Biocrude from Nannochloropsis gaditana by Hydrothermal Liquefaction: An Experimental Design Approach
Abstract
1. Introduction
2. Materials and Methods
2.1. Microalga Biomass
2.2. Experimental Procedure
2.3. Analytical Methods
2.4. Design of Experiments
3. Results
3.1. HTL Experimental Results
3.2. Statistical and Technological Models
3.3. Estimation of Experimental Error
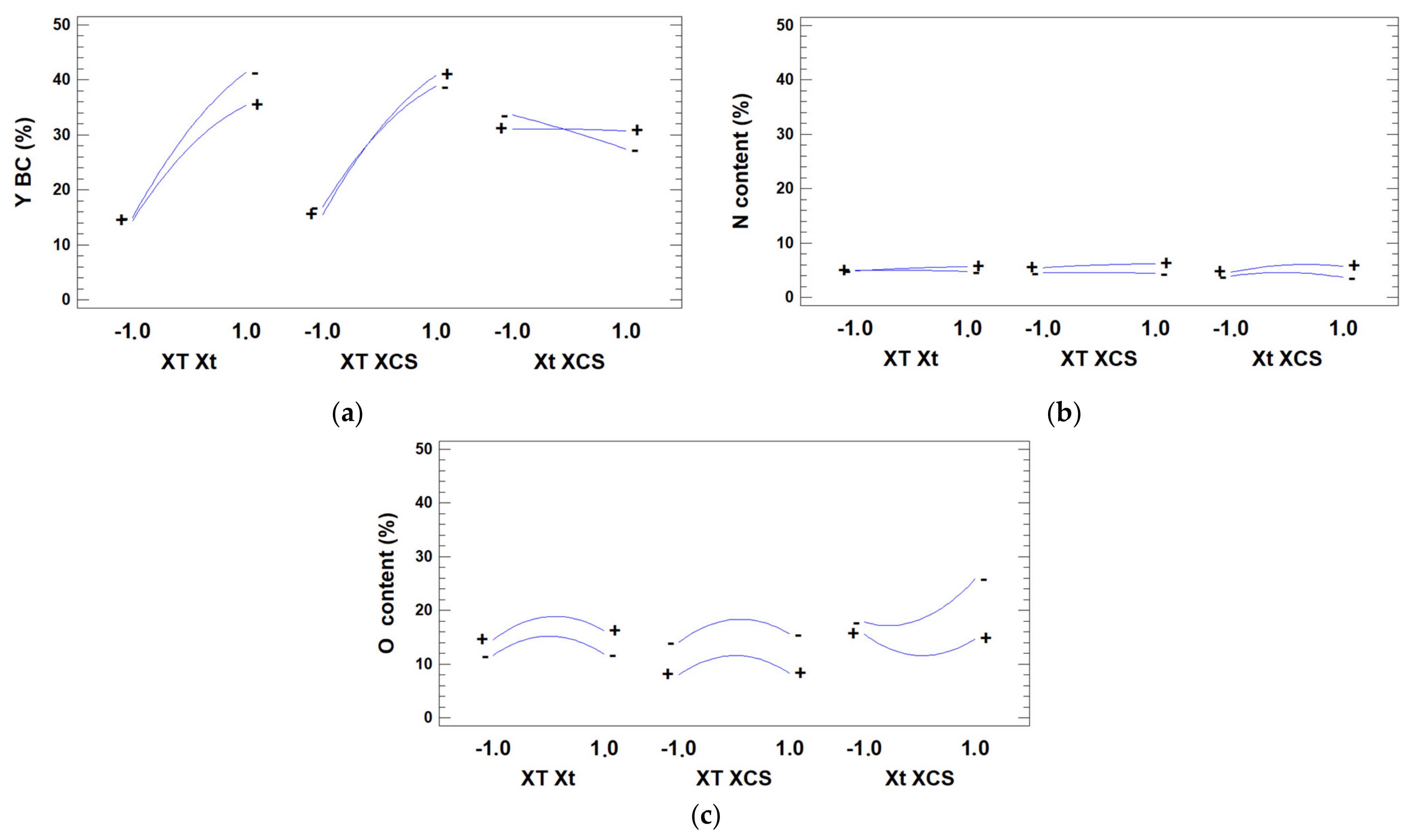
3.4. Influence of the Factors on the Reponses
3.5. Optimal of Biocrude Production
4. Conclusions
Supplementary Materials
Author Contributions
Funding
Institutional Review Board Statement
Informed Consent Statement
Acknowledgments
Conflicts of Interest
References
- Brennan, L.; Owende, P. Biofuels from microalgae—A review of technologies for production, processing, and extractions of biofuels and co-products. Renew. Sustain. Energy Rev. 2010, 14, 557–577. [Google Scholar] [CrossRef]
- López Barreiro, D.; Zamalloa, C.; Boon, N.; Vyverman, W.; Ronsse, F.; Brilman, W.; Prins, W. Influence of strain-specific parameters on hydrothermal liquefaction of microalgae. Bioresour. Technol. 2013, 146, 463–471. [Google Scholar] [CrossRef]
- Biller, P.; Ross, A.B. Potential yields and properties of oil from the hydrothermal liquefaction of microalgae with different biochemical content. Bioresour. Technol. 2011, 102, 215–225. [Google Scholar] [CrossRef]
- Huang, Y.; Chen, Y.; Xie, J.; Liu, H.; Yin, X.; Wu, C. Bio-oil production from hydrothermal liquefaction of high-protein high-ash microalgae including wild Cyanobacteria sp. and cultivated Bacillariophyta sp. Fuel 2016, 183, 9–19. [Google Scholar] [CrossRef]
- Vo, T.K.; Lee, O.K.; Lee, E.Y.; Kim, C.H.; Seo, J.-W.W.; Kim, J.; Kim, S.-S.S. Kinetics study of the hydrothermal liquefaction of the microalga Aurantiochytrium sp. KRS101. Chem. Eng. J. 2016, 306, 763–771. [Google Scholar] [CrossRef]
- Elliott, D.C. Historical Developments in Hydroprocessing Bio-oils. Energy Fuels 2007, 21, 1792–1815. [Google Scholar] [CrossRef]
