Next Article in Journal
Comprehensive Analysis of Housing Estate Infrastructure in Relation to the Passability of Firefighting Equipment
Next Article in Special Issue
Studies on Multi-Constraints Cooperative Guidance Method Based on Distributed MPC for Multi-Missiles
Previous Article in Journal
Probiotic Characterization and Population Diversity Analysis of Gut-Associated Pediococcus acidilactici for Its Potential Use in the Dairy Industry
 
 
Font Type:
Arial Georgia Verdana
Font Size:
Aa Aa Aa
Line Spacing:
Column Width:
Background:
Article

Optimal Cruise Characteristic Analysis and Parameter Optimization Method for Air-Breathing Hypersonic Vehicle

1
College of Aerospace Science, National University of Defense Technology, Changsha 410073, China
2
Shanghai Electromechanical Engineering Research Institute, Shanghai 201109, China
*
Author to whom correspondence should be addressed.
Appl. Sci. 2021, 11(20), 9565; https://doi.org/10.3390/app11209565
Submission received: 14 September 2021 / Revised: 5 October 2021 / Accepted: 12 October 2021 / Published: 14 October 2021

Abstract

:
There is an optimal cruise point with the lowest fuel consumption when a hypersonic vehicle performs steady-state cruise. The optimal cruise point is composed of the optimal cruise altitude and the optimal cruise Mach number, and its position is closely related to the aircraft parameters. This article aims to explore the relationship between the optimal cruise point and relevant aircraft parameters and establish a model to describe it, then an aircraft parameter optimization method of adjusting the optimal cruise point to the target position is explored with validation by numerical simulation. Firstly, a parameterized model of a hypersonic vehicle is obtained as a basis, then the optimal cruise point is obtained by the optimization method, and the influence of a single aircraft parameter on the optimal point is investigated. In order to model the relationship between the aircraft parameters and the optimal cruise point, a neural network is employed. Finally, the model is used to optimize the aircraft parameters under multiple constraints. The results show that, after aircraft parameters optimization, the optimal cruise point is located at the predetermined position and the fuel consumption is lower, which provides a new perspective for the design of aircraft.

1. Introduction

An air-breathing hypersonic vehicle generally refers to an aircraft powered by air-breathing engines and flying at a Mach number above 5 [1]. It has a series of advantages, such as high altitude, fast speed, and strong penetrability, which has a far-reaching impact on the future development of the aerospace field [2,3]. Therefore, the research of hypersonic technology has received extensive attention from researchers all over the world.
In the cruise phase of a hypersonic vehicle, steady-state cruise refers to the cruise mode whose altitude and speed remain constant [4]. Steady-state cruise is simple and direct and has high stability for a hypersonic vehicle [5]. In order to save fuel and increase the range of the aircraft, the fuel consumption averaged by the range is an important indicator that many studies of trajectory optimization focus on. Research has shown that, when the aircraft performs steady-state cruise at different altitudes or Mach numbers, the fuel consumption is different [6,7,8,9]. Under a determined aircraft model, there is an optimal steady-state cruise point composed of the optimal cruise Mach number and the optimal cruise altitude. When the aircraft performs steady-state cruise at the Mach number and altitude of the optimal point, the fuel consumption averaged by the range is lowest [10]. To obtain the optimal cruise point, a great deal of research is carried out.
Based on a parametric model of HL-20, a hypersonic vehicle widely used in trajectory optimization research, Liu et al. [11] developed a two-level optimization algorithm combining particle swarm optimization and sequential quadratic programming to solve the optimal steady-state cruise point; Gao et al. [12] employed the fmincon function in MATLAB to determine the position of the optimal cruise point. In [13], it was pointed out that a higher altitude was beneficial to reduce drag, but, at the same time, it would reduce the specific impulse. Therefore, the optimal cruise point was a combined result of these two aspects.
Most of this research is based on the HL-20 aircraft model. However, the parametric model of HL-20 is an ideal model whose specific impulse is independent from the equivalence ratio, while it has been found that the specific impulse should be negatively correlated with the equivalent ratio in the ramjet engine [14]. As a hypersonic vehicle enters the stage of engineering practice, to better develop the hypersonic vehicle, it is significant to clarify the cruise characteristics based on a more practical aircraft model.
In addition, for different aircraft models, the positions of the optimal cruise points are also different, which reveals the position of the optimal cruise point is closely related to the aircraft parameters. Even though some methods have been developed to solve the optimal cruise point, there is little research about how the aircraft parameters influence the optimal cruise point. In the aircraft design process, when the aircraft parameters are determined, there is a corresponding optimal steady-state cruise point. However, if the subjectively desired cruise Mach number and altitude deviate from the objective Mach number and altitude of the optimal cruise point, the fuel consumption cannot be reduced fully. Then, the optimal cruise point can be taken into account in the aircraft design to guide the optimization of the aircraft parameters. The optimal cruise point can be changed after aircraft parameters optimization and then coincide with the subjective desired cruise point, which is of great benefit to save fuel. Therefore, exploring the influence law of aircraft parameters on the optimal cruise point and carrying out the research on aircraft parameter optimization is of great significance to provide a new perspective for aircraft design.
Regarding the analysis and optimization of aircraft parameters, a great deal of research has been carried out. In the early days, researchers focused on analyzing a single aircraft parameter to investigate its impact on the range, lift-to-drag ratio, and other aspects of performance [15]. The control variable method was widely adopted, especially in the research about range. To study the relationship between the range of a hypersonic vehicle and the aircraft parameters, the Bruguet formula was employed [16,17], and some methods, such as the cell mapping method in [18], were applied as well. Moreover, the aerodynamic layout of the hypersonic vehicle was analyzed to clarify the influence on the lift-drag ratio and other indicators [19,20].
However, due to the strong interaction between the aircraft parameters, the hypersonic vehicle is a complex system. The analysis and optimization of the aircraft parameters cannot focus only on a single factor. The coupling relationship between various parameters also needs to be taken into consideration. Therefore, in recent years, surrogate model technology has been widely employed in the analysis of aircraft parameters. The relationship between the aircraft parameters and performance indicators can be described by a surrogate model, and then parameter optimization can be carried out based on the surrogate model [21]. Currently, to establish a surrogate model, polynomial regression, the Kriging model, radial basis function, and a neural network can be employed [22]. In addition, many statistical methods have been introduced into the research based on the surrogate model. In the analysis of the aircraft parameters, the sensitivity analysis method [23] and correlation analysis method were widely used to dig out important parameters whose influence was most obvious [24,25]. The orthogonal test and some novel methods, such as the technology identification, evaluation and selection method in [26] and hybrid algorithm in [27], were employed to explore an optimal design space and parameter estimation in aircraft parameters analysis as well.
Based on the surrogate model, optimization methods have been widely employed in the parameter optimization research [28]. There are various parameter optimization methods, which can be mainly divided into gradient-based methods and the intelligent method. With the development of computing science, the intelligent method increasingly plays an important role. A genetic algorithm (GA), particle swarm optimization (PSO), differential evolution (DE) algorithm, and so on have been widely developed [29]. For an optimization problem with high dimensions, the PSO algorithm is demonstrated to be suitable and is also easy to program, so a great deal of research has adopted it [30,31].
In this paper, in order to describe the influence of aircraft parameters on the optimal cruise point, a sensitivity analysis and surrogate model technology with the optimization method is employed. Firstly, based on a parametric hypersonic vehicle model, the position of the optimal cruise point is quickly solved by the PSO algorithm. On this basis, the influence law of a single aircraft parameter on the optimal cruise point is explored, and a model about the relationship between the aircraft parameters and optimal cruise point is established by neural network. Based on the model, the aircraft parameters are optimized under various constraints to adjust the optimal cruise point to the given position. The aircraft parameters optimization method proposed reveals how the aircraft parameters should be adjusted, which is able to provide guidance in the design of a hypersonic vehicle.

