Abstract
Stress is one of the most important physical indexes reflecting the mechanical behavior of concrete structures. In general, stress in structures cannot be directly monitored and can only be estimated through an established model of stress and strain. The accuracy of the estimated stress depends on the rationality of the established model for stress and strain. As the strain measured by sensors contains creep, shrinkage, and elastic strain, it is difficult to establish an analytical model for strain and stress. In this paper, a statistical inverse method was utilized to estimate the stress in continuously pre-stressed concrete beams based on the monitored strain. Stress in the beams and the model uncertainty factors were treated as model parameters. A linear-simplified method was adopted to determine the prior distribution of the stresses. The posterior distribution of the stresses at different locations during bridge construction can be obtained by the proposed method. A continuously pre-stressed concrete beam bridge was taken as the case study to verify the effectiveness of the proposed method. Additionally, the constitution of the total strain in the different construction stages was calculated. It was concluded that the creep strain is the dominant part of the total strain.
1. Introduction
Elaborating rapid and effective safety assessment strategies for bridge structures represents a topical research line [1]. The structural evaluation method of bridges based on long-term monitoring and inspection data has been widely used in practical engineering [2,3,4]. However, it is challenging to properly evaluate the structural behavior of bridges according to the monitoring results [5,6]. De Domenico et al. [1] proposed that a combined experimental–numerical method for bridge evaluation would be more effective. The result obtained from the numerical method would be helpful for identifying critical parts prior to performing widespread and expensive tests. The monitored data from the full-scale bridge can be used for updating the model used in the numerical method. Meanwhile, for the most commonly used structural evaluation system, the criteria used to assess the condition of a bridge structure are generally based on the stress index [7,8,9]. Compared to strain, stress is more direct and important for structural evaluation based on material strength. However, stress is difficult to monitor directly and strain, in turn, is monitored instead. Stress is estimated according to the monitored strain. In concrete structures, due to the complexity of the material’s properties, concrete strain is made up of the instantaneous components caused by the external load and other components derived from temperature variation, material creep, and shrinkage effects. These factors may lead to a significant error for the stress estimation based on the monitored strain.
In addition, the accuracy of the relationship for strain and stress would greatly influence the attainment of structural stress. Although the monitored results are certain, their influencing factors are uncertain. The estimated results based on the relationship rarely match the monitored results for three reasons: (1) the uncertainty of the predicative model; (2) the randomness of the influencing factors; and (3) the randomness of the monitoring technology. Reason 3 can be improved by technical progress. Inverse analysis methods can be adopted to control the derivation from reasons 1 and 2.
A number of researchers have worked on quantitative estimations based on inverse analysis [10]. Inverse analysis methods have been used in many fields of engineering such as geological process simulation [11], structural damage detection [12,13,14], drainage system design [15], excavation supporting system simulations [16], structural long-term deformation estimations [17], and scour risk analysis of bridge foundation [18]. The advantage of the methodology is that it is able to evaluate the hard-to-obtain variables according to the results of easily measured variables. Inverse methods can combine the measurement results and prior information of all the influencing factors, and thus increase the accuracy of the evaluation, especially for cases where the measurement variables have many uncertain influencing factors.
This study proposed a statistical inverse method to evaluate stress in concrete beams based on the monitored strain. The methodology includes five steps: (1) establishing a forward model to describe the relationship between structural stress and monitored strain; (2) distinguishing the strain components and establishing the model space by introducing the uncertainty factors of the forward model; (3) establishing the data space according to the monitored strain of a pre-stressed concrete (PC) beam; (4) determining the prior distribution of the stress by means of the linear simplified method; (5) calculating the posterior distribution of the parameters based on the statistical inverse theory and comparing the posterior and prior distributions; and (6) deriving the value and weight of each component of the stress by means of the Monte-Carlo sampling method.
2. Statistical Inverse Theory
The analysis of a physical system is generally conducted according to the following steps: (1) parameterizing the system; (2) establishing the forward model; and (3) establishing the inverse model [19]. When evaluating a bridge, stress can be estimated by means of the forward model connecting the structural information, load information, and stress. Since the monitored strain was derived from the stress action, the inverse model should be built to utilize the monitored strain information. In the establishment of the inverse model, the model space, which is derived from selected parameters and the forward model, and the data space, which is derived from the monitored results, are needed. The selection of the model parameters is not unique. A selection represents a kind of system parameterization. A series of physical tests needs to be carried out to determine the boundary conditions of the model space, i.e., the variation range of the model parameters. Generally, the quantile values with a certain confidence level for the prior distribution of all the model parameters are considered to be in the variation range of the parameters. For the physical system, the data space of the system is composed of the monitored results. Since the parameters in the data space have a direct causal relationship with the model parameters in the model space [20], the evaluation model between the two series of parameters can be established and one or multiple solutions can be derived for the model.
