Flexural Strength and Acoustic Damage Characteristics of Steel Bar Reactive Powder Concrete
Abstract
:1. Introduction
2. Materials and Methods
2.1. Materials
2.2. Preparation of SBRPC
2.3. Flexural Strength Test
2.4. AE Test
3. Results and Discussion
3.1. Flexural Strength
3.2. AE Parameters Direct Analysis
3.2.1. Hits and Counts
3.2.2. Amplitude
3.3. AE Indirect Caculaction Analysis
4. Conclusions
- (1)
- The flexural strength of SBRPC improves as the steel bar number increases. The flexural strength of SBRPC-5 is 37.32 MPa, which is 33.2% higher than that of RPC. The cooperation of steel bars and RPC can effectively improve the performance of RPC against bending stress;
- (2)
- The AE parameters can be used to describe the failure procedures of SBRPC. The failure stage of SBRPC could be delimited accurately, considering hits and cumulative counts;
- (3)
- AE amplitude will suddenly change at the critical diacritical point in the failure period, which indicates that AE amplitude could be applied for an early warning of damage;
- (4)
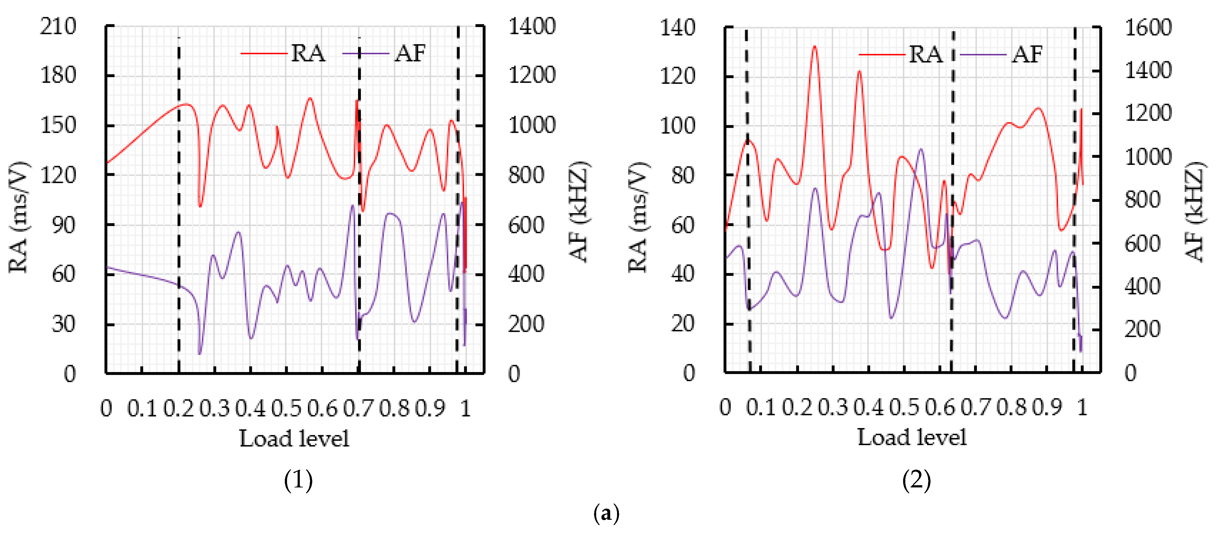
- The addition of steel bars would affect the distributions for shear and tensile cracks in SBRPC. In addition, the damage mode of the structure could be judged through RA, AF and RF, which provide a reference for practical engineering applications;
- (5)
- The acoustic damage characteristics of a fully reinforced RPC beam will be investigated in future studies.
