Estimation of Plasma Resistance According to NPINCH Code
3.3.4. Evaluation of the Instantaneous Plasma Resistance Using ZSTAR Code
3.3.5. Evaluation of Wave Phase Difference in Mach–Zehnder Interferometer
3.3.6. Time Dependencies of Electron Density Evaluated and Measured
4. Discussion and Conclusions
Author Contributions
Funding
Institutional Review Board Statement
Informed Consent Statement
Data Availability Statement
Acknowledgments
Conflicts of Interest
Appendix A. Optical Diagnostics of the Discharge

References
- Vrba, P.; Vrbová, M.; Bobrova, N.; Sasorov, P. Modelling of a nitrogen x-ray laser pumped by capillary discharge. Centr. Eur. J. Phys. 2005, 3, 564–580. [Google Scholar] [CrossRef]
- Kampel, N.; Rikanati, A.; Be’ery, I.; Ben-Kish, A.; Fisher, A.; Ron, A. Feasibility of a nitrogen-recombination soft-x-ray laser using capillary discharge Z pinch. Phys. Rev. E 2008, 78, 056404. [Google Scholar] [CrossRef] [PubMed]
- Sakai, Y.; Rosenzweig, J.; Kumai, H.; Nakanishi, Y.; Ishizuka, Y.; Takahashi, S.; Komatsu, T.; Xiao, Y.; Bin, H.; Quishi, Z.; et al. Observation of emission process in hydrogen-like nitrogen Z-pinch discharge with time integrated soft X-ray spectrum pinhole image. Phys. Plasmas 2013, 20, 023108. [Google Scholar] [CrossRef]
- Nevrkla, M.; Jančárek, A.; Nawaz, M.; Parkman, T.; Vrbová, M. Time-resolved EUV spectra from nitrogen Z-pinching capillary discharge. In EUV and X-ray Optics: Synergy between Laboratory and Space IV; Hudec, R., Pina, L., Eds.; International Society for Optics and Photonics, SPIE: Cardiff, UK, 2015; Volume 9510, pp. 302–309. [Google Scholar] [CrossRef]
- Barnwal, S.; Nigam, S.; Aneesh, K.; Prasad, Y.; Sharma, M.; Tripathi, P.; Joshi, A.; Naik, P.; Vora, H.; Gupta, P. Exploring X-ray lasing in nitrogen pinch plasma at very high and fast discharge current excitation. Appl. Phys. B 2017, 123, 178. [Google Scholar] [CrossRef]
- Vrbova, M.; Vrba, P.; Jancarek, A.; Nevrkla, M.; Bobrova, N.A.; Sasorov, P.V. Wall ablation effect on the recombination pumping of EUV laser in pinching capillary discharge. Phys. Plasmas 2019, 26, 083108. [Google Scholar] [CrossRef]
- Vrba, P.; Sasorov, P.; Bobrova, N.; Jančárek, A.; Vrbová, M. Hybrid pumping of EUV nitrogen laser. In Proceedings of the Conference on HIgh Intensity Laser and Attosecond Science in Israel, Tel Aviv-Yafo, Israel, 9–11 December 2019. [Google Scholar]
- Hayashi, Y.; Xiao, Y.; Sakamoto, N.; Miyahara, H.; Niimi, G.; Watanabe, M.; Okino, A.; Horioka, K.; Hotta, E. Performances of Ne-like Ar Soft X-ray Laser using Capillary Z-Pinch Discharge. Jpn. J. Appl. Phys. 2003, 42, 5285–5289. [Google Scholar] [CrossRef]
- Niimi, G.; Hayashi, Y.; Sakamoto, N.; Nakajima, M.; Okino, A.; Watanabe, M.; Horioka, K.; Hotta, E. Development and characterization of a low current capillary discharge for X-ray laser studies. IEEE T. Plasma Sci. 2002, 30, 616–621. [Google Scholar] [CrossRef]
- Antsiferov, P.; Dorokhin, L. The effect of preionization on the shock wave evolution in a fast cylindrical discharge. J. Appl. Phys. 2013, 113, 243303. [Google Scholar] [CrossRef]
- Hübner, J.; Vrba, P.; Straus, J.; Jancarek, A.; Nevrkla, M. Dynamics of pre-ionized fast capillary discharge. Phys. Scripta 2014, T161, 014047. [Google Scholar] [CrossRef]
- Tan, C.; Kwek, K. Influence of current prepulse on capillary-discharge extreme-ultraviolet laser. Phys. Rev. A 2007, 75, 043808. [Google Scholar] [CrossRef]
- Jiang, S.; Zhao, Y.; Xie, Y.; Xu, M.; Cui, H.; Wu, H.; Liu, Y.; Xu, Q.; Wang, Q. Observation of capillary discharge Ne-like Ar 46.9 nm laser with pre-pulse and main-pulse delay time in the domain of 2–130 μs. Appl. Phys. B 2012, 109, 1–7. [Google Scholar] [CrossRef]
- Sakamoto, N.; Kondo, K.; Masnavi, M.; Hayashi, Y.; Nakajima, M.; Kawamura, T.; Hotta, E.; Horioka, K. Role of Initial Condition in Lasing of Fast Capillary Discharge Plasmas. J. Plasma Fusion Res. 2004, 80, 723–724. [Google Scholar] [CrossRef][Green Version]