2. Models

2.1. Dynamic Equations

For simplicity, it is considered that Earth is a homogeneous sphere with a radius of 6378 km. The Coriolis inertial force is ignored, and the gravitational acceleration is regarded as a constant at 9.8 m/s2. The force analysis of aircraft is shown in Figure 1, where T is the thrust vector generated by the aircraft engine, R is the aerodynamic force vector that contains lift and drag, and G is the gravity vector.
The dynamic equation of the aircraft mass center in a form of vectors is as follows:
m d 2 r d t 2 = T + R + G
In the velocity coordinate system, Equation (1) can be decomposed into
{ m d v d t = T cos α D G sin γ m ( v d γ d t v 2 cos γ r ) = T sin α + L G cos γ
where v denotes the flight velocity, γ is the elevation angle of trajectory, α is the angle of attack, and m is the mass of the aircraft. Due to
{ h = r R e v = M a c
where h denotes the flying height (km) and Ma is Mach number, then the dynamic equation of the cruise phase is [6]:
{ d h d t = M a c sin γ d M a d t = T cos α D m g sin γ m c d γ d t = T sin α + L m M a c + cos γ ( M a c R e + h g M a c )
Based on the dynamic equation, the trajectory can be solved by numerical method. Before that, the magnitude of lift, drag, and thrust need to be determined.

2.2. Aerodynamic Force Calculation

The magnitude of lift and drag is calculated by lift coefficient and drag coefficient, which are denoted by CL and CD, respectively, as follows:
L = C L 1 2 ρ ( M a c ) 2 S D = C D 1 2 ρ ( M a c ) 2 S
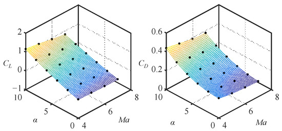
where ρ is the atmospheric density and S is the reference area of the aircraft. The lift coefficient and drag coefficient under different angles of attack, rudder angles, and incoming Mach numbers are obtained by CFD simulation. Then, in the process of trimming angle of attack, the rudder angle is adjusted to make the pitching moment equal to 0, and the lift coefficient and drag coefficient at this moment are regarded as the data under this angle of attack in steady state [32]. Subsequently, the lift coefficient and drag coefficient are parameterized by polynomial fitting. The fitting polynomials are as follows, and the values of coefficients are given in Table 1 and Table 2.
C L = i = 0 , j = 0 i + j 3 A i j M a i α j C D = i = 0 , j = 0 i 3 , i + j 4 B i j M a i α j
Figure 2 shows the comparison between the original data and the fitted results. It can be seen that, with the increase of angle of attack, the lift coefficient and drag coefficient increase, and, with the increase of Mach number, both of them decrease slowly.
The atmospheric parameters change a lot at different altitudes, which has a significant impact on the calculation of aerodynamic forces. In this paper, the American Standard Atmospheric Parameters Model is employed. Firstly, a gravity potential height is defined [33]:
H = h 1 + h / R e
where Re denotes the radius of Earth. When the altitude is within 20 to 32 km, the atmospheric density and temperature are calculated by the following formula:
W = 1 + H 124.9021 221.552 ρ ρ 0 = 2.5158 × 10 2 W 34.1629 T = 221.552 W   ( K )
where ρ0 = 1.225 kg/m3.
The sound velocity calculation formula is:
c = 1.4 × 287 × T
According to the formulas above, the lift and drag of aircraft can be calculated.