Statistical inverse analysis essentially randomizes the deterministic problem based on the Bayesian statistical method. In statistical inverse analysis, the input and output are not certain values, but rather random variables and their statistical characteristics. Based on the Bayesian Theory, when the data space is determined, the statistical characteristics of the model space are the conditional probability of the statistical parameters:
where m is the model parameter vector and d is the monitored parameter vector.
Since p(d) can be considered constant, Equation (1) can be expressed as
where L(m) = p(d/m) is the likelihood function, as shown in Equation (3):
where N is the number of the parameters in the data space, D(m) is the result of the model parameter from the forward model, and v is the corresponding variance of D(m).
By normalizing the right partition of Equation (2), the expression for the conditional probability can be derived as
In order to obtain the maximum likelihood probability of the model parameters, the square sums of the residual between the measurement and prediction are calculated as cost functions, as shown in Equation (5):
The objective of inverse analysis is to determine the series of parameters under global optimization and their probability when the corresponding cost functions approach a minimum, and then modify the prior distribution of the model parameters.
3. Stress Estimation Based on the Monitored Strain
3.1. Establishment of the Forward Model
The forward model, which plays an important role in inverse analysis [21], can be built according to the stress–strain relationship of concrete. The structural strain is made up of four components: the elastic instantaneous strain, creep strain, shrinkage strain, and temperature strain [22], as shown in Equation (6). Of the four components, the elastic instantaneous and creep strains are dependent on the stress, and they change with the variations in the stress. The shrinkage and temperature strains are independent of the stress, but they have a relationship with the stress when the structural partition is constrained:
where is the total strain, which can be obtained by structural monitoring, and , , , and are the elastic instantaneous strain, creep strain, shrinkage strain, and temperature strain, respectively.
3.1.1. Stress-Independent Strain
When concrete structures are not constrained, the stress-independent strain is expressed as
However, in actual continuous beam bridges, strains caused by temperature and shrinkage effect are inhibited, leading to smaller actual structural deformation than free structural deformation. In the cross-section of the concrete beam, the development of the concrete temperature strain and shrinkage strain is constrained by reinforcements, while the structural system is constrained by the supports. The two constraints are referred to as the internal constraint and external constraint [23], respectively. The intensity of a constraint can be identified by using the restraint coefficient . The total restraint coefficient is related to the internal restraint coefficient and external restraint coefficient :
where is within the range of 0–1. The concrete structure is strongly constrained when approaches 1. Otherwise, the concrete structure is slightly constrained.
The external constraint is caused by the longitudinal pushing-resistance stiffness of the support and flexural stiffness of the pier top. Correspondingly, is expressed as
where Ec(t) is the elastic modulus of concrete at the age of t; Ac is the cross-sectional area of a concrete beam; Es is the elastic modulus of the reinforcement in the concrete beam; As is the cross-sectional area of the reinforcement; l0 is the whole length of the concrete beam; and k is the external constraint stiffness, which is composed of the longitudinal pushing-resistance stiffness of support ks and the flexural stiffness of pier kp:
Assume that the arrangement of the reinforcements in the concrete beams is uniform and constant along the longitudinal direction. The internal constraint coefficient is expressed as
In actual concrete bridges with expansion joints, since the axial stiffness of a concrete beam, Ec(t)Ac + EsAs, is much larger than the longitudinal pushing-resistance stiffness of support, ksl0, or longitudinal flexural stiffness of pier, kpl0, is much smaller than 0.1 so approaches 1.0. This shows that the external constraint is often not significant. For the internal constraint, the reinforcement ratio of the concrete beam is often 0.5–2.5% and Es/Ec is 6–9, so can be calculated as 0.82–0.97. This shows that the internal constraint cannot be neglected for actual concrete bridges. As a result, the stress-independent strain can be modified as shown in Equation (12) by introducing the constraint coefficient:
3.1.2. Stress-Dependent Strain
Stress-dependent strain includes the elastic instantaneous strain and creep strain . According to the classical creep theory, the stress-dependent strain can be expressed as
where is the stress of the concrete at the age of t and J(t,t0) is the creep function of concrete at the age of t with an initial loading age of t0.
