Next Article in Journal
AUDD: Audio Urdu Digits Dataset for Automatic Audio Urdu Digit Recognition
Next Article in Special Issue
Self-Balancing Power Amplifier with a Minimal DC Offset for Launcher Automation Control Circuits of a Surface-to-Air Missile System
Previous Article in Journal
A Secure Key Aggregate Searchable Encryption with Multi Delegation in Cloud Data Sharing Service
Previous Article in Special Issue
Equal Baseline Camera Array—Calibration, Testbed and Applications
 
 
Font Type:
Arial Georgia Verdana
Font Size:
Aa Aa Aa
Line Spacing:
Column Width:
Background:
Article

Parameter Optimization of dsRNA Splicing Evolutionary Algorithm Based Fixed-Time Obstacle-Avoidance Trajectory Planning for Space Robot

1
Key Laboratory of Bio-Resource and Eco-Environment of Ministry of Education, College of Life Sciences, Sichuan University, Chengdu 610065, China
2
College of Electrical Engineering, Sichuan University, Chengdu 610065, China
3
Xichang Satellite Launch Center, Xichang 615000, China
*
Author to whom correspondence should be addressed.
These authors contributed equally to this work.
Appl. Sci. 2021, 11(19), 8839; https://doi.org/10.3390/app11198839
Submission received: 1 September 2021 / Revised: 16 September 2021 / Accepted: 17 September 2021 / Published: 23 September 2021
(This article belongs to the Special Issue Automation Control and Robotics in Human-Machine Cooperation)

Abstract

This paper addresses a smoother fixed-time obstacle-avoidance trajectory planning based on double-stranded ribonucleic acid (dsRNA) splicing evolutionary algorithm for a dual-arm free-floating space robot, the smoothness of large joint angular velocity is improved by 15.61 % on average compared with the current trajectory planning strategy based on pose feedback, and the convergence performance is improved by 76.44 % compared with the existing optimal trajectory planning strategy without pose feedback. Firstly, according to the idea of pose feedback, a novel trajectory planning strategy with low joint angular velocity input is proposed to make the pose errors of the end-effector and base converge asymptotically within fixed time. Secondly, a novel evolutionary algorithm based on the gene splicing idea of dsRNA virus is proposed to optimize the parameter of the fixed-time error response function and obstacle-avoidance algorithm, which can make joint angular velocity trajectory is planned smooth. In the end, the optimized trajectory planning strategy is applied into the dual-arm space robot system so that the robotic arm can smoothly, fast and accurately complete the tracking task. The proposed novel algorithm achieved 7.56–30.40% comprehensive performance improvement over the benchmark methods, experiment and simulation verify the effectiveness of the proposed method.

1. Introduction

With the development of robotic technology, robots have been widely used as human auxiliaries in space, factories, ocean and cities [1,2,3,4,5]. In space activity, robots can forcefully deal with space junk, which is extremely important for the safety of others spacecraft. The key essence of the garbage capture mission is the trajectory tracking, in which trajectory planning is important [6,7]. Therefore, this study mainly discusses trajectory planning strategies based on joint space of robot arm, which can better reflect the motion model based on torque [8].
The 6-DOF(degrees of freedom) dual-arm is often mounted on the satellite base to perform capture missions because the dual-arm robot is flexibility and versatility, and the space robot also floats freely to save propellant. However, the dynamic coupling between the arm and base may cause the tracking error of the end-effector [9]. In order to keep pose of base stable, a motion planning strategy for the balance arm is adopted in the trajectory planning algorithm to offset dynamic coupling by some researchers [10,11]. However, the possible non-rank condition of the Jacobian matrix led to the singularity of the robotic motion system and make the joint angular velocity unsolved [12,13]. Xu et al. [14] proposed a nonsingular trajectory planing method for space robot based on complex position compensation structure, and the base position is stabilized at the same time. Nevertheless, the current trajectory planning strategies for space robot can produce large tracking errors and base deviation when avoiding obstacles; severe base deviation may even cause a satellite to crash or deviate from the solar-toward orbit. Therefore, Liu et al. [15] first proposed a pose-feedback trajectory planning strategy based on the idea of joint angular velocity control to eliminate the tracking errors caused by the singularity-avoidance algorithm. Based on that, Yan et al. [16] presented a fast obstacle-avoidance trajectory planning strategy by fixed-time stability to make the errors caused by the auxiliary algorithm converge asymptotically, but the current pose-feedback trajectory planning strategies lead to excessive joint angular velocity when the robotic arms need to avoid obstacles, which may accelerate the aging of the mechanical rotating parts.
At present, an important joint angular velocity trajectory optimization strategy for robot is to use the evolutionary algorithm to optimize the algorithm parameters of trajectory planning [17,18]. A particle swarm optimization is applied into the trajectory planning of space robot to search for the optimal motion trajectory of robot arm [11], but this method inevitably produce tracking errors of end-effector. Zhao et al. [19] presented a trajectory planning method based on improved genetic algorithm (IGA) to optimize the parameters, but the obtained joint angular velocity trajectory is not global optimal and the tracking errors remain. The current trajectory optimization strategies based on evolutionary algorithm are often conservative and the results often fall into the local optimal, so it is important for the IGA to find the solution closest to the global optimal.
Motivated by these issues, this paper proposes a novel trajectory planning strategy for a dual-arm 6-DOF space robot with the following innovative points: (1). A novel fixed-time stability system with low input is proposed to reduce the upper bound of system input. (2). A novel dsRNA splicing evolutionary algorithm is studied to optimize the algorithm parameters, which can make fitness better. (3). The smooth joint angular velocity trajectory of the space robot arm is planned by the dsRNA splicing evolutionary algorithm-based fixed-time trajectory planning strategy to make tracking errors of end-effector converge asymptotically in fixed time.
In this paper, Section 1 is Introduction. Section 2 introduces the preliminaries. Section 3 shows the motion model of space robot. Section 4 presents a low-input fixed-time trajectory planning method. Section 5 proposes a Parameter optimization method based on a novel dsRNA virus splicing evolutionary algorithm. Section 6 provides the experiment of the evolutionary algorithm and the kinematic simulation of the space robot. Section 7 is Conclusion.