2.3. Thrust Calculation

The thrust of a hypersonic vehicle is generated by the ramjet. Air flow is captured by the inlet, then mixed with fuel, and burns to generate thrust. The air mass flow rate captured by the engine inlet, denoted by m ˙ i n l e t , is evaluated:
m ˙ i n l e t = φ i n l e t ρ M a c A
where A denotes the inlet area and φinlet is the inlet flow capture coefficient, which reflects the ability to capture air flow under different Mach numbers and angles of attack.
The calculation of φinlet is shown in Equation (11), and the values of coefficients are given in Table 3.
φ i n l e t = K 1 α 2 + K 2 M a 2 + K 3 α + K 4 M a + K 5 M a α + K 6
Since the kind of fuel in the scramjet is fixed, there is a relationship between the fuel mass flow rate and the air mass flow rate in complete combustion, which is displayed in Equation (12), where k is a proportion coefficient with a value at 0.07 and m ˙ f s t denotes the fuel mass flow rate required for complete combustion.
m ˙ f s t = k m ˙ i n l e t
The ratio of current fuel mass flow rate to the fuel mass flow rate required for complete combustion is called the equivalence ratio, which is denoted by Φ [34]:
Φ = m ˙ f u e l m ˙ f s t
When Φ = 1, it indicates that current amount of air flow can be completely consumed; when Φ < 1, it indicates that the current combustion in the engine is in an oxygen enriched state. However, when Φ < 0.45, it leads to insufficient fuel, and the engine cannot work normally. Therefore, the range of Φ is between 0.45 and 1.
Combining Equations (12) and (13), the fuel mass flow rate is:
m ˙ f u e l = Φ k m ˙ i n l e t
Then, the thrust is:
T = m ˙ f u e l I s p = Φ k m ˙ i n l e t I s p
where Isp denotes the specific impulse, a parameter related to equivalence ratio and Mach number:
I s p = f ( Φ ) g ( M a )
f(Φ) and g(Ma) are shown in Equation (17), and the values of coefficients are given in Table 4.
f ( Φ ) = ( 1 + 1 Φ 2 ) g ( M a ) = i = 1 4 C i M a i
f(Φ) reflects the influence of equivalence ratio on specific impulse. If the equivalence ratio is lower, fuel is more likely to burn completely due to more adequate oxygen; thus, larger thrust can be generated by a unit mass of fuel, and the specific impulse is larger as a result. Compared with the HL-20 aircraft model, whose impulse is independent from equivalence ratio [4,6], this model is closer to the actual situation.
g(Ma) reflects the influence of Mach number on the specific impulse. When Mach number increases, specific impulse will decrease.
Figure 3 shows the comparison between the parametric thrust model and the original data at an angle of attack of 5°. It can be seen that the parametric model can accurately reflect the trend of thrust with Mach number and equivalence ratio: with the increase of Mach number, the thrust increases gradually; when the equivalence ratio increases, more fuel is burned and more thrust is generated.

2.4. Fuel Consumption Calculation

To evaluate the flight cost during steady-state cruise, the fuel consumption averaged by range is employed as an indicator. If the fuel consumption averaged by range is smaller, the range is larger using the same mass of fuel. The time derivative of range is [35]:
d r d t = M a c cos γ ( R e R e + h )  
Combined with Equations (10) and (14), the derivative of fuel consumption to range can be obtained as follows:
d m d r = Φ k φ i n l e t ρ A cos γ ( 1 + h R e )
Due to the Mach number and altitude remaining unchanged during the steady-state cruise and the fuel consumption per second being rather small compared with the total aircraft mass, it is considered that all the parameters in Equation (19) remain basically unchanged [11]; thus, the fuel consumption averaged by range can be calculated by Equation (19) directly.
So far, the parametric aircraft model is established. Given the angle of attack, Mach number, and equivalence ratio, the aerodynamic force and thrust can be calculated, then the cruise trajectory can be obtained by the dynamic equation. Finally, the fuel consumption averaged by the range can be solved.
In the dynamic equation and parametric aircraft model, the relevant aircraft parameters include lift coefficient, drag coefficient, inlet area, specific impulse, aircraft mass, and reference area. In this paper, these six aircraft parameters are regarded as the parameter group that is mainly focused on.

3. Solution of Optimal Cruise Point

Previous studies have found that, when the aircraft is cruising at different Mach numbers and altitudes, its fuel consumption averaged by the range is different, and there is a certain value of altitude and Mach number to minimize the fuel consumption. According to the aircraft model in this paper, the steady-state cruise characteristics at different Mach numbers and altitudes are analyzed.

3.1. Steady-State Cruise Parameter Solution

In steady-state cruise, the elevation angle of trajectory is constant at 0, and the altitude and Mach number remain unchanged; thus, Equation (4) is simplified into:
{ d M a d t = T cos α D m g sin γ m c = 0 d γ d t = T sin α + L m M a c + cos γ ( M a c R e + h g M a c ) = 0
Lift and drag are related to altitude, Mach number, and angle of attack, while thrust is related to altitude, Mach number, angle of attack, and equivalence ratio. In short, there are two equations with four unknowns. From Equation (20), it can be obtained that
{ T cos α D m g sin γ = 0 T sin α + L + cos γ m ( M a c ) 2 R e + h m g cos γ = 0
If the upper equation in Equation (21) is multiplied by tanγ, T can be eliminated:
D tan α + L m g + m ( M a c ) 2 ( R e + h ) = 0
Then, substitute Equation (5) into Equation (22) and it can be obtained that
C D 1 2 ρ ( M a c ) 2 S tan α + C L 1 2 ρ ( M a c ) 2 S m g + m ( M a c ) 2 ( R e + h ) = 0
If the value of h and Ma are given, ρ and c can be obtained. Due to the fact that CL and CD are related to Ma and α, Equation (23) is an equation only related to α, which can be solved by the method of bisection. After the value of α is obtained, there is only one unknown left. Then, the equivalent ratio can be solved by Equation (21) so as to solve the fuel consumption.
The fuel consumption averaged by the range is solved in the range of Mach 4 to 7 and 20 km to 29 km by the traversing method at a Mach number interval of 0.1 and an altitude interval of 200 m. The contour of fuel consumption at different altitudes and Mach numbers is displayed in Figure 4. Since the equivalence ratio ranges from 0.45 to 1, there are boundaries in the contour caused by the constraints of the equivalence ratio, which means there is no solution of Equation (21) and steady-state cruise cannot be achieved in the region outside the boundaries. The distribution of fuel consumption is similar to a basin. If the Mach number or altitude is too high or too low, the fuel consumption will increase up to 1.2 kg/km, while the minimum is only about 0.4 kg/km. The group of the Mach number and altitude with the minimum fuel consumption is called the optimal steady-state cruise point and is denoted by (Maopt, hopt), which is in the range of Mach 4.5 to 5.5 and 24 km to 26 km.

