Performance Prediction and Design of Stratospheric Propeller
Abstract
Featured Application
Abstract
1. Introduction
2. Methodology
3. Propeller Design
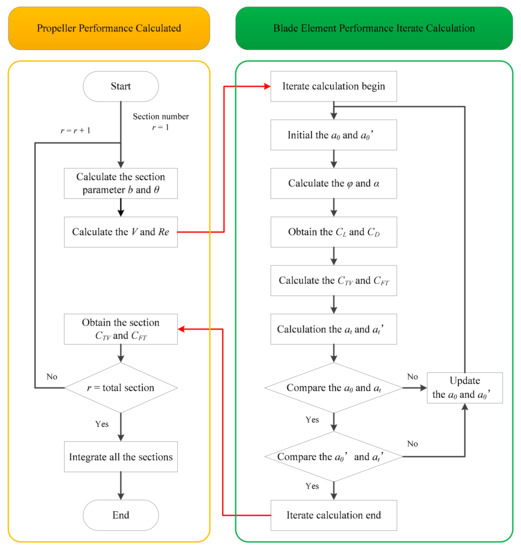
4. Performance Prediction
5. Finite Element Analysis
5.1. Airfoil Model
5.2. Propeller Model
6. Result and Discussion
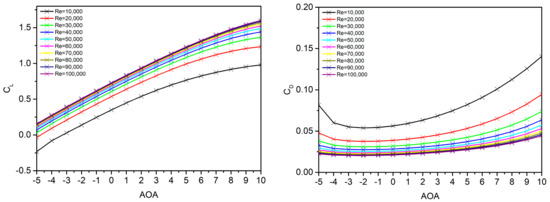
6.1. Airfoil Performance of FX–63
6.2. Performance of the Designed Propeller
6.3. Performance Prediction for the Designed Propeller
7. Conclusions
Author Contributions
Funding
Institutional Review Board Statement
Informed Consent Statement
Data Availability Statement
Conflicts of Interest
References
- Colozza, A.; James, D. Initial Feasibility Assessment of a High Altitude Long Endurance Airship; Technical Report CR–2003–212724; Analex Corp.: Los Angeles, OH, USA, 2003. [Google Scholar]
- D’Oliveira, F.; Melo, F.; Devezas, T. High-Altitude Platforms—Present Situation and Technology Trends. J. Aerosp. Tech. Manag. 2016, 8, 249–262. [Google Scholar] [CrossRef]
- Zhao, D.; Liu, D. Research status, technical difficulties and development trend of stratospheric airship. Acta Aeronaut. Astronaut. Sin. 2016, 37, 45–56. [Google Scholar]
- Wu, J.; Fang, X.D.; Wang, Z. Thermal modeling of stratospheric airships. Prog. Aerosp. Sci. 2015, 75, 26–37. [Google Scholar] [CrossRef]
- Xu, Y.; Zhu, W.; Li, J. Improvement of endurance performance for high-altitude solar-powered airships: A review. Acta Astronaut. 2019, 167, 245–259. [Google Scholar] [CrossRef]
- Selig, M.S.; Guglielmo, J.J. High-Lift Low Reynolds Number Airfoil Design. J. Aircr. 1997, 34, 72–79. [Google Scholar] [CrossRef]
- Selig, M.S.; Mcgranahan, B.D. Wind Tunnel Aerodynamic Tests of Six Airfoils for Use on Small Wind Turbine. J. Sol. Energy 2004, 126, 986. [Google Scholar] [CrossRef]
- D’Angelo, S.; Berardi, F.; Minisci, E. Aerodynamic Performance of Propellers with Parametric Considerations on the Optimal Design. Aeronaut. J. 2002, 106, 313–320. [Google Scholar]
- Xiang, S.; Wang, J.; Zhang, L. A design method for high efficiency propeller. J. Aerosp. Power 2015, 30, 136–141. [Google Scholar]
- Rankine, W.M.J. On the Mechanical Principles of the Action of the Propellers. Trans. Inst. Nav. Arch. 1865, 6, 13–30. [Google Scholar]
- Froude, W. On the Elementary Relation between Pitch, Slip and Propulsive Efficiency; Technical Memorandum, NASA–TM–X–61726; NTRS: Washington, DC, USA, 1878; Volume 19, pp. 22–33. [Google Scholar]
- Drzewiecki, S. Méthode pour la Détermination des Elements Mécaniques des Propulseurs Hélicoïdaux; Bulletin de l’Association Technique Maritime: Paris, France, 1892. [Google Scholar]
- Betz, A. Schraubenpropeller mit geringstem Energieverlust. Mit einem Zusatz von l. Prandtl. Gött. Nachr. 1919, 3, 193–217. [Google Scholar]
- Goldstein, S. On the vortex theory of screw propellers. Proc. R. Soc. A Math. Phys. Eng. Sci. 1929, 123, 440–465. [Google Scholar]
- Theodorsen, T. Theory of Propellers; McGraw–Hill Book Company: New York, NY, USA, 1948. [Google Scholar]
- Glauert, H. Airplane Propellers, Aerodynamic Theory; Division L; Durand, W.F., Ed.; Springer: New York, NY, USA, 1963; Volume IV, pp. 169–360. [Google Scholar]