- Bobrova, N.; Bulanov, S.; Razinkova, T.; Sasorov, P. Dynamics of a pinch discharge in capillaries. Plasma Phys. Rep. 1996, 22, 349–362. [Google Scholar]
- Bobrova, N.; Lazzaro, E.; Sasorov, P. Magnetohydrodynamic two-temperature equations for multicomponent plasma. Phys. Plasmas 2005, 12, 022105. [Google Scholar] [CrossRef]
- Bobrova, N.; Bulanov, S.; Farina, D.; Pozzoli, R.; Razinkova, T.; Sakai, J.; Sasorov, P.; Sokolov, I. MHD simulations of plasma dynamics in pinch discharges in capillary plasmas. Laser Part. Beams 2000, 18, 623–638. [Google Scholar] [CrossRef]
- Vrba, P.; Bobrova, N.; Sasorov, P.; Vrbova, M.; Hubner, J. Modeling of capillary Z-pinch recombination pumping of boron extreme ultraviolet laser. Phys. Plasmas 2009, 16, 073105. [Google Scholar] [CrossRef]
- Kameshima, T.; Kotaki, H.; Kando, M.; Daito, I.; Kawase, K.; Fukuda, Y.; Chen, L.; Homma, T.; Kondo, S.; Esirkepov, T.; et al. Laser pulse guiding and electron acceleration in the ablative capillary discharge plasma. Phys. Plasmas 2009, 16, 093101. [Google Scholar] [CrossRef]
- Bobrova, N.; Esaulov, A.; Sakai, J.; Sasorov, P.; Spence, D.; Butler, A.; Hooker, S.; Bulanov, S. Simulations of a hydrogen-filled capillary discharge waveguide. Phys. Rev. E 2001, 65, 016407. [Google Scholar] [CrossRef]
- Bobrova, N.; Sasorov, P.; Benedetti, C.; Bulanov, S.; Geddes, C.; Schroeder, C.; Esarey, E.; Leemans, W. Laser-heater assisted plasma channel formation in capillary discharge waveguides. Phys. Plasmas 2013, 20, 020703. [Google Scholar] [CrossRef]
- Gonsalves, A.; Nakamura, K.; Daniels, J.; Benedetti, C.; Pieronek, C.; de Raadt, T.; Steinke, S.; Bin, J.; Bulanov, S.; van Tilborg, J.; et al. Petawatt Laser Guiding and Electron Beam Acceleration to 8 GeV in a Laser-Heated Capillary Discharge Waveguide. Phys. Rev. Lett. 2019, 122, 084801. [Google Scholar] [CrossRef]
- Zakharov, S.; Choi, P.; Dumitrescu, C.; Novikov, V.; Kroukovski, A.; KD, W. Performance Evaluation on Discharge & Laser based EUV Sources using Z* 2-D Radiation MHD Simulations. In Proceedings of the 2nd International EUVL Symposium, Antwerp, Belgium, 30 September–2 October 2003. [Google Scholar]
- Zakharov, S.; Novikov, V.; Choi, P. EUV Sources for Lithography; Chapter Z* Code for DPP and LPP Source Modeling; SPIE Press: Cardiff, UK, 2006; pp. 223–275. [Google Scholar]
- Tecplot 360 EX. Available online: http://www.tecplot.com (accessed on 20 October 2021).
- Takeda, M.; Ina, H.; Kobayashi, S. Fourier-transform method of fringe-pattern analysis for computer-based topography and interferometry. J. Opt. Soc. Am. 1982, 72, 156–160. [Google Scholar] [CrossRef]










Publisher’s Note: MDPI stays neutral with regard to jurisdictional claims in published maps and institutional affiliations. |
© 2021 by the authors. Licensee MDPI, Basel, Switzerland. This article is an open access article distributed under the terms and conditions of the Creative Commons Attribution (CC BY) license (https://creativecommons.org/licenses/by/4.0/).
Share and Cite
Nevrkla, M.; Hubner, J.; Sisma, J.; Vrba, P.; Vrbova, M.; Bobrova, N.; Sasorov, P.; Jancarek, A. A Study of Current Controlled Discharge in a Nitrogen Filled Tube. Appl. Sci. 2021, 11, 10253. https://doi.org/10.3390/app112110253
Nevrkla M, Hubner J, Sisma J, Vrba P, Vrbova M, Bobrova N, Sasorov P, Jancarek A. A Study of Current Controlled Discharge in a Nitrogen Filled Tube. Applied Sciences. 2021; 11(21):10253. https://doi.org/10.3390/app112110253
Chicago/Turabian StyleNevrkla, Michal, Jakub Hubner, Jiri Sisma, Pavel Vrba, Miroslava Vrbova, Nadezhda Bobrova, Pavel Sasorov, and Alexandr Jancarek. 2021. "A Study of Current Controlled Discharge in a Nitrogen Filled Tube" Applied Sciences 11, no. 21: 10253. https://doi.org/10.3390/app112110253
APA StyleNevrkla, M., Hubner, J., Sisma, J., Vrba, P., Vrbova, M., Bobrova, N., Sasorov, P., & Jancarek, A. (2021). A Study of Current Controlled Discharge in a Nitrogen Filled Tube. Applied Sciences, 11(21), 10253. https://doi.org/10.3390/app112110253