2. Preliminaries

Definition 1
([20]). Consider a fixed-time stability system with explicit time parameter
x ˙ = g ( ) g ( 0 ) T c ( g ( x m ) x ) 1 ,
where 0 < m < 1 , T c is a positive parameter and g is a right-monotone-increasing continuous function with terminal property. x = x 1 x n T R n and g ( x ) : D R n is bounded in an open neighborhood D of the origin x = 0 , and g ( 0 ) = 0 . (1) can be said to be a fixed-time stable system if (1) is globally finite-time stable and T c is the upper bound of the convergence time.
Theorem 1.
Consider a novel system
x ˙ = π 2 + a r c t a n ( x 0 ) m T c ( 1 + ( x m x 0 ) 2 ) x x m ,
(2) is a fixed-time stable system and the input is smaller than one of the existing fixed-time stable system.
Proof of Theorem 1. 
Consider a candidate Lyapunov function
V = x .
Then, the time derivative of V can be deduced as:
V ˙ = x T x x = x T x π 2 + a r c t a n ( x 0 ) m T c ( 1 + ( x m x 0 ) 2 ) x x m = π 2 + a r c t a n ( V 0 ) m T c ( 1 + ( V m V 0 ) 2 ) V 1 m ,
the upper bound of settling time can be solved to
T = 0 π 2 + a r c t a n ( V 0 ) m T c ( 1 + ( V m V 0 ) 2 ) V 1 m d V = T c a r c t a n ( V 0 ) + a r c t a n ( V 0 ) π 2 + a r c t a n ( V 0 ) ) T c .
In the end, it is clear that the proportional coefficient function of system (2) is related to the initial value rather than the infinity point value of function g ( x ) = a r c t a n ( x m ) given by (1), so the input of (2) is smaller than the one of an ordinary fixed time stable system π 2 + a r c t a n ( x 0 ) m T c ( 1 + ( x m x 0 ) 2 ) < π 2 m T c ( 1 + x 2 m ) for x 0 > 1 in initial moment. □

3. Error-Kinematic Model of Space Robot

As shown in Figure 1, the proposed space robot mainly includes two 6-DOF PUMA560-type robotic arms, and the dual-arm is mounted on the satellite base. Arm-1 is the mission arm and Arm-2 is the balance arm.
According to momentum conservation and the pose-feedback modeling idea, the pose-error kinematic relationship of end-effector and base [16] can be expressed as:
e ˙ 1 = J e V e J e d V e d = J e J 0 V 0 + J m 1 θ ˙ 1 J e d V e d e ˙ 0 = J b V 0 J b d V 0 d = J b H 0 1 C J c 1 θ ˙ 1 J c 2 θ ˙ 2 J b d V 0 d
where e 1 = e e σ e T and e 0 = e b σ b T , in which the subscripts e and σ denote the position and attitude error of FFSR, respectively; C is the initial pose momentum of the system; J 0 and J m 1 are the Jacobian matrixes of the base and Arm-1 of FFSR, respectively; J c 1 and J c 2 are the coupling inertia matrices of Arm-1 and Arm-2, respectively; V e = V e ω e T is the velocity vector of the end-effector; V 0 = V b ω b T is the velocity of base; V e d = V e d ω e d T is the desired velocity of end-effector; V 0 d is the desired velocity of base which is set to 0 here; θ 1 R 6 × 1 and θ 2 R 6 × 1 are the joint angular velocity vector of Arm-1 and Arm-2 ( j = 1 , 2 ), respectively; H 0 is the coupling inertia matrix of momentum conservation of (free-floating space robot) FFSR. J e , b and J e d , b d are with (7),
J e , b = E 3 0 0 1 4 G σ e , b , J e d , b d = E 3 0 0 1 4 G σ e d , b d R e d , b d ,
in which E 3 is a 3-order identity matrix; R e d , b d R 3 × 3 is the rotational matrix which transforms the reference frame to the frame fixed on the end-effector or base, G σ = 1 σ T σ E 3 + 2 σ ˜ + 2 σ σ T .
Remark 1.
The attitude error is in terms of Modified Rodrigues Parameter(MRP) [16], because the MRP can make attitude computation for robotic system small.

4. Low-Input Fixed-Time Trajectory Planning Method

Singularity may occur when planning robot trajectory based on Jacobian matrix [12,13]. Common non-singular strategies often produce errors that cannot be eliminated, and the accumulation of errors may lead to the failure of the capture mission. Therefore, a trajectory planning method for a dual-arm free-floating space robot based on pose-feedback [21] is proposed to eliminate pose error firstly, but this method is very simple. Based on that, Yan and Liu proposed a class of trajectory planning strategy based on fixed-time stability [16,20], but this class of methods may produce excessive joint angular velocity when avoiding obstacles, which may lead to overload of the mechanical arm. In this section, a novel fixed-time trajectory planning method is presented to reduce the joint angular velocity input.