By discretizing the time history t0–tn as n + 1 time points t0, t1, …, tn, Equation (7) can be approximately expressed as
The uncertainty of the evaluation model for the concrete strain is one of the most important factors that causes the error between the evaluation results and the monitored results of the concrete strain. The uncertainty can be taken into account by introducing an uncertainty factor for the creep effect αc and an uncertainty factor of shrinkage effect αs. Consequently, Equation (6) can be expressed as
3.2. Model Space and Data Space
In the Specification for the Design of Highway Reinforced Concrete and Prestressed Concrete Bridges and Culverts in China [24], CEB-FIP MC 90 is used for the calculation of creep and shrinkage strain. Thus, the CEB-FIP MC 90 model was adopted in this study to calculate the temperature strain, creep strain, and shrinkage strain [25]. Meanwhile, to consider the uncertainty caused by the model selection, two model uncertainty factors for creep and shrinkage ( and ) were introduced into our analysis, and updated by the monitored data. This would eliminate some effects of model selection on the results.
The forward model of the concrete strain shows that the concrete strain is influenced by a number of factors including the concrete elastic modulus, concrete compressive strength at the age of 28 days, drying age, loading age, relative humidity, stress, and model uncertainty. Among these factors, the drying age and loading age are artificially determined for actual bridges, so they were not considered as model parameters for this study. Since the concrete compressive strength, concrete elastic modulus, and relative humidity can be obtained in actual experiments, these factors were also not selected as model parameters. The uncertainty factors of the model and structural stress were selected as model parameters since they are difficult to obtain from structural monitoring.
In order to obtain the boundary conditions of a model space, the prior distribution of all the parameters needs to be determined first. For the creep and shrinkage model suggested in the CEB-FIP MC 90, Keitel and Dimmig-Osburg [26] determined the statistical characteristics (mean and coefficient of variation) of the uncertainty factor of the model by comparing the predictions of the creep and shrinkage effects from extensive experiments, as shown in Table 1.
Table 1.
Statistical characteristics of the model parameters [26].
Prior information of the stress in a concrete structure depends on the monitoring points of the structure. In order to obtain the stress based on the strain in concrete structures, parameters in the data space should be the concrete strains of certain monitoring points at certain ages. Since the concrete strain is related to the location of the monitoring points and concrete ages, the data space is essentially a matrix composed of the strain vectors of different positions and different ages. The model space is a hypercube composed of model parameters. The boundary condition of the model space is defined as the 0.997 double-sided quantile values of all parameters.
3.3. Inverse Analysis
In order to analyze the relationship of the model parameters with the structural responses and measurement, the n5 space meshes were derived by dividing each parameter into n meshes with equal intervals. The concrete strain of each time point at each position and its cost function were calculated and the corresponding maximum likelihood estimations for each parameter were obtained, as shown in Equation (16):
where H is the relative humidity and is the stress at the ith construction stage.
The value of the likelihood function of each mesh was calculated using Equation (17):
The posterior probability of the ith mesh was expressed as
The mean value and standard deviation of the parameters were calculated through Equations (19) and (20), respectively:
Consequently, the distribution characteristics of the stress estimation with a certain confidence interval were obtained through the aforementioned process.
4. Case Study
4.1. Project Profile
A 4 × 40 m simply supported continuous PC T-shaped beam of a highway bridge, 2.5 m high and 1.7 m wide, was selected for the case study. The structural span and pre-stressing wire arrangement are shown in Figure 1a. Spans #1, #2, and #3 were selected for the arrangement of the strain sensors. The elevation of one span and cross-section of each T-shaped beam are illustrated in Figure 1b,c.

Figure 1.
Dimensions of the PC beam.
4.2. Monitoring Information
The strain of the PC beam in the case study bridge during the construction phase was monitored. The strain sensors were embedded in each span of the concrete beam before the concrete was poured. The concrete bridge was constructed by transforming a simply supported system into a continuous system. The data collection schedule progressed according to the construction stage, as shown in Table 2. The performance parameters of the sensors are shown in Table 3.
Table 2.
Data collection schedule.
Table 3.
Parameters of sensors.
The three spans were monitored within the range of the construction stages. The mid-span, 1/4 span, and end cross-sections were selected as the monitored cross-sections. The sensors were symmetrically arranged at the top flange, centroid, and bottom flange. A total of 48 monitoring points were arranged with six points for each cross-section. The selected cross-section and monitoring points are illustrated in Figure 2. For the sake of discussion, was used to number the sensors, where m represents the beam; the superscript i represents the cross-section and i = M (mid-span), Q (1/4 span), and E (girder end); the subscript j represents the position of the sensors along the height and j = t (top), c (center), and b (bottom); and the subscript k represents the position of the sensors along the span and k = l (left) or r (right).
