3D-Kernel Based Imaging of an Improved Estimation of (Qc) in the Northern Apulia (Southern Italy)
Abstract
1. Introduction
2. Data and Methods
2.1. Dataset
2.2. Coda Attenuation Method
2.3. Coda Attenuation 3D Imaging
3. Results
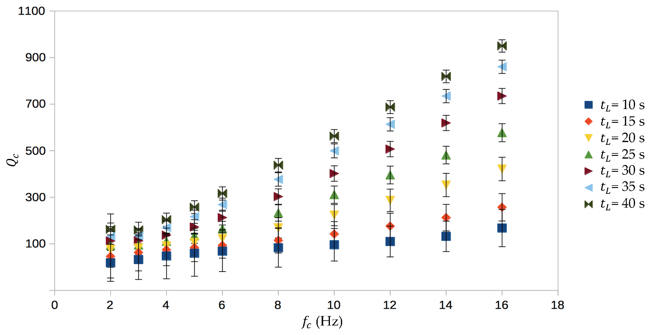
3.1. Qc Estimates
- An initial marker, named , placed after the S-wave arrival, when the envelope shows a decreasing trend;
- A terminal marker, named , placed before a bump, or an abrupt change of the slope, or when the oscillations cannot be distinguished from the seismic noise.
3.2. Qc Averaged
3.3. 3D Mapping
4. Discussion
5. Conclusions
- (1)
- (2)
- The presence of a low area, down to a depth of 16 km, suggesting a ductile regime in the upper/intermediate crust in the northeastern sector of the GP (zone labeled C (Figure 8c));
- (3)
- (4)
Author Contributions
Funding
Data Availability Statement
Acknowledgments
Conflicts of Interest
References
- Aki, K.; Chouet, B. Origin of Coda Waves: Source, Attenuation, and Scattering Effects. J. Geophys. Res. 1975, 80, 3322–3342. [Google Scholar] [CrossRef]
- Sato, H. Energy Propagation Including Scattering Effects Sengle Isotropic Scattering Approximation. J. Phys. Earth 1977, 25, 27–41. [Google Scholar] [CrossRef]
- Ibáñez, J.M.; Pezzo, E.D.; Miguel, F.D.; Herraiz, M.; Alguacil, G.; Morales, J. Depth-Dependent Seismic Attenuation in the Granada Zone (Southern Spain). Bull. Seismol. Soc. Am. 1990, 80, 1232–1244. [Google Scholar]
- Jin, A.; Aki, K. High-Resolution Maps of Coda Q in Japan and Their Interpretation by the Brittle-Ductile Interaction Hypothesis. Earth Planets Space 2005, 57, 403–409. [Google Scholar] [CrossRef][Green Version]
- Carcolé, E.; Sato, H. Spatial Distribution of Scattering Loss and Intrinsic Absorption of Short-Period S Waves in the Lithosphere of Japan on the Basis of the Multiple Lapse Time Window Analysis of Hi-Net Data. Geophys. J. Int. 2010, 180, 268–290. [Google Scholar] [CrossRef]
- Wang, W.; Shearer, P.M. An Improved Method to Determine Coda-Q, Earthquake Magnitude, and Site Amplification: Theory and Application to Southern California. J. Geophys. Res. Solid Earth 2019, 124, 578–598. [Google Scholar] [CrossRef]
- Zeng, Y.; Su, F.; Aki, K. Scattering Wave Energy Propagation in a Random Isotropic Scattering Medium: 1. Theory. J. Geophys. Res. Solid Earth 1991, 96, 607–619. [Google Scholar] [CrossRef]
- Paasschens, J.C.J. Solution of the Time-Dependent Boltzmann Equation. Phys. Rev. E 1997, 56, 1135–1141. [Google Scholar] [CrossRef]
- Mayeda, K.; Koyanagi, S.; Hoshiba, M.; Aki, K.; Zeng, Y. A Comparative Study of Scattering, Intrinsic, and Coda Q−1 for Hawaii, Long Valley, and Central California between 1.5 and 15.0 Hz. J. Geophys. Res. Solid Earth 1992, 97, 6643–6659. [Google Scholar] [CrossRef]