4.1. Singularity and Obstacle Avoidance Strategy

According to general kinematic formula given by the precise study [16] and momentum conservation, one joint angular velocity trajectory of Arm 1 and 2 can be planned by (6) as:
θ ˙ 1 = ( J m 1 ) 1 ( V e J 0 V 0 ) θ ˙ 2 = ( J c 2 ) 1 ( C J c 1 θ ˙ 1 H 0 V 0 )
If J m 1 or J c 2 is not full rank, then, the joint angular velocity may be infinite. The form of Jacobian matrix is given by Appendix A. Hence, a fast damped-least-squares (DLS) nonsingular joint angular velocity trajectory planning method [22] can be improved by (8) as
θ ˙ 1 = d i a g i = 1 6 σ i 1 σ i 1 + ( λ i 1 ) 2 v i 1 u i 1 T ( V e J 0 V 0 ) θ ˙ 2 = d i a g i = 1 6 σ i 2 σ i 2 + ( λ i 2 ) 2 v i 2 u i 2 T ( C J c 1 θ ˙ 1 H 0 V 0 ) ,
with a simpler damping parameter function
λ i j = λ m 1 + σ i j ε j , σ i j ε j 0 , σ i j > ε j
where diag A i j = A 1 j 0 0 A 6 j in which A i j = i = 1 6 σ i j σ i j + ( λ i j ) 2 v i j u i j T , λ m is a damping factor, ε j is the singular threshold value.
Furthermore, in space, the floating satellite debris and micrometeorites may pose a collision risk to the robotic arm. Hence, a CDF-based trajectory planning method for robotic arm in [20] can be improved by (9) to enable the space robot to avoid the collision (The pseudo inverse based SVD singular decomposition strategy is used here. i.e., ( J ) 1 ( J ) = ( J ) T ( J ( J ) T ) 1 )
θ ˙ 1 = μ · ( J m 1 ) T · d i a g i = 1 6 σ i 1 σ i 1 + ( λ i 1 ) 2 v i 1 u i 1 T ( V e J 0 V 0 ) + E μ ( J m 1 ) T ( J m 1 ( J m 1 ) T ) 1 J m 1 θ ˙ c 1 θ ˙ 2 = μ · ( J c 2 ) T · d i a g i = 1 6 σ i 2 σ i 2 + ( λ i 2 ) 2 v i 2 u i 2 T ( C J c 1 θ ˙ 1 H 0 V 0 ) + E μ ( J c 2 ) T ( J c 2 ( J c 2 ) T ) 1 J c 2 θ ˙ c 2
where θ ˙ c j is the overall collision-avoidance joint angular velocity of Arm-j; the weighted coefficient σ can be designed as:
μ = 1 , L p Δ 2 π a r c t a n ( 1 ( L p Δ ) Δ ) , o t h e r w i s e ,
in which L p is the maximum norm of risk of collision.

4.2. Novel Tracking Error-Elimination Strategy with Low-Input Fixed-Time Pose-Feedback

However, these auxiliary algorithms including the fast DLS algorithm and the CDF algorithm discussed in Section 4.1 may lead to trajectory planning errors that cannot be eliminated, which even make the end-effector deviate from the original capture track. Based on the control idea, the joint angular velocity of robotic arm θ ˙ can be seen as the control input, then the pose error of the end-effector and base can respond by planning θ ˙ as the form of Theorem 1
e ˙ 1 = π 2 + a r c t a n ( e 10 ) m T c ( 1 + ( e 1 m e 10 ) 2 ) e 1 e 1 m e ˙ 0 = π 2 + a r c t a n ( e 00 ) m T c ( 1 + ( e 0 m e 00 ) 2 ) e 0 e 0 m
where e 10 and e 00 are the initial value of e 1 and e 0 , respectively.
Then, by substituting (6) and (13) into (11), a novel fixed-time error-elimination trajectory with low-input can be planned as the following:
θ ˙ 1 = μ · ( J m 1 ) T · d i a g i = 1 6 σ i 1 σ i 1 + ( λ i 1 ) 2 v i 1 u i 1 T ( J e 1 J e d V e d φ e 1 ; T c , m J 0 V 0 ) + E μ ( J m 1 ) T ( J m 1 ( J m 1 ) T ) 1 J m 1 θ ˙ c 1 θ ˙ 2 = μ · ( J c 2 ) T · d i a g i = 1 6 σ i 2 σ i 2 + ( λ i 2 ) 2 v i 2 u i 2 T J c 1 θ ˙ 1 φ e 0 ; T c , m J b 1 H 0 C + E μ ( J c 2 ) T ( J c 2 ( J c 2 ) T ) 1 J c 2 θ ˙ c 2
where φ ( x ; T c , m ) = π 2 + a r c t a n ( x 0 ) m T c ( 1 + ( x m x 0 ) 2 ) x x m is a simplified function of Theorem 1.
According to the Section 4.1 and (13), it is clear that the error caused by singularity and obstacle avoidance strategy can be eliminated to zero within T c theoretically. Meanwhile, the proof of Theorem 1 also shows that the responding form given by (13) has the characteristic of reducing the system input.