Author Contributions
Funding
Institutional Review Board Statement
Informed Consent Statement
Data Availability Statement
Acknowledgments
Conflicts of Interest
References
- Richard, R.; Cheyrezy, M. Composition of reactive powder concrete. Cem. Concr. Res. 1995, 25, 1501–1511. [Google Scholar] [CrossRef]
- Zhang, Y.S.; Sun, W.; Liu, S.F.; Jiao, C.J.; Lai, J.Z. Preparation of C200 green reactive powder concrete and its static-dynamic behaviors. Cem. Concr. Comp. 2008, 30, 831–838. [Google Scholar]
- Yazıcı, H.; Yardımcı, M.Y.; Aydın, S.; Karabulut, A.S. Mechanical properties of reactive powder concrete containing mineral admixtures under different curing regimes. Constr. Build. Mater. 2009, 23, 1223–1231. [Google Scholar] [CrossRef]
- Chan, Y.W.; Chu, S.H. Effect of silica fume on steel fiber bond characteristics in reactive powder concrete. Cem. Concr. Res. 2004, 34, 1167–1172. [Google Scholar] [CrossRef]
- Mostofinejad, D.; Nikoo, M.R.; Hosseini, S.A. Determination of optimized mix design and curing conditions of reactive powder concrete (RPC). Constr. Build. Mater. 2016, 123, 754–767. [Google Scholar] [CrossRef]
- Wille, K.; Boisvert-Cotulio, C. Material efficiency in the design of ultra-high performance concrete. Constr. Build. Mater. 2015, 86, 33–43. [Google Scholar] [CrossRef]
- Afroughsabet, V.; Biolzi, L.; Ozbakkalogu, T. High-performance fiber-reinforced concrete: A review. J. Mater. Sci. 2016, 51, 6517–6551. [Google Scholar] [CrossRef] [Green Version]
- Yazıcı, H.; Yardımcı, M.Y.; Yigiter, H.; Aydın, S.; Türkel, S. Mechanical properties of reactive powder concrete containing high volumes. Cem. Concr. Comp. 2010, 32, 639–648. [Google Scholar] [CrossRef]
- Ple, O.; Bayard, O. Preliminary study of multiscale analysis in fibre reinforced concrete. Mater. Struct. 2002, 35, 279–284. [Google Scholar] [CrossRef]
- Al-Quraishi, H.; Al-Farttoosi, M.; Abdul Khdhur, R. Tensile lap splice length of reinforcing bars embedded in reactive powder concrete (RPC). Structures 2019, 19, 362–368. [Google Scholar] [CrossRef]
- Alkaysi, M.; EL-Tawil, S. Factors affecting bond development between ultra high performance concrete (UHPC) and steel bar reinforcement. Constr. Build. Mater. 2017, 144, 412–422. [Google Scholar] [CrossRef]
- Bae, B.; Choi, H.K.; Choi, C.S. Bond stress between conventional reinforcement and steel fibre reinforced reactive powder concrete. Constr. Build. Mater. 2016, 112, 825–835. [Google Scholar] [CrossRef]
- Xie, C.; Yuan, L.J.; Zhao, M.; Jia, Y.H. Study on failure mechanism of porous concrete based on acoustic emission and discrete element method. Constr. Build. Mater. 2020, 235, 117409. [Google Scholar] [CrossRef]
- Carpinteri, A.; Xu, J.; Lacidogna, G.; Manuello, A. Reliable onset time determination and source location of acoustic emission in concrete structures. Cem. Concr. Comp. 2012, 34, 529–537. [Google Scholar] [CrossRef]
- Han, Q.H.; Yang, G.; Xu, J.; Fu, Z.W.; Lacidogna, G.; Carpinteri, A. Acoustic emission data analyses based on crumb rubber concrete beam bending tests. Eng. Fract. Mech. 2019, 210, 189–202. [Google Scholar] [CrossRef]
- Rouchier, S.; Foray, G.; Godin, N.; Woloszyn, M.; Roux, J.J. Damage monitoring in fibre reinforced mortar by combined digital image correlation and acoustic emission. Constr. Build. Mater. 2013, 38, 371–380. [Google Scholar] [CrossRef] [Green Version]
- Nair, A.; Cai, C.S. Acoustic emission monitoring of bridges: Review and case studies. Eng. Struct. 2010, 32, 1704–1714. [Google Scholar] [CrossRef]
- Tsangouri, E.; Agggelis, D.G. A review of acoustic emission as indicator of reinforcement effectiveness in concrete and cementitious composites. Constr. Build. Mater. 2019, 224, 198–205. [Google Scholar] [CrossRef]
- Sagar, R.V.; Prasad, B.K.R. A review of recent developments in parametric based acoustic emission techniques applied to concrete structures. Nondestruct. Test. Eval. 2012, 27, 47–68. [Google Scholar] [CrossRef]
- Xu, J.; Fu, Z.W.; Han, Q.H.; Lacidogna, G.; Carpinteri, A. Micro-cracking monitoring and fracture evaluation for crumb rubber concrete based on acoustic emission techniques. Struct. Health Monit. 2018, 17, 946–958. [Google Scholar] [CrossRef]
- Bhosale, A.; Rasheed, M.A.; Prakash, S.S.; Raju, G. A study on the efficiency of steel vs. synthetic vs. hybrid fibers on fracture behavior of concrete on flexure using acoustic emission. Constr. Build. Mater. 2019, 199, 256–268. [Google Scholar] [CrossRef]