Figure 2.
Cross-sections and test points chosen for the field test.
4.3. Strain Monitoring Results
Taking Span #1 as an example, Figure 3, Figure 4 and Figure 5 display the monitoring strains for the top flange, neutral axis, and bottom flange of the three monitored cross-sections, where x represents the logarithmic coordinates to base 2, y represents the monitored strains, and the compressive strain is positive. The strain results for the top flange, neutral axis, and bottom flange were calculated as the mean values from the monitored results of the identical heights: , , and , where represents the monitored strains of sensor Sjk. The strain results are as follows.
Figure 3.
Monitored strain at the mid-span cross-section.
Figure 4.
Monitored strain at the 1/4 span cross-section.
Figure 5.
Monitored strain at the span-end cross-section.
Stage 1: Since the external load was not first applied to the beam, the monitored strain was mainly composed of the shrinkage strain. When the pre-stressing wires at the mid-span range were stretched at the age of 14 days, the strain sharply increased. At the mid-span cross-section, the compressive strain at the bottom flange was the largest and that at top flange was the smallest. For the different cross-sections, the increment in the strain at the mid-span was larger than that at the support.
Stage 2: The increment of strain was composed of the elastic instantaneous strain and creep strain; because of the development of the creep effect, the compressive strain increased. When the pre-stressing wires within the range of the hogging moment were stretched, we observed that the strain increase at the top flange was the largest and that at the bottom flange was the smallest.
Stage 3: The pavement led to a variation in the cross-sectional moment. This caused the strain variation of the monitoring point. The creep and shrinkage effects developed simultaneously and the total strain continuously increased.
4.4. Analysis Results
Monitoring strains at 14 days (tension of the pre-stress wires at the span-end), 65 days (tension of the pre-stress wires at the mid-span), and 368 days (1 year after concrete pouring) were selected to conduct the stress analysis. Since concrete has a compressive strength and the environmental humidity was measured as fc = 55 MPa and H = 60%, they were not considered as model parameters in our inverse analysis.
Linear simplified analysis was conducted to determine the prior distribution of stress in each span of the PC beam. The structural stress was approximately calculated through Equation (21). Neglecting the stress relaxation from the creep leads to an overestimation of the stress, and the prior distribution of the stress was assumed to be larger than 0 and smaller than the result from Equation (21). A simplified analysis method was used to determine the range according to the monitored strain:
The stress values based on the linear simplified method are shown in Table 4.
Table 4.
Stress values based on the linear simplified method.
A three-dimensional model space was composed from the prior distribution from the analysis method and two uncertainty factors. The model space was divided into some meshes with equal intervals and the likelihood function of each mesh was calculated. The probability and statistical characteristics of the posterior distribution of the parameters was obtained by introducing the likelihood function into Equations (18)–(20), as shown in Figure 6. In the figure, the height of the columns presents the mean of evaluated stresses, and a range of red lines indicate the standard deviation of the evaluated stresses. It was observed from the figure that the tendencies of the stress at each location changing with the time of the three spans were similar with each other. Some estimated data show significant different tendency with other spans, such as point 0-b in Span #3. This might be because an error in the monitored data leads to the false likelihood estimation of stress, resulting in both the wrong tendency and much larger variance. Due to the decreased quantity of information, Figure 6 indicates that the uncertainty of the stress estimations at 14 days, 65 days, and 368 days is increasing. Three monitored strains were used as the boundaries to determine stress at 14 days, which resulted in a small variability, while only one strain could be used to estimate the stress at 368 days, resulting in a relatively larger variability.
Figure 6.
Posterior distributions of the stress based on the linear simplified analysis.
The monitoring point at the top flange of the 1/4 span cross-section of Span #2 was selected as an example. The joint probability density distributions of the stress at 65 days and 368 days are shown in Figure 7. In the figure, the horizontal and vertical axes represent the stress of concrete at 65 days and 368 days, respectively. The shadow in the figure represents the probability of the stresses. It can be seen from the figure that there are some stress series relative to the monitored strain in the model space. The mean value and standard deviation of the posterior are statistical characteristics of the stress series. As a result, they have a neglected discreteness.
Figure 7.