5. Optimal Collision-Avoidance Trajectory Planning Based on dsRNA Splicing Evolutionary Algorithm

5.1. Fixed-Time Parameter Optimization of dsRNA Splicing Evolutionary Algorithm

In recent years, many researchers have paid attention to biological evolutionary algorithms because of their conformity to the laws of nature and physics [1,3,4,11,19]. Parameter optimization has always been an important direction of its application, but the existing evolutionary algorithms often find it difficult to get the global optimal value, which is unfavorable to its practical application. In our opinion, the parameter optimization of trajectory planning for robot arm can be solved in two aspects: (1) the evolutionary algorithm, (2) the fitness objective function.
By observing the evolution of dsRNA viruses, an evolutionary algorithm simulating dsRNA replication variation based on gene splicing strategy is designed to obtain semi-globally optimal parameter m of fixed-time stability system. The steps of the dsRNA splicing evolutionary algorithm are as follows:
(a). N initial (−)RNA groups are established, and the single-stranded RNA(ssRNA) includes genetic information.
(b). According to genetic central dogma, (+)RNA is synthesized using (−)RNA as a template, then, initial dsRNA virus groups are synthesized. Here, we assume that the fitness function is expressed by the traits of (+)RNA and (−)RNA, respectively. The parameter m make up the gene fragment, and then k parameters make up the effective genetic fragment of the (−)RNA. Notably, due to the high variability of the virus, the synthesis process of (+)RNA may produce errors and the mutation probability is set to P m .
(c). Complementary (−)RNA and (+)RNA are taken as a group, and the optimal fragment is observed by fitness function. When fitness function is effective, the special part effective genetic fragment of (−)RNA is removed and the rest are connected by ligase. Note that this removed fragment needs to be determined according to the coding rules of optimal parameters, so that the spliced effective sequence of (−)RNA reflects the expression character of the optimal fragment. This process imitates the technology of RNA splicing, the probability of success is P s , the (−)RNA that failed to splice is assumed to be alive with an unknown gene sequence. Again, there are mutations involved in (−)RNA synthesis process if the fitness function is invalid.
(d). Repeating steps (c) → (b) M times to evolve the optimal ssRNA of the current generation, and then we find out the optimal parameter set among the ssRNA in that generation. Furthermore, the virus is assumed to die after one generation of reproduction, with a 100 percent chance of surviving each generation.
(e). The individual fitness function is used to find the optimal fragment of the optimal ssRNA among the end generation.
For aspect (1), the above-mentioned optimization algorithm based on dsRNA virus gene splicing evolution strategy can search for the complementary regions of parameter m, so its optimization range is semi-global. Meanwhile, the high variation and adaptability of the virus also provide the natural law basis for the proposed evolution algorithm.
For aspect (2), the traditional optimization of the system using evolutionary algorithms alone is limited, so an essential improvement of the objection function is considered. Firstly, according to Theorem 1, an objection function can be designed without considering pose error of end-effector and base as the following:
B 1 = w 1 min i = 1 k ( max t = 0 t = t f ( x ˙ i ) ) + w 2 min i = 1 k ( s u m ( s a t 1 ( x ˙ i ) ) ) ,
where w 1 , 2 is the weight parameter and s a t ( x ˙ i ) is with (16)
s a t ( x ˙ i ) = 0 , x ˙ i > χ 1 x ˙ i , x ˙ i χ 1 ,
in which χ 1 is a parameter related the chattering of input x ˙ i .
According to the above-mentioned objection function B 1 and dsRNA splicing evolutionary algorithm, the optimal parameter m can be obtained.
Remark 2.
The success probability of RNA splicing is bigger than the natural probability [23], the mutation probability of RNA virus is less than natural probability [24]. Parameter coding rules are assumed to be non-one-to-one mapping, and the same parameter value can correspond to multiple RNA base coding sequences, so that the splicing process can directionally change parameter values, which is more idealistic than the actual gene splicing technology. Hence, the proposed encoding change process is simplified to the direct substitution of parameter groups, and the more natural coding strategies will be studied in the future.
Remark 3.
The semi-global optimization declared in this subsection means that the parameters to be sought must be the local optimal solution obtained in the first 1 2 and the last 1 2 of a compact set. The above-mentioned step c) forces the optimal parameter searching process to be extended to the left and right half of the defined domain, which also conforms to the natural evolutionary law of dsRNA virus to a certain extent. Mathematically, the probability of finding the global optimal solution by this semi-global local optimal solution search method is higher than that by the existing methods which directly find the global optimal solution. The reason is that: firstly, the probability of the solution falling into local optimum is assumed to be P in the method of directly finding global optimum in the whole defined domain. Then, the whole domain is equally divided into two parts, and the optimal solution searching process in the left and right domains is called events A and B. Meanwhile, the probability of falling into local optimality of the search for the propose semi-global optimal strategy is P A B . Since events A and B can be regarded as the relatively independent events (whether the left half of the optimal can be found does not affect whether the right half of the optimal can be found), their probabilities are P A = P B . Meanwhile, the reduced defined domain leads to P A = P B P approximatively. Therefore, the probability of the direct global optimal solution method is 1 P , and the probability of the semi-global strategy in this paper is 1 P A B = 1 P A P B . In the end, it is clear that 1 P < 1 P A B , thus, the proposed method can obtain the local optimal solution which is closer to the global optimal than the comparison strategy.

5.2. Smooth Fixed-Time Trajectory Planning Base on Optimal Fixed-Time Stability System

There are few existing obstacle-avoidance trajectory planning strategies based on evolutionary algorithms which make the pose error converge to micron-level neighborhood of origin. Meanwhile, the existing pose-feedback trajectory planning methods for a space robot may cause large joint angular velocity trajectory. Hence, a novel smooth obstacle-avoidance trajectory planning strategy is proposed to obtain both fixed-time convergence of errors and lower joint angular velocities
θ ˙ 1 = μ · ( J m 1 ) T · d i a g i = 1 6 σ i 1 σ i 1 + ( λ i 1 ) 2 v i 1 u i 1 T ( J e 1 J e d V e d φ e 1 ; T c , m J 0 V 0 ) + E μ ( J m 1 ) T ( J m 1 ( J m 1 ) T ) 1 J m 1 θ ˙ c 1 θ ˙ 2 = μ · ( J c 2 ) T · d i a g i = 1 6 σ i 2 σ i 2 + ( λ i 2 ) 2 v i 2 u i 2 T J c 1 θ ˙ 1 φ e 0 ; T c , m J b 1 H 0 C + E μ ( J c 2 ) T ( J c 2 ( J c 2 ) T ) 1 J c 2 θ ˙ c 2 ,
where the parameter m and δ in (12) are optimized by the dsRNA evolutionary algorithm with the following objection function B 2
B 2 = w 3 min i = 1 k ( s u m t = 0 t = t f ( s a t 2 ( θ ˙ 1 ) ) ) + w 4 min i = 1 k ( s u m ( s a t 3 ( θ ˙ 2 ) ) ) + s a t 4 ( max ( θ ˙ j ) ) + s a t 5 ( d c ) ,
in which,
s a t 2 ( θ ˙ i 1 ) = θ ˙ i 1 , θ ˙ i 1 > 20 0 , θ ˙ i 1 20 , s a t 2 ( θ ˙ i 2 ) = θ ˙ i 2 , θ ˙ i 2 > 100 0 , θ ˙ i 2 100 , s a t 4 ( max ( θ ˙ i j ) ) = , max ( θ ˙ i j ) > 180 0 , max ( θ ˙ i j ) 180 , s a t 5 ( d c ) = , d c > 0.1 ( m ) 0 , d c 0.1 ( m ) ,
where d c is the minimum collision distance.
According to Theorem 1 and optimal trajectory given by (17), a smooth joint angular velocity trajectory is planned to accurately track the target within a bounded time. Different from the traditional method, this strategy does not need to include the tracking error into the fitness function, and only needs to find the best parameters to obtain the optimal trajectory, which greatly saves the calculation of the computer.

6. Experiment and Simulation

6.1. Experiment of dsRNA Splicing Evolutionary Algorithm

This section expresses the computer experiment of the evolutionary algorithm for the fixed-time stable system given by Theorem 1. The parameters are shown in Table 1. The test platform is Dell Precision Workstation 7920 Tower, and the test software is MATLAB2016b.
As shown in Figure 2, the parameter fitness optimization curve of dsRNA splicing evolutionary algorithm converges to the stable value (0.7954) around the 21th generation, hence, the optimization strategy can find the parameter m = 0.4986 of system (2) close to the global optimal. According to Figure 3, it is clear that the system state x can converge to 0 in 1.68 s under the system input x ˙ , and the system input curve is smooth.