- Sato, H.; Fehler, M.C.; Maeda, T. Envelope Synthesis Based on the Radiative Transfer Theory. In Seismic Wave Propagation and Scattering in the Heterogeneous Earth, 2nd ed.; Sato, H., Fehler, M.C., Maeda, T., Eds.; Springer: Berlin/Heidelberg, Germany, 2012; pp. 245–318. ISBN 978-3-642-23029-5. [Google Scholar]
- Del Pezzo, E.; Ibáñez, J.M. Seismic Coda-Waves Imaging Based on Sensitivity Kernels Calculated Using an Heuristic Approach. Geosciences 2020, 10, 304. [Google Scholar] [CrossRef]
- Shapiro, N.M. The Energy Partitioning and the Diffusive Character of the Seismic Coda. Bull. Seismol. Soc. Am. 2000, 90, 655–665. [Google Scholar] [CrossRef]
- Frankel, A.; Wennerberg, L. Energy-Flux Model of Seismic Coda: Separation of Scattering and Intrinsic Attenuation. Bull. Seismol. Soc. Am. 1987, 77, 1223–1251. [Google Scholar] [CrossRef]
- Singh, S.; Herrmann, R.B. Regionalization of Crustal Coda Q in the Continental United States. J. Geophys. Res. Solid Earth 1983, 88, 527–538. [Google Scholar] [CrossRef]
- Pacheco, C.; Snieder, R. Time-Lapse Traveltime Change of Singly Scattered Acoustic Waves. Geophys. J. Int. 2006, 165, 485–500. [Google Scholar] [CrossRef]
- Mayor, J.; Margerin, L.; Calvet, M. Sensitivity of Coda Waves to Spatial Variations of Absorption and Scattering: Radiative Transfer Theory and 2-D Examples. Geophys. J. Int. 2014, 197, 1117–1137. [Google Scholar] [CrossRef]
- Yoshimoto, K. Monte Carlo Simulation of Seismogram Envelopes in Scattering Media. J. Geophys. Res. Solid Earth 2000, 105, 6153–6161. [Google Scholar] [CrossRef]
- De Siena, L.; Del Pezzo, E.; Thomas, C.; Curtis, A.; Margerin, L. Seismic Energy Envelopes in Volcanic Media: In Need of Boundary Conditions. Geophys. J. Int. 2013, 195, 1102–1119. [Google Scholar] [CrossRef]
- Del Pezzo, E.; De La Torre, A.; Bianco, F.; Ibanez, J.; Gabrielli, S.; De Siena, L. Numerically Calculated 3D Space-Weighting Functions to Image Crustal Volcanic Structures Using Diffuse Coda Waves. Geosciences 2018, 8, 175. [Google Scholar] [CrossRef]
- Giampiccolo, E.; Del Pezzo, E.; Tuvé, T.; Grazia, G.D.; Ibáñez, J.M. 3-D Q-Coda Attenuation Structure at Mt. Etna (Italy). Geophys. J. Int. 2021, 227, 544–558. [Google Scholar] [CrossRef]
- Mayor, J.; Calvet, M.; Margerin, L.; Vanderhaeghe, O.; Traversa, P. Crustal Structure of the Alps as Seen by Attenuation Tomography. Earth Planet. Sci. Lett. 2016, 439, 71–80. [Google Scholar] [CrossRef]
- Sketsiou, P.; Napolitano, F.; Zenonos, A.; De Siena, L. New Insights into Seismic Absorption Imaging. Phys. Earth Planet. Inter. 2020, 298, 106337. [Google Scholar] [CrossRef]
- Filippucci, M.; Del Pezzo, E.; de Lorenzo, S.; Tallarico, A. 2D Kernel-Based Imaging of Coda-Q Space Variations in the Gargano Promontory (Southern Italy). Phys. Earth Planet. Inter. 2019, 297, 106313. [Google Scholar] [CrossRef]