- Wang, Y.; Liu, Z.; Tao, G. Numerical simulation of a high altitude propeller’s aerodynamic characteristics and wind tunnel test. J. Beihang Aeronaut. Astronaut. 2013, 39, 1102–1105. [Google Scholar]
- Xiang, S.; Liu, Y.-q.; Tong, G. An improved propeller design method for the electric aircraft. Aerosp. Sci. Tech. 2018, 78, 488–493. [Google Scholar] [CrossRef]
- Nigam, N.; Tyagi, A.; Chen, P. Multi-fidelity multi-disciplinary propeller/rotor analysis and design. In Proceedings of the 53rd AIAA Aerospace Sciences Meeting, Kissimmee, FL, USA, 5 January 2015. [Google Scholar]
- Morgado, J. Validation of New Formulations for Propeller Analysis. J. Propul. Power 2015, 31, 467–477. [Google Scholar] [CrossRef]
- Liu, X.; He, W. Performance Calculation and Design of Stratospheric Propeller. IEEE Access 2017, 5, 14358–14368. [Google Scholar] [CrossRef]
- Liu, P.; Ma, R.; Duan, Z. Ground Wind Tunnel Test Study of the Propeller of Stratospheric Airships. J. Aerosp. Power 2011, 26, 1775–1781. [Google Scholar]
- Liu, P.; Duan, Z.; Ma, L. Aerodynamics properties and design method of high efficiency-light propeller of stratospheric airships. In Proceedings of the 2011 International Conference on Remote Sensing, Environment and Transportation Engineering, Nanjing, China, 24–26 June 2011. [Google Scholar]





















| Altitude | Velocity | Rated Speed | Rated Thrust | Diameter | Efficiency |
|---|---|---|---|---|---|
| 20 km | 10 m/s | 600 RPM | ≥100 N | ≤3.5 m | ≥70% |
| H/km | T/K | P/Pa | ||
|---|---|---|---|---|
| 15 | 0.19367 | 216.65 | 12,044.5 | 1.4216 × 10−5 |
| 18 | 0.12164 | 216.65 | 7565.2 | 1.4216 × 10−5 |
| 20 | 0.08803 | 216.65 | 5474.9 | 1.4216 × 10−5 |
| Altitude | Length | Density | Rotation Speed | Advance Speed |
|---|---|---|---|---|
| 15 | 1 | 2.200 | 0.454 | 2.200 |
| 18 | 1 | 1.382 | 0.724 | 1.382 |
| 20 | 1 | 1 | 1 | 1 |
| = 0.57 | CFD Simulation | Vortex Theory | Predict 3 | ||
|---|---|---|---|---|---|
| Value | Value | Deviation | Value | Deviation | |
| 0.0760 | 0.0766 | 0.71% | 0.0787 | 3.46% | |
| 0.0592 | 0.0576 | −2.77% | 0.0593 | 0.12% | |
| 0.7336 | 0.7598 | 3.57% | 0.7580 | 3.33% | |
Publisher’s Note: MDPI stays neutral with regard to jurisdictional claims in published maps and institutional affiliations. |
© 2021 by the authors. Licensee MDPI, Basel, Switzerland. This article is an open access article distributed under the terms and conditions of the Creative Commons Attribution (CC BY) license (https://creativecommons.org/licenses/by/4.0/).
Share and Cite
Xie, C.; Tao, G.; Wu, Z. Performance Prediction and Design of Stratospheric Propeller. Appl. Sci. 2021, 11, 4698. https://doi.org/10.3390/app11104698
Xie C, Tao G, Wu Z. Performance Prediction and Design of Stratospheric Propeller. Applied Sciences. 2021; 11(10):4698. https://doi.org/10.3390/app11104698
Chicago/Turabian StyleXie, Cong, Guoquan Tao, and Zhe Wu. 2021. "Performance Prediction and Design of Stratospheric Propeller" Applied Sciences 11, no. 10: 4698. https://doi.org/10.3390/app11104698
APA StyleXie, C., Tao, G., & Wu, Z. (2021). Performance Prediction and Design of Stratospheric Propeller. Applied Sciences, 11(10), 4698. https://doi.org/10.3390/app11104698