6.2. Trajectory Planning Simulation for a Space Robot

Since the particularity of the space robot, both simulation and ground experiment are the important research methods. The proposed trajectory planning strategy of a dual-arm free-floating space robot under microgravity uses a common simulation platform based on MATLAB2016b to carry out numerical simulation tests, because it is difficult for the underwater equipment to simulate the perturbation of gravity parameters. It is worth noting that, by referring to the aviation development history of various countries and actual space experiment experiences, the simulation results will be closer to the actual experiment and more able to guide the actual experiment if the actual space environment is simulated more perfect. Hence, gravity gradient perturbation will be considered in this simulation, and it will be preliminarily simulated in the form of parametric perturbation ( 1 ± 20 % s i n ( t ) ). Two current methods and an unoptimized method in (14) are selected as comparison to illustrate the advantages of the proposed trajectory planning method for the dual-arm free-floating space robot, and the constant parameters are all set the same. Line a is the proposed method, line b is the predefined-time trajectory planning method for space robot [22], line c is the IGA-based trajectory planning method for space robot without pose-feedback [19], line d is the method given by Section 4 and method d appears as a foil method. The initial parameter of trajectory planning for a space robot is given by Table 2. The parameters of the proposed dsRNA splicing evolutionary algorithm are shown in Table 3. The structure parameters of the space robot are given by the previous study [16]. The fitness curve of the proposed trajectory planning method based on dsRNA splicing evolutionary algorithm is given in Figure 4, the optimal parameters m = 0.1361 and Δ = 17.1750 .
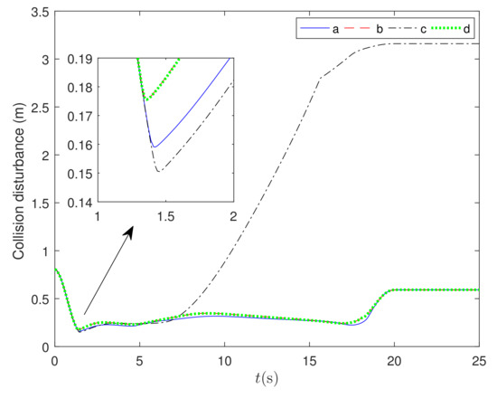
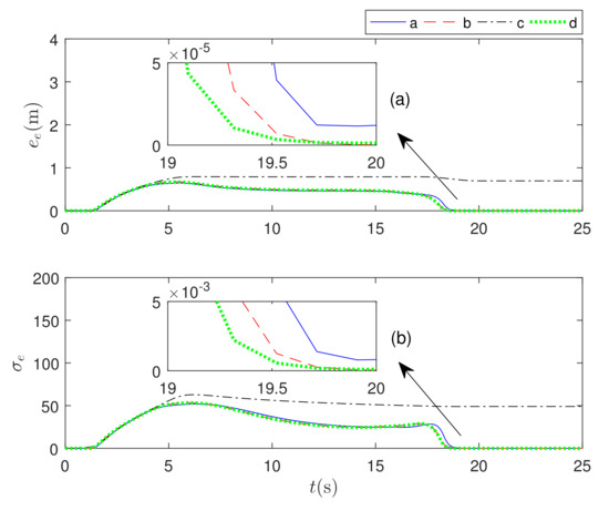
As shown in Figure 5, the space robot system successfully completed the obstacle avoidance task in 16 s. The danger distance is set at 0.15 (m) and the collision distance is 0.1 (m). According to the first curves figure of Figure 6, it is cleat that the methods a, b can make the position errors of end-effector converge to nearly zero within bounded time, but the method c cannot eliminate the pose errors. Meanwhile, as shown in the second curves figure of Figure 6, the methods a, b can also make the attitude errors of end-effector converge to nearly zero within bounded time, but the method c can also not. Furthermore, According to Figure 7, the methods a, b can even make the pose error caused by dynamic coupling converge to nearly zero within fixed-time, but method c can also not. The essential reason for the large error of method c is that the optimal strategy can only find out the better parameter with the smaller error and smoother motion trajectory. On the other hand, the motion error cannot be eliminated by the planning algorithm without pose feedback. The related convergence performance data of system is recorded in Table 4 and Table 5, which refers to the subfigures (a) and (b) in Figure 6 and Figure 7. Compared with method b and c, the stability accuracy of the proposed method a is improved by 22.30 % and 99.99 % on average, respectively. Furthermore, the error convergence time performance of the proposed method a is improved by 29.36 % and 52.88 % on average compared with method b and c, respectively.
Although the trajectory planning strategy based on pose feedback can improve by 99.99 % compared with no-pose-feedback based optimal method c, it is undeniably difficult to solve the large trajectory input problem, which is shown in curve b and d given by Figure 8 and Figure 9. Fortunately, as shown in Figure 8 and Figure 9, the proposed method can optimize the joint motion trajectory of the manipulator, while ensuring the accuracy. In Figure 9, the joint angular velocities θ 6 2 of methods b and d are more than 180°, which is prone to cause the overload of the mechanical arm. Compared with methods b and d, the joint angular velocities of the proposed method rarely goes over 100° and never over 180°, so the dsRNA splicing evolutionary algorithm-based optimization strategy is effective. The related joint motion performance data of the robotic system is recorded in Table 6 and Table 7. Because the motion performance of the manipulator joint emphasized in this paper mainly refers to the situation of more than 100°, the large joint angular velocity motion performance of the proposed method a is improved by 15.61 % and 61.67 % on average compared with method b and c, respectively. Furthermore, according to Figure 8 and Figure 9, even though the method c can plan a smoother trajectories than other methods, the accuracy and fast convergence of the proposed method cannot be achieved by method c by considering Figure 6 and Figure 7. Consequently, compared with method b and c, the comprehensive performance of the proposed method a is improved by 7.56 % and 30.40 % on average, respectively.