3.2. Fast Solution of Optimal Cruise Point

Although a rough position of the optimal cruise point can be obtained by the traversing method, it is time-consuming and accuracy is limited. In order to determine the position of the optimal cruise quickly and accurately, the optimization algorithm is employed.
According to the analysis, there are actually only two variables when solving steady-state cruise. Given the cruise Mach number and altitude, the other trajectory parameters can be calculated. Therefore, the solution of the optimal cruise point can be regarded as an optimization problem with two variables in which the fuel consumption is the optimization objective and the cruise Mach number and altitude are the optimization variables. Therefore, the mathematical expression of the optimization problem is:
{ min J = Φ k φ i n l e t ρ A cos γ ( 1 + h R e ) s . t { 22 h 28 4 M a 7 T cos α D m g sin γ m c = 0 T sin α + L m M a c + cos γ ( M a c R e + h g M a c ) = 0
The particle swarm optimization (PSO) algorithm is used to solve the optimization problem. The optimization algorithm process is displayed in Figure 5, and the details are as follows:
  • Step 1: randomly generate an initial particle swarm, and each particle is two-dimensional and represents a group of Mach number and altitude;
  • Step 2: calculate the steady-state cruise trajectory parameters at the Mach number and altitude represented by a particle;
  • Step 3: calculate the fuel consumption averaged by range at the altitude and Mach number represented by a particle as the fitness function value;
  • Step 4: update the velocity and position of particles according to the fitness function value to obtain a new iteration of particle swarm;
  • Step 5: repeat Steps 2 to 5 until the termination conditions are satisfied.
Based on the optimization process, the optimal cruise point can be obtained. The size of the particle swarm is 10, and the maximum number of iterations is 30. Figure 6 shows the change of the fitness function value. The algorithm converges after 10 iterations. Finally, the altitude of the optimal cruise point is 24.95 km, and the Mach number is 4.95. Figure 7 displays the position of the optimal cruise point in the fuel consumption contour. The angle of attack corresponding to the optimal cruise point is 9.47°, and the equivalence ratio is 0.556. The minimal fuel consumption averaged by the range is 0.396 kg/km.
Therefore, if the aircraft parameters are determined, the position of the optimal cruise point can be obtained quickly and accurately by this PSO algorithm. On this basis, the aircraft parameters can be adjusted and corresponding optimal cruise points can be obtained, then the influence of the aircraft parameters on the optimal cruise point can be explored.

4. Analysis and Modeling of Aircraft Parameters

According to previous analysis, for a determined parametric aircraft model, there is a corresponding optimal steady-state cruise point, and the position of the optimal cruise point is determined by the aircraft parameters. How the aircraft parameters affect the position of the optimal cruise point is also a problem worthy of exploration, which has guiding significance for the design of aircraft.

4.1. Analysis of Single Aircraft Parameter

The aircraft parameters group studied in this paper includes lift coefficient, drag coefficient, inlet area, specific impulse, aircraft mass, and reference area. These six parameters can be divided into three aspects, as shown in Figure 8: aerodynamic shape (lift coefficient and drag coefficient), propulsion system (inlet area and specific impulse), and structural design (aircraft mass and reference area).
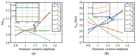
The values of these six aircraft parameters are adjusted to explore their influence on the optimal cruise point denoted by (Maopt, hopt). The ratio between the value after adjustment and the original value is denoted by XL, XD, XA, XI, Xm, and XS, respectively.
Within the range of 0.8 to 1.5, the influence of a single factor in (XL, XD, XA, XI, Xm, XS) is investigated. Only one variable is changed at a time, and the rest remain at 1. After the aircraft parameters are adjusted, the corresponding optimal cruise points are obtained by the PSO algorithm in Figure 5.
Figure 9 shows the influence of different factors. From Figure 9a, Maopt has a positive correlation with XA and XI, and the effects of XA and XI on Maopt are very similar, which indicates that, if the magnitude of thrust determined by XA and XI is larger, Maopt will increase as well. Further, Maopt has a negative correlation with XD and XS, and the effects of XD and XS on Maopt are also similar, which indicates that, if the magnitude of drag determined by XD and XS is larger, Maopt is lower. Differently, XL and Xm have little effect on Maopt.
It can be seen from Figure 9b that hopt is sensitive to all the factors. In detail, hopt is positively correlated with XL, XA, XI, and XS, and the effects of XA and XI on hopt are very similar, which indicates that the magnitude of thrust determined by XA and XI also has a great impact on hopt, while hopt has a negative correlation with XD and Xm.
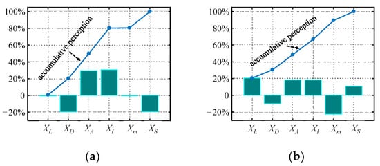
A multiple regression analysis is employed to quantify the influence of the six factors on the optimal cruise point, and the regression coefficient is normalized as an index of sensitivity. Figure 10 shows the sensitivity percentages of the different factors, where a negative sign indicates a negative correlation between the factor and the dependent variable. It can be seen that XA and XI have the largest impact on the optimal cruise Mach number, accounting for nearly 30%, followed by XD and XS, which are negatively correlated, while the sensitivity of XL and Xm is almost 0; XA, XI and Xm have the greatest influence on the optimal cruise altitude, accounting for about 20%, where the influence of Xm is negative.
Based on the conclusions above, the inlet area, specific impulse, and drag coefficient have the largest impact on the optimal steady-state cruise Mach number. If the optimal cruise Mach number needs to be enhanced, the inlet area and specific impulse should be larger or the drag of aircraft should be reduced. Due to the inlet area, the specific impulse and aircraft mass have the largest impact on the optimal cruise altitude. To improve the optimal cruise altitude, the most effective way is to increase the inlet area and specific impulse, or reduce the weight of the aircraft.
Figure 11 shows the influence of the six factors on fuel consumption averaged by the range. It can be seen that XD, Xm, and XS are positively correlated with fuel consumption, while XL, XA, and XI are negatively correlated with it. Therefore, in order to reduce the fuel consumption, the lift coefficient and specific impulse as well as the inlet area should be increased, where the effect of increasing specific impulse is the best; in addition, the mass and drag coefficient, as well as the reference area of the aircraft, should be reduced, where the effect of drag coefficient reduction is the best.
However, compared with the altitude and fuel consumption of the optimal cruise point, the change range of the Mach number is the smallest, which means that it is difficult to greatly change the optimal cruise Mach number by adjusting the aircraft parameters in the current range.