Counters of the joint probability distribution at the top of the 1/4 span cross-section of Span #2.
Two other parameters were derived based on the inverse analysis: the creep model uncertainty factor αc and shrinkage model uncertainty factor αs, as shown in Table 5. The mean values of the two factors were both smaller than 1, indicating that the creep and shrinkage model suggested by the CEB-FIP MC90 model overestimated the actual stress levels for the PC beam shown in this study. Compared with the prior distributions, the standard deviation of the posterior was smaller. This shows that introducing the monitored strain can effectively decrease the uncertainty of the model prediction results.
Table 5.
Statistical characteristics of the posterior distribution of the parameters of the PC beam.
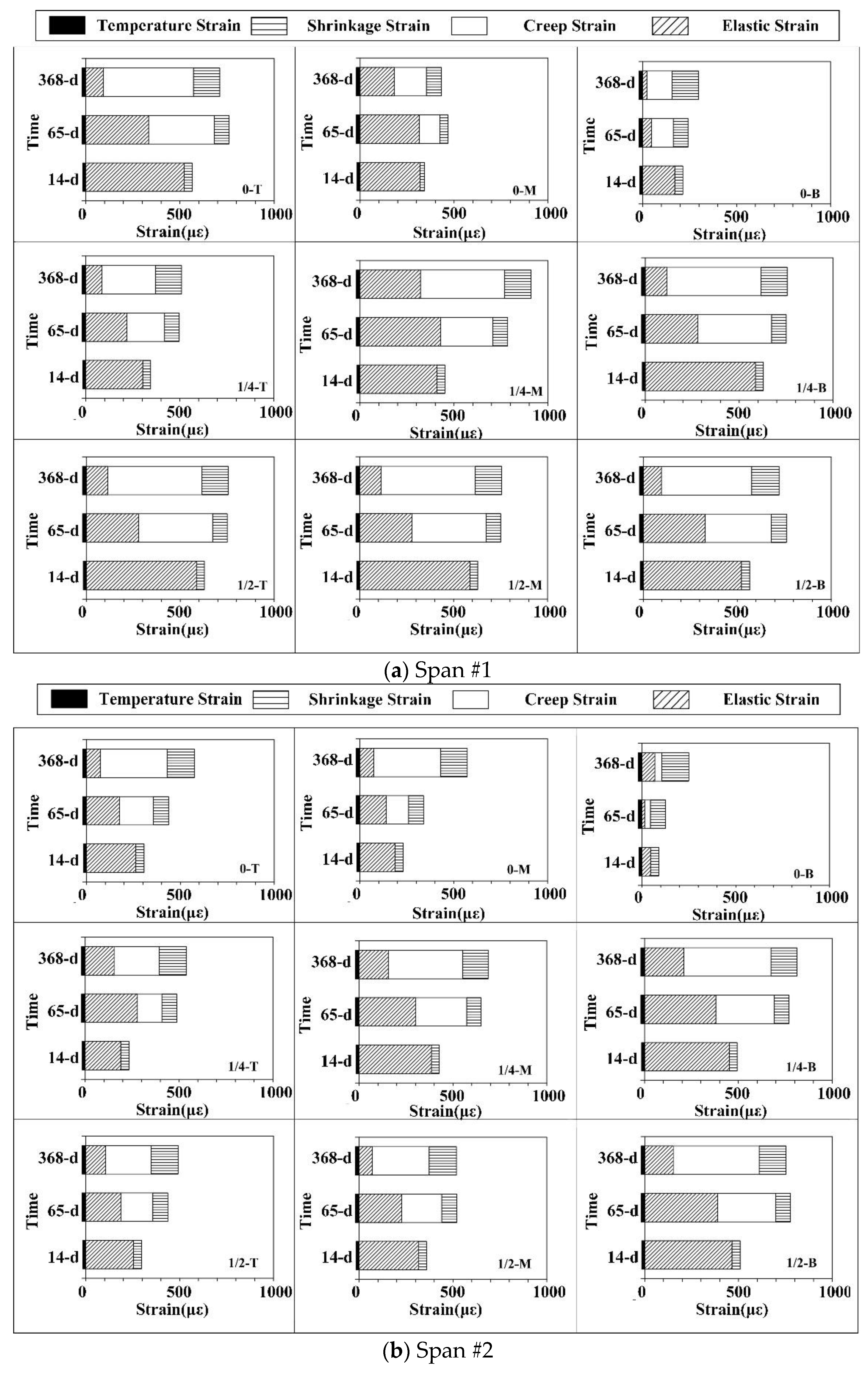
On the basis of posterior distributions of the parameters, a series of samples were obtained using the Monte-Carlo sampling method, which were then introduced into the forward model (Equation (1)). The weight proportion of the strain components in the total strain were calculated for a certain cross-section of the spans during different construction stages. Figure 8 shows the constituents of the total strain at different locations. The figure shows that with the increase in the concrete’s age, the weight proportion of the concrete creep strain in the total strain increased, reaching up to 71%. After the pre-stressed stretching construction stage, the creep caused by the pre-stress increased and pre-stress relaxation occurred, resulting in the decreased elastic strain. The only exceptions are the results at the end of the cross-section, in which the proportion of the creep strain in the total strain at 368 days is smaller than that at 65 days. This might be because the tension of the pre-stress at that support would decrease the stress at the bottom of the end cross-section, which mitigates the increase in the creep strain. As the total strain at the bottom of the end cross-section was relatively small, it was not the control point in the structural design and structural performance evaluation. The creep strains at the other cross-sections were dominant in the total strain. Consequently, the influence of the creep strain should be the focus of attention in the design analysis of concrete bridges.