7. Conclusions

This paper presents a novel dsRNA splicing evolutionary algorithm and a novel smooth, fixed-time and high-precision obstacle-avoidance trajectory planning method for a dual-arm free-floating space robot, and the proposed novel evolutionary algorithm achieved 7.56–30.40% performance improvement over benchmark methods. According to the idea of pose feedback trajectory planning based on the low-input fixed-time stability system, the planned joint angular velocity trajectory can make the pose errors of manipulator and base converge to nearly zero within fixed-time T c . The novel evolutionary algorithm can imitate dsRNA virus gene splicing evolution to optimize the parameter of the fixed-time obstacle-avoidance trajectory planning algorithm to make the planned joint angular velocity trajectory both smoother and more accurate than the existing methods. Compared with other evolutionary algorithms, this study mainly realizes the optimization of a semi-global search strategy described by Remark 3, which is more likely to find a solution that is close to the global optimal than the optimal strategy searching directly in the full domain. In addition, the essence of the proposed algorithm to achieve error-free trajectory planning is the addition of fast pose feedback strategy. Compared with the existing optimal trajectory planning strategy without feedback, this method can eliminate the error condition, thus essentially reducing the amount of calculation and improving the accuracy. In the future, we will apply the dsRNA splicing evolutionary algorithm-based trajectory planning strategy to plant robotics, and the encoding method of this novel evolutionary algorithm will be improved so that it can be used for a biological information detection, which is valuable.

Author Contributions

Conceptualization, J.Y. and W.Y.; methodology, J.Y. and W.Y.; software, J.Y., W.Y. and Q.L.; validation, J.Y., W.Y., Q.L., Y.L. and Y.Z.; investigation, J.Y. and W.Y.; resources, Y.Z.; data curation, J.Y., W.Y. and Q.L.; writing—original draft preparation, J.Y. and W.Y.; writing—review and editing, J.Y., W.Y., Q.L., Y.L. and Y.Z.; visualization, J.Y. and W.Y.; supervision, J.Y., W.Y. and Y.Z.; project administration, Y.Z.; funding acquisition, Y.Z. All authors have read and agreed to the published version of the manuscript.

Funding

This research was funded by the National Natural Science Foundation of China: Interaction of RNA aptamer 3 w j 4 × bro as a gene marker with target gene expression(Grant No. 32171457); Major Special Project of the Science and Technology on Intelligent Manufacturing and Robot (Grant No. 2019ZDZX0019).

Institutional Review Board Statement

Not applicable.

Informed Consent Statement

Not applicable.

Conflicts of Interest

The authors declare no conflict of interest.

Abbreviations

The following abbreviations are used in this manuscript:
RNARibonucleic Acid
ssRNAsingle-stranded Ribonucleic Acid
dsRNAdouble-stranded Ribonucleic Acid
DOFDegrees of Freedom
IGAimproved genetic algorithm
FFSRFree-floating Space Robot
FFSRFree-floating Space Robot
MRPModified Rodrigues Parameter
DLSDamped-Least-Squares
CDFCumulative Danger Field

Appendix A

The deducing process of general kinematics Jacobian matrix J m given by (11), (14) and (17) are shown as the following, which refers to Figure 1:
The centroid position vector of the link i in Arm-j is
r i j = r 0 + b 0 j + k = 1 i 1 ( a k j + b k j ) + a i j ,
The centroid position vector of the end-effector of Arm-j is
r e j = r 0 + b 0 j + k = 1 i 1 ( a k j + b k j ) ,
The mass center angular velocity of link 1 in Arm-j is
ω i j = ω 0 + κ 1 j θ 1 j ˙ ,
where κ 1 j = 0 0 1 T is the rotation axis represented in a fixed coordinate system.
The mass center line velocity of link 1 in Arm-j is
v i j = v 0 + ω 0 j × b 0 j + ω 1 j × a 1 j = v 0 + ω 0 j × ( r 1 j r 0 ) + [ κ 1 j × ( r 1 j p 1 j ) ] θ ˙ 1 j ,
According to (A3), the mass center angular velocity of the link i in Arm-j is
ω i j = ω 0 + k = 1 i κ k j θ ˙ k j ,
According to (A4), the mass center line velocity of the link i in Arm-j is
v i j = v 0 + ω 0 j × ( r i j r 0 ) + k = 1 i [ κ k j × ( r k j p k j ) ] θ ˙ k j ,
According to (A5), the angular velocity of the end-effector in Arm-j is
ω e j = ω 0 + k = 1 6 κ k j θ ˙ k j ,
According to (A6), the line velocity of the end-effector in Arm-j is
v e j = v 0 + ω 0 j × ( r e j r 0 ) + k = 1 6 [ κ k j × ( r k j p k j ) ] θ ˙ k j ,
From the above-mentioned (A7) and (A8), the general kinematics formula of the end-effector in Arm-j based on Jacobian matrix can be deduced
V e j = J b j V 0 + J m j θ ˙ k ,
where the matrixes are given by (A10)–(A12)
J b j = E 3 r ˜ 0 e j 0 E 3 = J b v j J b ω j ,
J m j = κ 1 j × ( r e j p 1 j ) κ 6 j × ( r e j p 6 j ) κ 1 j κ 6 j = J m v j J m ω j ,
V = v ω ,
in which r ˜ 0 e j is the antisymmetric matrix of the vector r = [ x , y , z ] T .