4.2. Modeling of Aircraft Parameters

Through the analysis of a single factor, the influence of different aircraft parameters on the optimal cruise point is clarified. However, due to the complex interaction among these parameters, the influence of a single factor has limited ability to guide aircraft design, and it is necessary to consider simultaneous changes of different aircraft parameters. Therefore, it is of significance to establish a mathematical model that can comprehensively describe the relationship between the aircraft parameters and optimal cruise point.
A neural network (NN) is a complex network system that simulates the human brain. It consists of a large number of simple neurons connected with each other [36,37,38]. A feed forward neural network (FFNN) is a kind of neural network. In recent years, it has been widely used in data predicting and so on [39]. In this paper, due to there being six parameters, it is difficult to model the influence law by polynomial fit explicitly. Therefore, FFNN is employed to establish a mathematical model of (Maopt, hopt) and (XL, XD, XA, XI, Xm, XS); the model has six inputs and two outputs.
Firstly, 500 sample points are generated for the six inputs from the Optimal Latin Hypercube Distribution [40] in a range of 0.8 to 1.5, and the values of (Maopt, hopt) for the 500 samples are obtained by the PSO for the optimal cruise point in Figure 5. Furthermore, 400 of the samples are used as the training set, 75 as the validation set, and the other 25 as the test set. The logsig function is employed in the hidden layer, and the output layer transfer function is Purelin Linear. The L-M method is employed as the learning method. The structure of the FFNN is displayed in Figure 12.
The regression results after training are illustrated in Figure 13. It can be seen that the target value and output results are basically on the same line, and the value of the regression coefficient is close to 1, which shows a good training effect.
The model estimated values and accurate values of the 25 points in the test set are compared in Figure 14. It can be seen that the estimated values are within the deviation range of 3% of the accurate value, indicating that the trained neural network model can accurately describe the relationship between (Maopt, hopt) and (XL, XD, XA, XI, Xm, XS). Based on this model, given the value of the six factors, the values of (Maopt, hopt) can be quickly obtained.

5. Aircraft Parameter Optimization Method

After the model is obtained, given the value of (XL, XD, XA, XI, Xm, XS), (Maopt, hopt) can be obtained quickly. Therefore, if various parameters change simultaneously, the reaction of the optimal cruise point can be studied. By this way, if the subjective desired cruise point does not coincide with the actual optimal cruise point, the optimal cruise point can be adjusted to the target position by optimizing the aircraft parameters.
However, due to the interaction between the aircraft parameters, the coupling relationship between the aircraft parameters needs to be considered when optimization is carried out.
Since there is a complex coupling relationship between the aircraft parameters, take the following constraints as examples to illustrate the optimization method of the aircraft parameters based on the neural network model:
(1)
The maximum increment of the lift coefficient is 5%, and the drag coefficient will also increase at the same time, and the minimal increment is 1/2 of that of the lift coefficient;
(2)
The maximum increment of the inlet area is 30%; meanwhile, the aircraft mass and reference area will also increase, and the minimal increments are 1/3 and 1/4 of that of the inlet area, respectively;
(3)
The maximum increment of the specific impulse is 10%.
These constraints can be adjusted according to the actual situation. Now that it is difficult to adjust the optimal cruise Mach number greatly, the optimal cruise altitude is mainly focused. The target of the optimal cruise point is set at (Ma5, 26 km).
However, if the aircraft parameters can be changed at the same time, to adjust the optimal cruise altitude to the desired value, there is more than one plan since six relevant aircraft parameters are considered. The fuel consumption after aircraft parameters optimization is different by various adjustment plans. Therefore, in this paper, the plan with the minimum fuel consumption after adjustment is explored. Since there may be more than one solution, under the condition that the optimal cruise point after adjustment is located at (Ma5, 26 km), reducing the fuel consumption is also an objective. The condition that the optimal cruise point is located at (Ma5, 26 km) is reflected in the fitness function in the form of the penalty function, so the fitness function is written as:
f i t n e s s = F h + F M + T ˜ g I ˜ s p M ˜ a c cos γ ( 1 + h ˜ R e )
where “~” indicates that the parameter after adjustment, and the penalty functions Fh and FM are regarding altitude and Mach number, respectively.
F h = { λ 1 | h ˜ o p t 26 | 26 ,   i f   | h ˜ o p t 26 | 26 > ε 0 , e l s e   F M = { λ 2 | M ˜ a o p t 5 | 5 ,   i f   | M ˜ a o p t 5 | 5 > ε 0 , e l s e
λ1 and λ2 are both large numbers, and ε is a small tolerance.
Therefore, the aircraft parameter optimization problem can be expressed mathematically as:
minimize   f i t n e s s = F h + F M + T ˜ g I ˜ s p M ˜ a c cos γ ( 1 + h ˜ R e ) subject   to   { X L 1.05 X D 1 + 1 2 ( X L 1 ) X A 1.3 X m 1 + 1 3 ( X A 1 ) X S 1 + 1 4 ( X A 1 ) X I 1.1
The particle swarm optimization algorithm is employed, whose process is outlined in Figure 5. Each particle in the algorithm represents a group of (XL, XD, XA, XI, Xm, XS), and the objective is to minimize the fitness of the particles. The optimal solution should be a group of (XL, XD, XA, XI, Xm, XS), with the lowest fitness computed by (25).
The results are displayed in Table 5. The lift coefficient needs to increase by 5%, while the drag coefficient will increase by 2.5% as a result; the inlet area should increase by 25.93%, while the mass will increase by 8.64%, and the reference area will increase by 12.91%; the specific impulse needs to increase by 10%. It can be seen that the variation of the lift coefficient and impulse reach their boundaries, while the variation of the inlet area and reference area are within the feasible range. If the constraints are different, the optimization results will change as well. After the aircraft parameters are adjusted, the optimal steady-state cruise point estimated by the neural network model is located at (Ma4.99, 25.95 km).
Under the optimized aircraft parameters, the position of the accurate optimal cruise point and contour of fuel consumption are displayed in Figure 15. It can be seen that the actual optimal cruise point after adjustment is located at (Ma4.99, 25.92 km), which basically meets the goal of adjusting the optimal cruise point from (Ma4.95, 24.95 km) to (Ma5, 26 km). In addition, the adjustment adopts a plan with the lowest fuel consumption at 0.3642 kg/km with the constraints satisfied. Therefore, the method of optimizing the aircraft parameters based on the neural network model has been demonstrated to be effective.
So far, not only the optimal cruise point is adjusted to the target position but also the fuel consumption after adjustment is the lowest. However, it is difficult to greatly adjust the optimal cruise Mach number under the current constraints. If the technical bottleneck of the ramjet can be broken through and an engine with a larger size and significantly increased specific impulse can be obtained, it will be of great benefit to adjust the optimal cruise Mach number in a large range.