Figure 8.
Components of the total strain.
5. Discussion
The output of the inverse analysis is influenced by the ranges of the model spaces. The solution derived here from the inverse analysis is not unique [27]. The process of determining the likelihood function is essentially the process of optimizing the local model space. The prior information determines the range of the model space and influences the characteristics and numbers of the solution. As a result, the prior information concerning the parameters should be evaluated properly first.
It is difficult to establish a proper relationship between monitoring data and structural conditions, especially for the relationship between concrete stress and monitored strain. In the pre-stressed concrete continuous beam, stress was influenced by many factors, such as the construction sequence, vehicle load, initial and secondary stresses caused by pre-stress, pre-stress loss due to creep and shrinkage of concrete, etc. These factors have effects on the stress in the stress-dependent strain formula. This will generate instantaneous elastic strain and creep strain. Meanwhile, the generated strain will influence the stress through pre-stress loss or secondary stress. The relation between strain and stress in concrete beam is iteratively coupled. In this study, the concrete stress at different construction stages—instead of the process of stress development—is considered. The obtained stress can be compared with concrete strength to conduct structure evaluation. However, the constitution of the stress in concrete is ignored.
Through inversion analysis, posterior stress and the constitution of strain can be obtained, as shown in Figure 6 and Figure 8. On one hand, the case study verified the effectiveness of the proposed method. On the other hand, the result can be referred for other pre-stress concrete beam bridge to conduct rational structural design. The proposed method can decompose the monitoring data and determine the weight proportion of each component. This is important for monitoring the structural performance and modifying prediction models. It can be indicated from Figure 8 that creep strain dominates the total strain of concrete structures. This is helpful for long-term performance evaluation of bridges with other structural types, such as simply supported PC bridge decks or steel-concrete composite sections.
Additionally, unlike conventional methods, the solution derived from the proposed method is not unique. For a definitive system, the relationship among the physical variables is unique. However, for the case stated in this paper, the relationship between the model space and data space is not unique, and the latter is a subspace of the former. The stress based on the monitored strain is not unique. From a mathematical point of view, a monitored strain may correspond to multiple stresses. In practice, when the actual information is not sufficient, the specific quantile value of stress can be used to identify the adverse structural condition (such as a crack occurring) in maintenance decision making.
Accurate stress estimation is of great important for bridge design and maintenance. On the one hand, the obtained posterior information of concrete stress can be compared with the predicted stress in the design stage, which will provide guidance for designers updating stress prediction models. On the other hand, stress in concrete is an important index for the health evaluation of existing bridges. Through an inversion analysis based on the monitored strain, the initial stress of an as-built bridge and time-dependent stress curve could be obtained. This is helpful for making decisions in bridge management. Moreover, the proposed method can be used for evaluating other structural parameters based on monitored data, such as strength reduction in the concrete due to structural degradation.
6. Conclusions
This study proposed a monitored strain-based statistic inverse analysis method for the estimation of stress in different stages of PC beam bridge construction. Uncertainty of the models and several influential parameters were considered, and posterior information of stress was calculated. Some conclusions can be obtained, as follows:
- (1)
- Strain of concrete contains stress-dependent strain (such as elastic strain and creep strain) and stress-independent strain (such as shrinkage strain and temperature strain). Stress could not be directly calculated by the monitored strain.