- Tripaldi, S. Electrical signatures of a permeable zone in carbonates hosting local geothermal manifestations: Insights for the deep fluid flow in the Gargano area (south-eastern Italy). Boll. Di Geofis. Teori. Ed. Appl. 2020, 61, 219–232. [Google Scholar] [CrossRef]
- Della Vedova, B.D.; Bellani, S.; Pellis, G.; Squarci, P. Deep temperatures and surface heat flow distribution. In Anatomy of an Orogen: The Apennines and Adjacent Mediterranean Basins; Vai, G.B., Martini, I.P., Eds.; Springer: Dordrecht, The Netherlands, 2001; pp. 65–76. ISBN 978-94-015-9829-3. [Google Scholar]
- Miccolis, S.; Filippucci, M.; de Lorenzo, S.; Frepoli, A.; Pierri, P.; Tallarico, A. Seismogenic Structure Orientation and Stress Field of the Gargano Promontory (Southern Italy) From Microseismicity Analysis. Front. Earth Sci. 2021, 9, 179. [Google Scholar] [CrossRef]
- Filippucci, M.; Miccolis, S.; Castagnozzi, A.; Cecere, G.; de Lorenzo, S.; Donvito, G.; Falco, L.; Michele, M.; Nicotri, S.; Romeo, A.; et al. Seismicity of the Gargano Promontory (Southern Italy) after 7 Years of Local Seismic Network Operation: Data Release of Waveforms from 2013 to 2018. Data Brief 2021, 35, 106783. [Google Scholar] [CrossRef]
- Filippucci, M.; Pierri, P.; de Lorenzo, S.; Tallarico, A. The Stress Field in the Northern Apulia (Southern Italy), as Deduced from Microearthquake Focal Mechanisms: New Insight from Local Seismic Monitoring. In International Conference on Computational Science and Its Applications; Springer: Cham, Switzerland, 2020; Volume 12255 LNCS, pp. 914–927. [Google Scholar] [CrossRef]
- Del Gaudio, V.; Pierri, P.; Frepoli, A.; Calcagnile, G.; Venisti, N.; Cimini, G.B. A Critical Revision of the Seismicity of Northern Apulia (Adriatic Microplate—Southern Italy) and Implicationsfor the Identification of Seismogenic Structures. Tectonophysics 2007, 436, 9–35. [Google Scholar] [CrossRef]
- Mantovani, E.; Babbucci, D.; Viti, M.; Albarello, D.; Mugnaioli, E.; Cenni, N.; Casula, G. Post-late miocene kinematics of the adria microplate: Inferences from geological, geophysical and geodetic data. In The Adria Microplate: GPS Geodesy, Tectonics and Hazards; Pinter, N., Gyula, G., Weber, J., Stein, S., Medak, D., Eds.; Springer: Dordrecht, The Netherlands, 2006; pp. 51–69. [Google Scholar]
- Filippucci, M.; Miccolis, S.; Castagnozzi, A.; Cecere, G.; de Lorenzo, S.; Donvito, G.; Falco, L.; Michele, M.; Nicotri, S.; Romeo, A.; et al. Gargano Promontory (Italy) Microseismicity (2013-2018): Waveform Data and Earthquake Catalogue. Mendeley Data 2021, 3. [Google Scholar] [CrossRef]
- INGV. Seismological Data Centre Rete Sismica Nazionale (RSN). 2006, Approx. 20 GByte/day of New Waveform Data, Approx. 366 Active Seismic Stations, the Archive Totals to More Than 500 Distinct Seismic Stations. Available online: http://cnt.rm.ingv.it/instruments/network/IV (accessed on 28 May 2021).