6. Conclusions

There is an optimal cruise point for hypersonic vehicles when performing steady-state cruise, and, at this point, the fuel consumption is the lowest. The position of the optimal cruise point is closely related to the aircraft parameters. In this paper, to clarify the influence of the aircraft parameters on the optimal cruise point, the optimal cruise point under a basic parametric aircraft model was firstly solved by an optimization algorithm, and then the influence of different parameters was investigated with modeling by a neural network. In order to make the aircraft cruise at the desired Mach number and altitude with the lowest fuel consumption, an aircraft parameter optimization method whose aim was to adjust the optimal cruise point to a given position was explored with numerical vindication. The main conclusions of this paper are as follows:
(1)
The influence of aircraft parameters on the optimal cruise point is clarified. The optimal cruise Mach number is mainly related to the specific impulse and inlet area, and the optimal cruise altitude is mainly related to the specific impulse, inlet area, and aircraft mass.
(2)
The neural network model established in this paper can accurately describe the influence of the aircraft parameters on the position of the optimal cruise point.
(3)
The aircraft parameter optimization method is effective to adjust the optimal cruise point to a desired position, and the adjustment plan is also optimal in minimizing the fuel consumption, which provides a new perspective for the design of aircraft.
The parameter analysis and optimization method can be applied in other aircraft models, and the constraints of the aircraft parameters can be changed according to the actual situation as well, which can reveal how the aircraft parameters should be adjusted and thus provide guidance in the design of aircraft.

Author Contributions

Conceptualization, H.L. and Y.W.; Investigation, Y.W.; Methodology, H.L. and Y.Z.; Software, Y.Z. and S.D.; Visualization, S.D.; Writing—original draft, H.L.; Writing—review & editing, S.X. All authors have read and agreed to the published version of the manuscript.

Funding

This research was funded by Postgraduate Scientific Research Innovation Project of Hunan Province, grant number CX20200084.

Institutional Review Board Statement

Not applicable.

Informed Consent Statement

Not applicable.

Data Availability Statement

The data presented in this study are available on request from the corresponding author.

Acknowledgments

The authors want to express their thanks to Tao Tang.

Conflicts of Interest

The authors declare no conflict of interest.