References

  1. Sands, T. Optimization provenance of whiplash compensation for flexible space robotics. Aerospace 2019, 6, 93. [Google Scholar] [CrossRef]
  2. Kaczmarek, W.; Panasiuk, J.; Borys, S.; Banach, P. Industrial robot control by means of gestures and voice commands in off-line and on-line mode. Sensors 2020, 20, 6358. [Google Scholar] [CrossRef]
  3. Sands, T. Development of deterministic artificial intelligence for unmanned underwater vehicles (UUV). J. Mar. Sci. Eng. 2020, 8, 578. [Google Scholar] [CrossRef]
  4. Shah, R.; Sands, T. Comparing Methods of DC Motor Control for UUVs. Appl. Sci. 2021, 11, 4972. [Google Scholar] [CrossRef]
  5. Li, J.; Wang, J.; Peng, H.; Hu, Y.; Su, H. Fuzzy-Torque Approximation-Enhanced Sliding Mode Control for Lateral Stability of Mobile Robot. IEEE Trans. Syst. Man Cybern. Syst. 2021. Available online: https://ieeexplore.ieee.org/document/9339917 (accessed on 16 September 2021). [CrossRef]
  6. Moosavian, S.A.A.; Papadopoulos, E. Free-flying robots in space: An overview of dynamics modeling, planning and control. Robotica 2007, 25, 537–547. [Google Scholar] [CrossRef]
  7. Li, D.; Pan, Z.; Deng, H.; Hu, L. Adaptive Path Following Controller of A multi-joint snake robot Based on the Improved Serpenoid Curve. IEEE Trans. Ind. Electron. 2021. Available online: https://ieeexplore.ieee.org/abstract/document/9422186 (accessed on 16 September 2021). [CrossRef]
  8. Mobayen, S.; Tchier, F.; Ragoub, L. Design of an adaptive tracker for n-link rigid robotic manipulators based on super-twisting global nonlinear sliding mode control. Int. J. Syst. Sci. 2017, 48, 1990–2002. [Google Scholar] [CrossRef]
  9. Xu, W.; Peng, J.; Liang, B.; Mu, Z. Hybrid modeling and analysis method for dynamic coupling of space robots. IEEE Trans. Aerosp. Electron. Syst. 2016, 52, 85–98. [Google Scholar] [CrossRef]
  10. Xu, W.-F.; Wang, X.-Q.; Qiang, X.; Liang, B. Study on trajectory planning of dual-arm space robot keeping the base stabilized. Acta Autom. Sin. 2013, 39, 69–80. [Google Scholar] [CrossRef]
  11. Wang, M.; Luo, J.; Walter, U. Trajectory planning of free-floating space robot using Particle Swarm Optimization (PSO). Acta Astronaut. 2015, 112, 77–78. [Google Scholar] [CrossRef]
  12. Baker, K.; Culton, E.; TenEyck, J.; Lewis, Z.; Sands, T. Contradictory postulates of singularity. Mech. Eng. Res. 2019, 9, 28–35. [Google Scholar] [CrossRef]
  13. Sands, T.; Kim, J.J.; Agrawal, B. Singularity penetration with unit delay (SPUD). Mathematics 2018, 6, 23. [Google Scholar] [CrossRef]
  14. Xu, W.; Meng, D.; Liu, H.; Wang, X.; Liang, B. Singularity-free trajectory planning of free-floating multiarm space robots for keeping the base inertially stabilized. IEEE Trans. Syst. Man Cybern. Syst. 2017, 49, 2464–2477. [Google Scholar] [CrossRef]
  15. Liu, Y.; Yu, C.; Sheng, J.; Zhang, T. Self-collision avoidance trajectory planning and robust control of a dual-arm space robot. Int. J. Control. Autom. Syst. 2018, 16, 2896–2905. [Google Scholar] [CrossRef]
  16. Yan, W.; Liu, Y.; Lan, Q.; Zhang, T.; Tu, H. Trajectory planning and low-chattering fixed-time nonsingular terminal sliding mode control for a dual-arm free-floating space robot. Robotica 2021, 1–21. Available online: https://www.cambridge.org/core/journals/robotica/article/abs/trajectory-planning-and-lowchattering-fixedtime-nonsingular-terminal-sliding-mode-control-for-a-dualarm-freefloating-space-robot/242739981579DE15E76B4A2ECFB87231 (accessed on 16 September 2021). [CrossRef]
  17. Mulik, P.B. Optimal trajectory planning of industrial robot with evolutionary algorithm. In Proceedings of the International Conference on Computation of Power, Energy, Information and Communication, Melmaruvathur, India, 22–23 April 2015. [Google Scholar]
  18. Xue, Y.; Sun, J.Q. Solving the path planning problem in mobile robotics with the multi-objective evolutionary algorithm. Appl. Sci. 2018, 8, 1425. [Google Scholar] [CrossRef]
  19. Zhao, S.; Zhu, Z.; Luo, J. Multitask-based trajectory planning for redundant space robotics using improved genetic algorithm. Appl. Sci. 2019, 9, 2226. [Google Scholar] [CrossRef]
  20. Liu, Y.; Yan, W.; Zhang, T.; Yu, C.; Tu, H. Trajectory tracking for a dual-arm free-floating space robot with a class of general nonsingular predefined-time terminal sliding mode. IEEE Trans. Syst. Man Cybern. Syst. 2021. Available online: https://ieeexplore.ieee.org/abstract/document/9386149 (accessed on 16 September 2021). [CrossRef]
  21. Liu, Y.; Xie, K.; Zhang, T.; Cai, N. Trajectory planning with pose feedback for a dual-arm space robot. J. Control Sci. Eng. 2016, 2016, 1–9. [Google Scholar] [CrossRef]
  22. Liu, Y.; Yan, W.; Yu, C.; Zhang, T.; Tu, H. Predefined-Time Trajectory Planning for a Dual-Arm Free-Floating Space Robot. In Proceedings of the 46th Annual Conference of the IEEE Industrial Electronics Society, Singapore, 18–21 October 2020. [Google Scholar]
  23. Morcos, P.A. Achieving targeted and quantifiable alteration of mRNA splicing with Morpholino oligos. Biochem. Biophys. Res. Commun. 2007, 358, 521–527. [Google Scholar] [CrossRef] [PubMed]
  24. Elena, S.F.; Agudelo-Romero, P.; Carrasco, P.; Codoner, F.M.; Martin, S.; Torres-Barceló, C.; Sanjuán, R. Experimental evolution of plant RNA viruses. Heredity 2008, 100, 478–483. [Google Scholar] [CrossRef] [PubMed][Green Version]
Figure 1. Model of a Dual-arm Space Robot.
Figure 1. Model of a Dual-arm Space Robot.
Applsci 11 08839 g001
Figure 2. The fitness curve of dsRNA splicing evolutionary algorithm.
Figure 2. The fitness curve of dsRNA splicing evolutionary algorithm.
Applsci 11 08839 g002
Figure 3. The system state and input curve of (2).
Figure 3. The system state and input curve of (2).
Applsci 11 08839 g003
Figure 4. The fitness curve of dsRNA splicing evolutionary algorithm.
Figure 4. The fitness curve of dsRNA splicing evolutionary algorithm.
Applsci 11 08839 g004
Figure 5. The minimum disturbance between arm and collision point.
Figure 5. The minimum disturbance between arm and collision point.
Applsci 11 08839 g005
Figure 6. The pose errors of end-effector in four methods (three axis synthesis).
Figure 6. The pose errors of end-effector in four methods (three axis synthesis).
Applsci 11 08839 g006
Figure 7. The pose errors of base in four methods (three axis synthesis).
Figure 7. The pose errors of base in four methods (three axis synthesis).
Applsci 11 08839 g007
Figure 8. The joint angular velocity of mission arm in four methods.
Figure 8. The joint angular velocity of mission arm in four methods.
Applsci 11 08839 g008
Figure 9. The joint angular velocity of balance arm in four methods.
Figure 9. The joint angular velocity of balance arm in four methods.
Applsci 11 08839 g009
Table 1. The parameters of dsRNA Splicing Evolutionary Algorithm.
Table 1. The parameters of dsRNA Splicing Evolutionary Algorithm.
ParameterNotationValue
MEvolution generations100
NQuantity of (-)RNA10
kThe number of gene segments with genetic information5
P m Mutation probability of RNA0.001
P s Splicing success rate0.9
w 1 The weight of maximum input0.6
w 2 The weight of input smoothness0.4
χ 1 The parameter of (16)1
T c The time parameter of (2)5
Table 2. The initial condition of the trajectory planning.
Table 2. The initial condition of the trajectory planning.
Initial ConditionNotationValue
p b 0 (the initial position of base) 0.2832 0.3107 0.3248 T (m)
σ b 0 the initial attitude of base 1 0     0 0 T
p e 0 the initial position of end-effector 0.2832 0.3107 0.3248 T (m)
σ e 0 the initial attitude of end-effector 0 0.8191     0 0.5736 T
θ 0 1 the initial joint angle of Arm-1 0 47.72 93.91 0 23.82 0 T ( )
θ 0 2 the initial joint angle of Arm-2 0 47.72 176.09 0 23.82 0 T ( )
p t the position of the target 0.7147 0.4150 0.1758 T (m)
σ t the position and attitude of the target 0.0215 0.9027 0.1184 0.4132 T
p o the position of the obstacle point 0.0691 0.6037 0.4742 T (m)
mthe initial fixed-time TPF parameter0.1
T c 5
Δ the initial CDF parameter [19]16.85
t f (working time)25s
Table 3. The parameters of dsRNA Splicing Evolutionary Algorithm.
Table 3. The parameters of dsRNA Splicing Evolutionary Algorithm.
ParameterNotationValue
MEvolution generations100
NQuantity of (-)RNA10
kThe number of gene segments with genetic information5
P m Mutation probability of RNA0.001
P s Splicing success rate0.9
w 3 The weight of maximum input0.6
w 4 The weight of input smoothness0.4
T c The time parameter of (2)5
The set value of 10,000
Table 4. The precision table of three comparing methods.
Table 4. The precision table of three comparing methods.
Method aMethod bMethod c
The position error of end-effector (m) 1.15 × 10 5 3.22 × 10 8 6.96 × 10 1
The attitude error of end-effector 9.38 × 10 4 3.69 × 10 6 49.05
The position error of base (m) 2.20 × 10 13 8.64 × 10 13 1.59 × 10 5
The attitude error of base 3.77 × 10 11 2.46 × 10 10 3.34 × 10 2
Table 5. The pose error converge time of three comparing methods.
Table 5. The pose error converge time of three comparing methods.
Method aMethod bMethod c
The converge time of end-effector position error (s) 2.26 2.79 2.67
The converge time of end-effector attitude error (s) 2.35 2.79 2.26
The converge time of base position error (s) 1.06 1.13
The converge time of base attitude error (s) 1.03 1.30
Table 6. The maximum joint angular velocity components of Arm-1 in three comparing methods.
Table 6. The maximum joint angular velocity components of Arm-1 in three comparing methods.
Method aMethod bMethod c
θ 1 1 (°)72.6052.08−11.88
θ 2 1 (°)24.2924.2924.31
θ 3 1 (°)−29.32−29.32−29.35
θ 4 1 (°)−36.22−31.321.49
θ 5 1 (°)−24.57−13.877.35
θ 6 1 (°)48.3940.46−1.06
Table 7. The maximum joint angular velocity components of Arm-2 in three comparing methods.
Table 7. The maximum joint angular velocity components of Arm-2 in three comparing methods.
Method aMethod bMethod c
θ 1 2 (°)49.1239.42−6.042
θ 2 2 (°)−32.39−32.45−32.45
θ 3 2 (°)37.9730.64−30.08
θ 4 2 (°)114.25161.1530.8
θ 5 2 (°)−113.45−99.3570.82
θ 6 2 (°)161.34231.11−41.28
Publisher’s Note: MDPI stays neutral with regard to jurisdictional claims in published maps and institutional affiliations.