- De Lorenzo, S.; Michele, M.; Emolo, A.; Tallarico, A. A 1D P-Wave Velocity Model of the Gargano Promontory (South-Eastern Italy). J. Seism. 2017, 21, 909–919. [Google Scholar] [CrossRef]
- Filippucci, M.; Tallarico, A.; Dragoni, M.; de Lorenzo, S. Relationship Between Depth of Seismicity and Heat Flow: The Case of the Gargano Area (Italy). Pure Appl. Geophys. 2019, 176, 2383–2394. [Google Scholar] [CrossRef]
- Milano, G.; Di Giovambattista, R.; Ventura, G. Seismic Constraints on the Present-Day Kinematics of the Gargano Foreland, Italy, at the Transition Zone between the Southern and Northern Apennine Belts. Geophys. Res. Lett. 2005, 32, L24308. [Google Scholar] [CrossRef]
- QGIS. Available online: https://www.qgis.org/it/site/index.html (accessed on 28 May 2021).
- University of Bari “Aldo Moro” OTRIONS, Seismic Networks of Gargano Area (Italy). 2013. Available online: https://www.fdsn.org/networks/detail/OT/ (accessed on 28 May 2021).
- Aki, K. Analysis of the Seismic Coda of Local Earthquakes as Scattered Waves. J. Geophys. Res. 1969, 74, 615–631. [Google Scholar] [CrossRef]
- De Lorenzo, S.; Del Pezzo, E.; Bianco, F. Qc, Qβ, Qi and Qs Attenuation Parameters in the Umbria–Marche (Italy) Region. Phys. Earth Planet. Inter. 2013, 218, 19–30. [Google Scholar] [CrossRef]
- Kumar, N.; Parvez, I.A.; Virk, H.S. Estimation of Coda Wave Attenuation for NW Himalayan Region Using Local Earthquakes. Phys. Earth Planet. Inter. 2005, 151, 243–258. [Google Scholar] [CrossRef]
- Romanowicz, B.; Mitchell, B.J. Q of the Earth: Global, Regional, and Laboratory Studies; Birkhäuser: Basel, Switzerland, 2012; ISBN 978-3-0348-8711-3. [Google Scholar]
- Eva, C.; Cattaneo, M.; Augliera, P.; Pasta, M. Regional Coda Q Variations in the Western Alps (Northern Italy). Phys. Earth Planet. Inter. 1991, 67, 76–86. [Google Scholar] [CrossRef]
- Singh, D.D.; Govoni, A.; Bragato, P.L. Coda QcAttenuation and Source Parameter Analysis in Friuli (NE Italy) and Its Vicinity. Pure Appl. Geophys. 2001, 158, 1737–1761. [Google Scholar] [CrossRef]
- Giampiccolo, E.; Tuvè, T. Regionalization and Dependence of Coda Q on Frequency and Lapse Time in the Seismically Active Peloritani Region (Northeastern Sicily, Italy). J. Seism. 2018, 22, 1059–1074. [Google Scholar] [CrossRef]
- Tuvè, T.; Bianco, F.; Ibáñez, J.; Patanè, D.; Del Pezzo, E.; Bottari, A. Attenuation Study in the Straits of Messina Area (Southern Italy). Tectonophysics 2006, 421, 173–185. [Google Scholar] [CrossRef]
- Giampiccolo, E.; Tusa, G.; Langer, H.; Gresta, S. Attenuation in Southeastern Sicily (Italy) by Applying Different Coda Methods. J. Seismol. 2002, 6, 487–501. [Google Scholar] [CrossRef]
- Pujades, L.G.; Ugalde, A.; Canas, J.A.; Navarro, M.; Badal, F.J.; Corchete, V. Intrinsic and Scattering Attenuation from Observed Seismic Codas in the Almeria Basin (Southeastern Iberian Peninsula). Geophys. J. Int. 1997, 129, 281–291. [Google Scholar] [CrossRef]