- (2)
- Through a case study, it was found that the inverse analysis method could be used to effectively estimate concrete stress history based on the monitored strain. Error from the monitoring sensor has an effect on the estimation, resulting in a larger standard deviation of posterior information. As much monitored data as possible should be used to eliminate the influence of error data.
- (3)
- It can be concluded from the result of the case study that with the increase in the concrete’s age, the weight proportion of the concrete creep strain in the total strain increased, reaching up to 71%.
- (4)
- Due to the boundary constraint of the monitored information, the uncertainty of the posterior information was smaller to that of prior information. However, the error in monitored data have a great effect on the posterior information. Efforts should be made to eliminate the influence of error on result, and determine the rational requirement of the monitored data to obtain a sufficiently accurate estimation.
Author Contributions
Conceptualization and methodology, B.H. and H.X.; software, W.Y.; validation, P.J.; writing, H.X. All authors have read and agreed to the published version of the manuscript.
Funding
This research was funded by the Fundamental Research Funds for the Central Universities (grant number: 2019RC012).
Institutional Review Board Statement
Not applicable.
Informed Consent Statement
Not applicable.
Data Availability Statement
Not applicable.
Conflicts of Interest
The authors declare no conflict of interest.
List of Abbreviations and Symbols
| PC | pre-stressed concrete; |
| COV | coefficient of variation |
| m | model parameter vector |
| d | monitored parameter vector |
| conditional probability of the statistical parameters | |
| likelihood function | |
| D(m) | calculated result of the model parameter from the forward model |
| cost function | |
| N | the number of the parameters in the data space |
| variance of D(m) | |
| total strain | |
| stress-dependent strain at age of t | |
| time-independent strain | |
| elastic instantaneous strain | |
| creep strain at age of t | |
| shrinkage strain at age of t | |
| temperature strain | |
| restraint coefficient | |
| internal restraint coefficient | |
| external restraint coefficient | |
| external constraint stiffness, which is composed of the longitudinal pushing-resistance stiffness of support ks and the flexural stiffness of pier kp | |
| elastic modulus of concrete at age of t | |
| cross-sectional area of a concrete beam | |
| elastic modulus of the reinforcement in the concrete beam | |
| cross-sectional area of the reinforcement | |
| length of the concrete beam | |
| H | relative humidity |
| creep model uncertainty factor | |
| shrinkage model uncertainty factor | |
| mean and COV of posterior distribution of model parameters | |
| stress of the concrete at age of t | |
| concrete stress in the ith construction stage | |
| upper limit of concrete stress |
References
- De Domenico, D.; Messina, D.; Recupero, A. A Combined Experimental-Numerical Framework for Assessing the Load-Bearing Capacity of Existing PC Bridge Decks Accounting for Corrosion of Prestressing Strands. Materials 2021, 14, 4914. [Google Scholar] [CrossRef] [PubMed]
- Li, S.; Laima, S.; Li, H. Cluster analysis of winds and wind-induced vibrations on a long-span bridge based on long-term field monitoring data. Eng. Struct. 2017, 138, 245–259. [Google Scholar] [CrossRef]
- Webb, G.T.; Vardanega, P.J.; Hoult, N.A. Analysis of fiber-optic strain-monitoring data from a prestressed concrete bridge. J. Bridge Eng. 2017, 22, 05017002. [Google Scholar] [CrossRef] [Green Version]
- Abdel-Jaber, H.; Branko, G. Monitoring of long-term prestress losses in prestressed concrete structures using fiber optic sensors. Struct. Health Monit. 2018, 18, 254–269. [Google Scholar] [CrossRef]
- Sumitoro, S.; Matsui, Y.; Kono, M.; Okamoto, T. Long span bridge health monitoring system in Japan. In Proceedings of the 6th Annual International Symposium on NDE for Health Monitoring and Diagnostics, Newport Beach, CA, USA, 4–8 March 2001; pp. 517–524. [Google Scholar]
- Rodgers, C.D. Statistical principles of inversion theory. NASA Conf. Publ. 1977, 4, 117. [Google Scholar]