References

  1. Fan, Y.; Lu, F.; Zhu, W.; Bai, G.; Yan, L. A hybrid model algorithm for hypersonic glide vehicle maneuver tracking based on the aerodynamic model. Appl. Sci. 2017, 7, 159. [Google Scholar] [CrossRef] [Green Version]
  2. Li, Z.; Shi, S. Adaptive loss fault tolerance control of unmanned hypersonic aircraft with elasticity. Aerospace 2021, 8, 176. [Google Scholar] [CrossRef]
  3. Fan, Y.; Zhu, W.; Bai, G. A Cost-effective tracking algorithm for hypersonic glide vehicle maneuver based on modified aerodynamic model. Appl. Sci. 2016, 6, 312. [Google Scholar] [CrossRef] [Green Version]
  4. Li, H.; Wang, Y.; Zhou, Y.; Xu, S.; An, K.; Fan, X. Optimization and analysis for hypersonic steady-state cruise trajectory. In Proceedings of the 33rd Chinese Control and Decision Conference, Kunming, China, 22–24 May 2021; pp. 7555–7560. [Google Scholar]
  5. Wang, K.; Zhang, B.; Hou, Y. Multiobjective optimization of steady-state cruise trajectory for a hypersonic vehicle. In Proceedings of the 2017 3rd IEEE International Conference on Control Science and Systems Engineering, Beijing, China, 17–19 August 2017; pp. 130–135. [Google Scholar] [CrossRef]
  6. Chuang, C.; Morimoto, H. Periodic optimal cruise for a hypersonic vehicle with constraints. J. Guid. Control Dyn. 1997, 34, 165–171. [Google Scholar] [CrossRef]
  7. Wang, W.; Hou, Z.; Shan, S.; Chen, L. Optimal periodic control of hypersonic cruise vehicle: Trajectory features. IEEE Access 2019, 7, 3406–3421. [Google Scholar] [CrossRef]
  8. Chen, R.; Williamson, W.; Speyer, J.; Youssef, H. Optimization and implementation of periodic cruise for a hypersonic vehicle. J. Guid. Control Dyn. 2006, 29, 1032–1040. [Google Scholar] [CrossRef]
  9. Kang, B.; Spencer, D.; Tang, S.; Jordan, D. Optimal periodic cruise trajectories via a two-level optimization method. J. Spacecr. Rockets. 2015, 47, 597–613. [Google Scholar] [CrossRef]
  10. Kang, B.; Tang, S. Trajectory design and optimization of powered common aero vehicles. Acta Aeronaut. Astronaut. Sin. 2009, 30, 738–743. [Google Scholar] [CrossRef]
  11. Liu, X.; Wang, Y.; Liu, L.; Huang, J. Optimization on steady-state cruise for a hypersonic vehicle. In Proceedings of the 33rd Chinese Control Conference, Nanjing, China, 28–30 July 2014; pp. 8935–8940. [Google Scholar] [CrossRef]
  12. Gao, H.; Chen, Z.; Sun, M.; Chen, Z. General periodic cruise guidance optimization for hypersonic vehicles. Appl. Sci. 2020, 10, 2898. [Google Scholar] [CrossRef] [Green Version]
  13. Li, H.; Wang, Y.; Zhou, Y.; Xu, S.; Su, D. A two-level optimization method for hypersonic periodic cruise trajectory. Int. J. Aerosp. Eng. 2021, 2021, 9975007. [Google Scholar] [CrossRef]
  14. Zhang, H.; Gao, F.; Li, X.; Zhang, H. Numerical study on the effects of the equivalence ratio on the performance of supersonic combustor. J. Solid Rocket Technol. 2015, 4, 487–491. [Google Scholar] [CrossRef]
  15. Lewis, M. Significance of fuel selection for hypersonic vehicle range. J. Propul. Power. 2001, 17, 1214–1221. [Google Scholar] [CrossRef]
  16. Luo, J.; Li, C.; Xu, J. Inspiration of hypersonic vehicle with airframe/propulsion integrated design. Acta Aeronaut. Astronaut. Sin. 2015, 36, 39–48. [Google Scholar] [CrossRef]
  17. Luo, J.; Xu, M.; Liu, J. Research on lift and drag characteristic for the integrated configuration of hypersonic vehicle. J. Astronaut. 2007, 28, 1478–1481. [Google Scholar] [CrossRef]
  18. Zhang, Z.; Gao, Y.; Baoyin, H. Study on relationship between periodic cruise and configuration parameters of hypersonic vehicle. Missile Space Veh. 2009, 4, 4–7. [Google Scholar] [CrossRef]
  19. Chen, B.; Xu, G. Comparison of aerodynamic characteristic of near space high lift-drag ratio configuration. Chin. Q. Mech. 2014, 35, 464–472. [Google Scholar] [CrossRef]
  20. Isaienko, V.; Kharchenko, V.; Matiychyk, M.; Lukmanova, I. Analysis of layout and justification of design parameters of a demonstration aircraft based on solar cells. E3S Web Conf. 2020, 164, 13007. [Google Scholar] [CrossRef]
  21. Li, G.; Wang, J.; Wang, Y. Parametric research of the buoyancy-lifting aerial vehicle with the low pressure energy storage method. Acta Aeronaut. Astronaut. Sin. 2021, 42, 376–388. [Google Scholar] [CrossRef]
  22. Queipo, N.; Haftka, R.; Shyy, W.; Goel, T.; Vaidyanathan, R.; Kevin Tucker, P. Surrogate-based analysis and optimization. Prog. Aerosp. Sci. 2005, 41, 1–28. [Google Scholar] [CrossRef] [Green Version]
  23. Zhang, F.; Gao, Y.; Yao, H.; Wang, Y.; Luo, K. Structural Parameter Sensitivity Analysis of an Aircraft Anti-Icing Cavity Based on Thermal Efficiency. Int. J. Aerosp. Eng. 2019, 2019, 7851260. [Google Scholar] [CrossRef] [Green Version]
  24. Luo, S.; Luo, W.; Wang, Z. Analysis of the sensitivity of hypersonic cruise vehicle airframe/propulsion system integrated design parameters. J. Natl. Univ. Def. Technol. 2003, 25, 10–14. [Google Scholar] [CrossRef]
  25. Deng, F.; Qiao, Z.; Fu, Q.; Chen, L.; Tian, S.; Zhang, D. Hypersonic vehicle shape optimal design based on overall performance. J. Beijing Univ. Aeronaut. Astronaut. 2016, 42, 2587–2595. [Google Scholar] [CrossRef]
  26. Kim, S.; Yun, J.; Hwang, H. Sensitivity analysis and technology evaluation for a roadable personal air vehicle at the conceptual design stage. Appl. Sci. 2019, 9, 4121. [Google Scholar] [CrossRef] [Green Version]
  27. Roy, A.G.; Peyada, N.K. Aircraft parameter estimation using Hybrid Neuro Fuzzy and Artificial Bee Colony optimization (HNFABC) algorithm. Aerosp. Sci. Technol. 2017, 71, 772–782. [Google Scholar] [CrossRef]
  28. Forrester, A.; Keane, A. Recent advances in surrogate-based optimization. Prog. Aerosp. Sci. 2009, 45, 50–79. [Google Scholar] [CrossRef]
  29. Lian, Y.; Oyama, A.; Liou, M. Progress in design optimization using evolutionary algorithms for aerodynamic problems. Prog. Aerosp. Sci. 2010, 46, 199–223. [Google Scholar] [CrossRef]
  30. Pontani, M.; Conway, B. Particle Swarm Optimization Applied to Space Trajectories. J. Guid. Control Dyn. 2010, 33, 1429–1441. [Google Scholar] [CrossRef]
  31. Kim, J.; Lee, J. Trajectory Optimization with Particle Swarm Optimization for Manipulator Motion Planning. IEEE Trans. Industr. Inform. 2015, 11, 620–631. [Google Scholar] [CrossRef]
  32. Guo, Z.; Qu, Z.; Liu, J. Numerical determination of trim angle of attack for reentry vehicles using dynamic unstructured grids. Acta Aerodyn. Sin. 2004, 22, 255–258. [Google Scholar] [CrossRef]
  33. Li, H.; Wang, Y.; Xu, S.; Zhou, Y.; Su, D. Trajectory optimization of hypersonic periodic cruise using an improved PSO algorithm. Int. J. Aerosp. Eng. 2021, 2021, 2526916. [Google Scholar] [CrossRef]
  34. Xu, W.; Lu, Y.; Liu, Y.; Chen, B. Design and optimization of periodic cruise trajectory for hypersonic vehicle. Flight Dyn. 2016, 34, 33–36. [Google Scholar] [CrossRef]
  35. Wang, Z.; Cheng, X.X.; Li, H. Hypersonic Skipping Trajectory Planning for High L/D Gliding Vehicles. In Proceedings of the 21st AIAA International Space Planes and Hypersonic Technologies Conference, Xiamen, China, 6–9 March 2017; pp. 1–7. [Google Scholar] [CrossRef]
  36. Izadpanahkakhk, M.; Razavi, S.M.; Taghipour-Gorjikolaie, M.; Zahiri, S.H.; Uncini, A. Deep Region of Interest and Feature Extraction Models for Palmprint Verification Using Convolutional Neural Networks Transfer Learning. Appl. Sci. 2018, 8, 1210. [Google Scholar] [CrossRef] [Green Version]
  37. Erskine, S.K.; Elleithy, K.M. Real-Time Detection of DoS Attacks in IEEE 802.11p Using Fog Computing for a Secure Intelligent Vehicular Network. Electronics 2019, 8, 776. [Google Scholar] [CrossRef] [Green Version]
  38. Tao, J.; Sun, G. An artificial neural network approach for aerodynamic performance retention in airframe noise reduction design of a 3D swept wing model. Chin. J. Aeronaut. 2016, 29, 1213–1225. [Google Scholar] [CrossRef] [Green Version]
  39. Franco, S.; Ah, C. Universal approximation using feedforward neural networks: A survey of some existing methods, and some new results. Neural Netw. 1998, 11, 15–37. [Google Scholar] [CrossRef]
  40. Park, J. Optimal latin-hypercube designs for computer experiments. J. Stat. Plan. Infer. 1994, 39, 95–111. [Google Scholar] [CrossRef]
Figure 1. Force analysis diagram of aircraft.
Figure 1. Force analysis diagram of aircraft.
Applsci 11 09565 g001
Figure 2. The change of CL and CD with angle of attack and Mach number.
Figure 2. The change of CL and CD with angle of attack and Mach number.
Applsci 11 09565 g002
Figure 3. Comparison between the parametric model and original data.
Figure 3. Comparison between the parametric model and original data.
Applsci 11 09565 g003
Figure 4. Contour of fuel consumption averaged by range.
Figure 4. Contour of fuel consumption averaged by range.
Applsci 11 09565 g004
Figure 5. Optimization process.
Figure 5. Optimization process.
Applsci 11 09565 g005
Figure 6. The change of fitness function value during optimization.
Figure 6. The change of fitness function value during optimization.
Applsci 11 09565 g006
Figure 7. The location of optimal cruise point in the contour of fuel consumption.
Figure 7. The location of optimal cruise point in the contour of fuel consumption.
Applsci 11 09565 g007
Figure 8. Considered parameters in this paper.
Figure 8. Considered parameters in this paper.
Applsci 11 09565 g008
Figure 9. Influence of different factors on the optimal cruise point: (a) Influence on Maopt; (b) Influence on hopt.
Figure 9. Influence of different factors on the optimal cruise point: (a) Influence on Maopt; (b) Influence on hopt.
Applsci 11 09565 g009
Figure 10. Sensitivity of different factors on the optimal cruise point: (a) Sensitivity on Maopt; (b) Sensitivity on hopt.
Figure 10. Sensitivity of different factors on the optimal cruise point: (a) Sensitivity on Maopt; (b) Sensitivity on hopt.
Applsci 11 09565 g010
Figure 11. Influence of different influence factors on the fuel consumption.
Figure 11. Influence of different influence factors on the fuel consumption.
Applsci 11 09565 g011
Figure 12. The structure of FFNN.
Figure 12. The structure of FFNN.
Applsci 11 09565 g012
Figure 13. Regression results of FFNN after training.
Figure 13. Regression results of FFNN after training.
Applsci 11 09565 g013
Figure 14. Comparison between estimated value and accurate value: (a) Estimated value and accurate value of Maopt; (b) Estimated value and accurate value of hopt.
Figure 14. Comparison between estimated value and accurate value: (a) Estimated value and accurate value of Maopt; (b) Estimated value and accurate value of hopt.
Applsci 11 09565 g014
Figure 15. Optimal point and contour of fuel consumption after adjustment.
Figure 15. Optimal point and contour of fuel consumption after adjustment.
Applsci 11 09565 g015
Table 1. Fitting coefficients of CL.
Table 1. Fitting coefficients of CL.
i0123
j
0−0.31030.2198−0.04910.0032
10.10020.00015−0.00069
20.0032−0.00024
30.0000456
Table 2. Fitting coefficients of CD.
Table 2. Fitting coefficients of CD.
i0123
j
00.5957−0.18550.0282−0.0015
1−0.04700.0314−0.00660.00044
2−0.000860.00086−0.000064
30.00013−0.000023
40.00000255
Table 3. Fitting coefficients of φinlet.
Table 3. Fitting coefficients of φinlet.
K1K2K3K4K5K6
0.0001135−0.002−0.012320.0330.005530.0815
Table 4. Fitting coefficients of g(Ma).
Table 4. Fitting coefficients of g(Ma).
C4C3C2C1
62.50−933.843391.22024.4
Table 5. Optimized results of aircraft parameters.
Table 5. Optimized results of aircraft parameters.
XDXIXLXmXSXA
1.0251.11.051.08641.12911.2593
Publisher’s Note: MDPI stays neutral with regard to jurisdictional claims in published maps and institutional affiliations.