- Dasović, I.; Herak, M.; Herak, D. Coda-Q and Its Lapse Time Dependence Analysis in the Interaction Zone of the Dinarides, the Alps and the Pannonian Basin. Phys. Chem. Earth Parts A/B/C 2013, 63, 47–54. [Google Scholar] [CrossRef]
- Boulanouar, A.; Moudnib, L.E.; Padhy, S.; Harnafi, M.; Villaseñor, A.; Gallart, J.; Pazos, A.; Rahmouni, A.; Boukalouch, M.; Sebbani, J. Estimation of Coda Wave Attenuation in Northern Morocco. Pure Appl. Geophys. 2018, 175, 883–897. [Google Scholar] [CrossRef]
- Shengelia, I.; Jorjiashvili, N.; Godoladze, T.; Javakhishvili, Z.; Tumanova, N. Intrinsic and Scattering Attenuations in the Crust of the Racha Region, Georgia. J. Earthq. Tsunami 2019, 14, 2050006. [Google Scholar] [CrossRef]
- Gupta, A.K.; Sutar, A.K.; Chopra, S.; Kumar, S.; Rastogi, B.K. Attenuation Characteristics of Coda Waves in Mainland Gujarat (India). Tectonophysics 2012, 530–531, 264–271. [Google Scholar] [CrossRef]
- Kandel, T.P.; Yamada, M.; Pokhrel, P. Determination of High-Frequency Attenuation Characteristic of Coda Waves in the Central Region of Nepal Himalaya. J. Nepal Geol. Soc. 2020, 60, 75–86. [Google Scholar] [CrossRef]
- Mukhopadhyay, S.; Tyagi, C. Lapse Time and Frequency-Dependent Attenuation Characteristics of Coda Waves in the Northwestern Himalayas. J. Seism. 2007, 11, 149–158. [Google Scholar] [CrossRef]
- Thirunavukarasu, A.; Kumar, A.; Mitra, S. Lateral Variation of Seismic Attenuation in Sikkim Himalaya. Geophys. J. Int. 2017, 208, 257–268. [Google Scholar] [CrossRef]
- Chung, J.-K.; Chen, Y.-L.; Shin, T.-C. Spatial Distribution of Coda Q Estimated from Local Earthquakes in Taiwan Area. Earth Planet Space 2009, 61, 1077–1088. [Google Scholar] [CrossRef][Green Version]
- Kosuga, M. Dependence of Coda Q on Frequency and Lapse Time in the Western Nagano Region, Central Japan. J. Phys. Earth 1992, 40, 421–445. [Google Scholar] [CrossRef]
- Parvez, I.A.; Sutar, A.K.; Mridula, M.; Mishra, S.K.; Rai, S.S. Coda Q Estimates in the Andaman Islands Using Local Earthquakes. Pure Appl. Geophys. 2008, 165, 1861–1878. [Google Scholar] [CrossRef]
- Vieira Barros, L.; Assumpção, M.; Quintero, R.; Ferreira, V.M. Coda Wave Attenuation in the Parecis Basin, Amazon Craton, Brazil: Sensitivity to Basement Depth. J. Seism. 2011, 15, 391–409. [Google Scholar] [CrossRef]
- Biescas, B.; Rivera, Z.; Zapata, J.A. Seismic Attenuation of Coda Waves in the Eastern Region of Cuba. Tectonophysics 2007, 429, 99–109. [Google Scholar] [CrossRef]
- Dobrynina, A.A.; Albaric, J.; Deschamps, A.; Perrot, J.; Ferdinand, R.W.; Déverchère, J.; San’kov, V.A.; Chechel’nitskii, V.V. Seismic Wave Attenuation in the Lithosphere of the North Tanzanian Divergence Zone (East African Rift System). Russ. Geol. Geophys. 2017, 13, 253–265. [Google Scholar] [CrossRef]