- Calabro, A.; Cusano, A.; Persiano, G.; Nasser, J.; Giordano, M. Dynamic Strain Measurements by Fiber Bragg Grating Sensor. In Proceedings of the 16th European Conference on Solid-State Transducers, Prague, Czech Republic, 15–18 September 2002. [Google Scholar]
- Saafi, M.; Sayyah, T. Health monitoring of concrete structures strengthened with advanced composite materials using piezoelectric transducers. Compos. Part B Eng. 2001, 32, 333–342. [Google Scholar] [CrossRef]
- Yang, D.Z.; Liu, X.P. Shape memory alloy and smart hybrid composites-advanced materials for the 21st century. Mater. Design 2000, 21, 503–505. [Google Scholar] [CrossRef]
- Maier, G.; Bocciarelli, M.; Bolzon, G.; Fedele, R. Inverse analyses in fracture mechanics. Adv. Fract. Res. 2006, 138, 47–73. [Google Scholar]
- Wijns, C.; Boschetti, F.; Moresi, L. Inverse modeling in geology by interactive evolutionary computation. J. Struct. Geol. 2003, 25, 1615–1621. [Google Scholar] [CrossRef] [Green Version]
- He, R.S.; Hwang, S.F. Damage detection by an adaptive real-parameter simulated annealing genetic algorithm. Comput. Struct. 2006, 84, 2231–2243. [Google Scholar] [CrossRef]
- Caddemi, S.; Morassi, A. Crack detection in elastic beams by static measurements. Int. J. Solids Struct. 2007, 44, 5301–5315. [Google Scholar] [CrossRef] [Green Version]
- Bakir, P.G.; Reynders, E.; Roeck, G.D. An improved finite element model updating method by the global optimization technique ‘Coupled Local Minimizers’. Comput. Struct. 2008, 86, 1339–1352. [Google Scholar] [CrossRef]
- Cividini, A.; Gioda, G. Back-analysis approach for the design of drainage systems. Int. J. Geomech. 2007, 7, 325–332. [Google Scholar] [CrossRef]
- Rechea, C.; Levasseur, S.; Finno, R. Inverse analysis techniques for parameter identification in simulation of excavation support systems. Comput. Geotech. 2008, 35, 331–345. [Google Scholar] [CrossRef]
- Ghasemzadeh, F.; Manafpour, A.; Sajedi, S.; Shekarchi, M.; Hatami, M. Predicting long-term compressive creep of concrete using inverse analysis method. Constr. Build. Mater. 2016, 124, 496–507. [Google Scholar] [CrossRef]
- Han, B.; Xie, H.B.; Yan, W.T.; Lei, D.C.; Zhu, L. Scour Risk Analysis of Existing Bridge Pier Based on Inversion Theory. Struct. Eng. Int. 2018, 28, 35–43. [Google Scholar] [CrossRef]
- Tarantola, A. Inverse Problem Theory and Methods for Model Parameter Estimation; Society for Industrial and Applied Mathematics: Philadelphia, PA, USA, 2005. [Google Scholar]
- Kaipio, J.; Somersalo, E. Statistical and Computational Inverse Problems; Springer: New York, NY, USA, 2005. [Google Scholar]
- Li, Y.; Udpa, L.; Udpa, S.S. Three-dimensional defect reconstruction from eddy-current NDE signals using a genetic local search algorithm. IEEE Trans. Magn. 2004, 40, 410–417. [Google Scholar] [CrossRef]
- Fédération Internationale du Béton (fib). Model Code for Concrete Structures 2010; Wilhelm Ernst & Sohn, Verlag für Architektur: Berlin, Germany, 2010. [Google Scholar]
- Guo, Z. Principles of Reinforced Concrete; Butterworth-Heinemann: Oxford, UK, 2015. [Google Scholar]
- Ministry of Communications of the People’s Republic of China. Specification for Design of Highway Reinforced Concrete and Prestressed Concrete Bridges and Culverts (JTG 3362-2018); Ministry of Communications of the People’s Republic of China: Beijing, China, 2018.
- Comite Euro-International du Beton. CEB-FIP Model Code 1990: Design Code; Thomas Telford: London, UK, 1993. [Google Scholar]
- Keitel, H.; Dimmig-Osburg, A. Uncertainty and sensitivity analysis of creep models for uncorrelated and correlated input parameters. Eng. Struct. 2010, 32, 3758–3767. [Google Scholar] [CrossRef]
- Park, R. Geophysical Inversion Theory; Princeton University Press: Princeton, NJ, USA, 1994. [Google Scholar]
Publisher’s Note: MDPI stays neutral with regard to jurisdictional claims in published maps and institutional affiliations. |
© 2021 by the authors. Licensee MDPI, Basel, Switzerland. This article is an open access article distributed under the terms and conditions of the Creative Commons Attribution (CC BY) license (https://creativecommons.org/licenses/by/4.0/).