Share and Cite

MDPI and ACS Style

Li, H.; Zhou, Y.; Wang, Y.; Du, S.; Xu, S. Optimal Cruise Characteristic Analysis and Parameter Optimization Method for Air-Breathing Hypersonic Vehicle. Appl. Sci. 2021, 11, 9565. https://doi.org/10.3390/app11209565

AMA Style

Li H, Zhou Y, Wang Y, Du S, Xu S. Optimal Cruise Characteristic Analysis and Parameter Optimization Method for Air-Breathing Hypersonic Vehicle. Applied Sciences. 2021; 11(20):9565. https://doi.org/10.3390/app11209565

Chicago/Turabian Style

Li, Hesong, Yunfan Zhou, Yi Wang, Sha Du, and Shangcheng Xu. 2021. "Optimal Cruise Characteristic Analysis and Parameter Optimization Method for Air-Breathing Hypersonic Vehicle" Applied Sciences 11, no. 20: 9565. https://doi.org/10.3390/app11209565

APA Style

Li, H., Zhou, Y., Wang, Y., Du, S., & Xu, S. (2021). Optimal Cruise Characteristic Analysis and Parameter Optimization Method for Air-Breathing Hypersonic Vehicle. Applied Sciences, 11(20), 9565. https://doi.org/10.3390/app11209565

Note that from the first issue of 2016, this journal uses article numbers instead of page numbers. See further details here.

Article Metrics

Back to TopTop