Share and Cite

MDPI and ACS Style

Yao, J.; Yan, W.; Lan, Q.; Liu, Y.; Zhao, Y. Parameter Optimization of dsRNA Splicing Evolutionary Algorithm Based Fixed-Time Obstacle-Avoidance Trajectory Planning for Space Robot. Appl. Sci. 2021, 11, 8839. https://doi.org/10.3390/app11198839

AMA Style

Yao J, Yan W, Lan Q, Liu Y, Zhao Y. Parameter Optimization of dsRNA Splicing Evolutionary Algorithm Based Fixed-Time Obstacle-Avoidance Trajectory Planning for Space Robot. Applied Sciences. 2021; 11(19):8839. https://doi.org/10.3390/app11198839

Chicago/Turabian Style

Yao, Junyu, Wen Yan, Qijie Lan, Yicheng Liu, and Yun Zhao. 2021. "Parameter Optimization of dsRNA Splicing Evolutionary Algorithm Based Fixed-Time Obstacle-Avoidance Trajectory Planning for Space Robot" Applied Sciences 11, no. 19: 8839. https://doi.org/10.3390/app11198839

APA Style

Yao, J., Yan, W., Lan, Q., Liu, Y., & Zhao, Y. (2021). Parameter Optimization of dsRNA Splicing Evolutionary Algorithm Based Fixed-Time Obstacle-Avoidance Trajectory Planning for Space Robot. Applied Sciences, 11(19), 8839. https://doi.org/10.3390/app11198839

Note that from the first issue of 2016, this journal uses article numbers instead of page numbers. See further details here.

Article Metrics

Back to TopTop