- Fan, X.Q.; Hu, S.W.; Lu, J.; Wei, C.J. Acoustic emission properties of concrete on dynamic tensile test. Constr. Build. Mater. 2016, 114, 66–75. [Google Scholar]
- Rasheed, M.A.; Prakash, S.S.; Raju, G.; Kawasaki, Y. Fracture studies on synthetic fiber reinforced cellular concrete using acoustic emission technique. Constr. Build. Mater. 2018, 169, 100–112. [Google Scholar] [CrossRef]
- Liu, H.; Lyu, X.; Zhang, Y.; Luo, G.; Li, W. Steel corrosion evaluation of basalt fiber RPC affected by crack and steel-concrete interface damage using electrochemical methods. Sensors 2020, 20, 5027. [Google Scholar] [CrossRef] [PubMed]
- Ministry of Housing and Urban-Rural Construction of the People’s Republic of China. Standard for Test Method of Mechanical Properties on Ordinary Concrete; Ministry of Housing and Urban-Ural Construction of the People’s Republic of China: Beijing, China, 2002. (In Chinese) [Google Scholar]
- Liang, C.; Ma, J.; Zhou, P.; Ma, G.; Xu, X. Fracture damage properties of SBS-modified asphalt mixtures reinforced with basalt fiber after freeze-thaw cycles using the acoustic emission approach. Appl. Sci. 2020, 10, 3301. [Google Scholar] [CrossRef]
- Tan, G.J.; Zhu, Z.Q.; Wang, W.S.; Wu, C.L.; Ou, J.; Cui, G.J.; Zhang, D.M. Flexural ductility and crack-controlling capacity of polypropylene fiber reinforced ecc thin sheet with waste superfine river sand based on acoustic emission analysis. Constr. Build. Mater. 2021, 277, 122321. [Google Scholar] [CrossRef]
- Ohtsu, M. Recommendations of RILEM Technical Committee 212-ACD: Acoustic emission and related NDE techniques for crack detection and damage evaluation in concrete: 3. Test method for classification of active cracks in concrete structures by acoustic emission. Mater. Struct. 2010, 43, 1187–1189. [Google Scholar]
- Jiao, Y.B.; Fu, L.X.; Shan, W.C.; Liu, S.Q. Damage fracture characterization of pervious asphalt considering temperature effect based on acoustic emission parameters. Eng. Fract. Mech. 2019, 210, 147–159. [Google Scholar] [CrossRef]
- Aggelis, D.G.; Soulitoi, D.V.; Sapouridis, N.; Barkoula, N.M.; Paipetis, A.S.; Marikas, T.E. Acoustic emission characterization of the fracture process in fibre reinforced concrete. Constr. Build. Mater. 2011, 25, 4126–4131. [Google Scholar] [CrossRef]
- Soulioti, D.; Barkoula, N.M.; Paipetis, A.; Matikas, T.E.; Shiotani, T.; Aggelis, D.G. Acoustic emission behavior of steel fibre reinforced concrete under bending. Constr. Build. Mater. 2009, 23, 3532–3536. [Google Scholar] [CrossRef] [Green Version]














| Density (kg/m3) | Specific Surface Area (m2/kg) | Setting Time (min) | Compressive Strength (MPa) | Flexural Strength (MPa) | |
|---|---|---|---|---|---|
| Initial Setting | Final Setting | ||||
| 3160 | 385 | 91 | 145 | 62.2 | 9.1 |
| Material | Chemical Components (%) | |||||
|---|---|---|---|---|---|---|
| SiO2 | Fe | Al2O3 | K2O | Na2O | H2O | |
| Quartz Sand | 99.68 | 0.0062 | 0.0122 | 0.0011 | 0.002 | 0.02 |
| Mix | Quartz Sand | Cement | Silica Fume | Quartz Powder | Basalt Fiber | Water | Water Reducer |
|---|---|---|---|---|---|---|---|
| RPC | 947.0 | 841.8 | 210.4 | 311.4 | 12 | 151.5 | 52.6 |
Publisher’s Note: MDPI stays neutral with regard to jurisdictional claims in published maps and institutional affiliations. |
© 2021 by the authors. Licensee MDPI, Basel, Switzerland. This article is an open access article distributed under the terms and conditions of the Creative Commons Attribution (CC BY) license (https://creativecommons.org/licenses/by/4.0/).
Share and Cite
Yi, T.; Wang, H.; Xie, J.; Wang, W. Flexural Strength and Acoustic Damage Characteristics of Steel Bar Reactive Powder Concrete. Appl. Sci. 2021, 11, 7017. https://doi.org/10.3390/app11157017
Yi T, Wang H, Xie J, Wang W. Flexural Strength and Acoustic Damage Characteristics of Steel Bar Reactive Powder Concrete. Applied Sciences. 2021; 11(15):7017. https://doi.org/10.3390/app11157017
Chicago/Turabian StyleYi, Tingyou, Hua Wang, Juntao Xie, and Wensheng Wang. 2021. "Flexural Strength and Acoustic Damage Characteristics of Steel Bar Reactive Powder Concrete" Applied Sciences 11, no. 15: 7017. https://doi.org/10.3390/app11157017
APA StyleYi, T., Wang, H., Xie, J., & Wang, W. (2021). Flexural Strength and Acoustic Damage Characteristics of Steel Bar Reactive Powder Concrete. Applied Sciences, 11(15), 7017. https://doi.org/10.3390/app11157017