- Bianco, F.; Pezzo, E.D.; Malagnini, L.; Luccio, F.D.; Akinci, A. Separation of Depth-Dependent Intrinsic and Scattering Seismic Attenuation in the Northeastern Sector of the Italian Peninsula. Geophys. J. Int. 2005, 161, 130–142. [Google Scholar] [CrossRef]
- Bianco, F.; Del Pezzo, E.; Castellano, M.; Ibanez, J.; Di Luccio, F. Separation of Intrinsic and Scattering Seismic Attenuation in the Southern Apennine Zone, Italy. Geophys. J. Int. 2002, 150, 10–22. [Google Scholar] [CrossRef]
- Del Pezzo, E.; Giampiccolo, E.; Tuvé, T.; Di Grazia, G.; Gresta, S.; Ibàñez, J.M. Study of the Regional Pattern of Intrinsic and Scattering Seismic Attenuation in Eastern Sicily (Italy) from Local Earthquakes. Geophys. J. Int. 2019, 218, 1456–1468. [Google Scholar] [CrossRef]
- Hoshiba, M. Simulation of Multiple-Scattered Coda Wave Excitation Based on the Energy Conservation Law. Phys. Earth Planet. Inter. 1991, 67, 123–136. [Google Scholar] [CrossRef]
- Padhy, S.; Subhadra, N.; Kayal, J.R. Frequency-Dependent Attenuation of Body and Coda Waves in the Andaman Sea Basin. Bull. Seismol. Soc. Am. 2011, 101, 109–125. [Google Scholar] [CrossRef]
- Farrokhi, M.; Hamzehloo, H.; Rahimi, H.; Allameh Zadeh, M. Separation of Intrinsic and Scattering Attenuation in the Crust of Central and Eastern Alborz Region, Iran. Phys. Earth Planet. Inter. 2016, 253, 88–96. [Google Scholar] [CrossRef]
- Akinci, A.; Del Pezzo, E.; Ibáñez, J.M. Separation of Scattering and Intrinsic Attenuation in Southern Spain and Western Anatolia (Turkey). Geophys. J. Int. 1995, 121, 337–353. [Google Scholar] [CrossRef]
- Jin, A.; Aki, K. Spatial and Temporal Correlation between Coda Q−1 and Seismicity and Its Physical Mechanism. J. Geophys. Res. Solid Earth 1989, 94, 14041–14059. [Google Scholar] [CrossRef]
- Sharma, B.; Teotia, S.S.; Kumar, D. Attenuation of P, S, and Coda Waves in Koyna Region, India. J. Seism. 2007, 11, 327–344. [Google Scholar] [CrossRef]
- Morozov, I.B. Geometrical Attenuation, Frequency Dependence of Q, and the Absorption Band Problem. Geophys. J. Int. 2008, 175, 239–252. [Google Scholar] [CrossRef]
- Rovida, A.; Locati, M.; Camassi, R.; Lolli, B.; Gasperini, P. The Italian Earthquake Catalogue CPTI15. Bull. Earthq. Eng. 2020, 18, 2953–2984. [Google Scholar] [CrossRef]
- Loddo, M.; Quarto, R.; Schiavone, D. Integrated Geophysical Survey for the Geological Structural and Hydrogeothermal Study of the North-Western Gargano Promontory (Southern Italy). Ann. Geophys. 1996, 39. [Google Scholar] [CrossRef]
- Catalano, R.; Di Stefano, P.; Nigro, F.; Vitale, F.P. The Sicily mainland thrust belt: Evolution during the Neogene. Boll. Geofis. Teor. Appl. 1994, 36, 127–138. [Google Scholar]









| This Study | Radius of Investigation (km) 1 | |
|---|---|---|
| s | = 11 ± 9; = 0.96 ± 0.07 | 19.3 |
| s | = 24 ± 15; = 0.80 ± 0.11 | 29.9 |
| s | = 31 ± 15; = 0.88 ± 0.10 | 38.6 |
| s | = 34 ± 13; = 0.97 ± 0.09 | 48.2 |
| s | = 40 ± 14; = 1.00 ± 0.10 | 57.9 |
| s | = 49 ± 16; = 1.00 ± 0.11 | 67.5 |
| s | = 63 ± 20; = 0.95 ± 0.15 | 77.2 |
| Region | |||
|---|---|---|---|
| Gargano (Italy) [this study] | 63 | 1 | 40 |
| Gargano (Italy) [23] | 50 | 0.7 | 40 |
| Mts. Peloritani (Italy) [44] | 50 | 0.7 | 40 |
| Messina Strait (Italy) [45] | 76 | 0.5 | 40 |
| Southeastern Sicily (Italy) [46] | 38 | 1.4 | 40 |
| Central Appennines (Italy) [39] | 88 | 0.6 | 40 |
| Granada Zone (Southern Spain) [3] | 86 | 0.9 | 40 |
| Almeria Basin (Iberian Peninsula) [47] | 63 | 0.9 | 40 |
| Pannonian Basin (Croazia) [48] | 108 | 0.7 | 40 |
| Northern Morocco [49] | 140 | 0.9 | 40 |
| Racha Region (Georgia) [50] | 79 | 1 | 60 |
| Mainland Gujarat (India) [51] | 112 | 0.9 | 40 |
| Nepal Himalaya [52] | 143 | 1 | 40 |
| Northwestern Himalaya [53] | 150 | 1 | 30 |
| Sikkin Himalaya [54] | 91 | 1 | 40 |
| Taiwan [55] | 93 | 0.8 | 30 |
| Western Nagao, Japan [56] | 112 | 0.7 | 30 |
| Andaman Islands [57] | 122 | 0.8 | 40 |
| Parecis Basin (Brazil) [58] | 98 | 1.2 | 40 |
| Eastern Cuba [59] | 64 | 0.8 | 20 |
| North Tanzania [60] | 146 | 1 | 40 |
Publisher’s Note: MDPI stays neutral with regard to jurisdictional claims in published maps and institutional affiliations. |
© 2021 by the authors. Licensee MDPI, Basel, Switzerland. This article is an open access article distributed under the terms and conditions of the Creative Commons Attribution (CC BY) license (https://creativecommons.org/licenses/by/4.0/).
Share and Cite
Filippucci, M.; Lucente, S.; Del Pezzo, E.; de Lorenzo, S.; Prosser, G.; Tallarico, A. 3D-Kernel Based Imaging of an Improved Estimation of (Qc) in the Northern Apulia (Southern Italy). Appl. Sci. 2021, 11, 7512. https://doi.org/10.3390/app11167512
Filippucci M, Lucente S, Del Pezzo E, de Lorenzo S, Prosser G, Tallarico A. 3D-Kernel Based Imaging of an Improved Estimation of (Qc) in the Northern Apulia (Southern Italy). Applied Sciences. 2021; 11(16):7512. https://doi.org/10.3390/app11167512
Chicago/Turabian StyleFilippucci, Marilena, Salvatore Lucente, Edoardo Del Pezzo, Salvatore de Lorenzo, Giacomo Prosser, and Andrea Tallarico. 2021. "3D-Kernel Based Imaging of an Improved Estimation of (Qc) in the Northern Apulia (Southern Italy)" Applied Sciences 11, no. 16: 7512. https://doi.org/10.3390/app11167512
APA StyleFilippucci, M., Lucente, S., Del Pezzo, E., de Lorenzo, S., Prosser, G., & Tallarico, A. (2021). 3D-Kernel Based Imaging of an Improved Estimation of (Qc) in the Northern Apulia (Southern Italy). Applied Sciences, 11(16), 7512. https://doi.org/10.3390/app11167512