- Elliott, D.C.; Biller, P.; Ross, A.B.; Schmidt, A.J.; Jones, S.B. Hydrothermal liquefaction of biomass: Developments from batch to continuous process. Bioresour. Technol. 2015, 178, 147–156. [Google Scholar] [CrossRef]
- Megía-Hervás, I.; Sánchez-Bayo, A.; Bautista, L.F.; Morales, V.; Witt-Sousa, F.G.; Segura-Fornieles, M.; Vicente, G. Scale-up cultivation of Phaeodactylum tricornutum to produce biocrude by hydrothermal liquefaction. Processes 2020, 8, 1072. [Google Scholar] [CrossRef]
- Xu, D.; Lin, G.; Guo, S.; Wang, S.; Guo, Y.; Jing, Z. Catalytic hydrothermal liquefaction of algae and upgrading of biocrude: A critical review. Renew. Sustain. Energy Rev. 2018, 97, 103–118. [Google Scholar] [CrossRef]
- López Barreiro, D.; Prins, W.; Ronsse, F.; Brilman, W. Hydrothermal liquefaction (HTL) of microalgae for biofuel production: State of the art review and future prospects. Biomass Bioenergy 2013, 53, 113–127. [Google Scholar] [CrossRef]
- Gu, X.; Martinez-Fernandez, J.S.; Pang, N.; Fu, X.; Chen, S. Recent development of hydrothermal liquefaction for algal biorefinery. Renew. Sustain. Energy Rev. 2020, 121, 109707. [Google Scholar] [CrossRef]
- Dandamudi, K.P.R.; Muppaneni, T.; Markovski, J.S.; Lammers, P.; Deng, S. Hydrothermal liquefaction of green microalga Kirchneriella sp. under sub- and super-critical water conditions. Biomass Bioenergy 2019, 120, 224–228. [Google Scholar] [CrossRef]
- Gollakota, A.R.K.; Kishore, N.; Gu, S. A review on hydrothermal liquefaction of biomass. Renew. Sustain. Energy Rev. 2018, 81, 1378–1392. [Google Scholar] [CrossRef]
- Filipe, R.; Hu, Y.; Shui, H.; Charles, C. Biomass and Bioenergy Hydrothermal liquefaction of biomass to fuels and value-added chemicals: Products applications and challenges to develop large-scale operations. Biomass Bioenergy 2020, 135, 105510. [Google Scholar] [CrossRef]
- Patel, B.; Arcelus-Arrillaga, P.; Izadpanah, A.; Hellgardt, K. Catalytic Hydrotreatment of algal biocrude from fast Hydrothermal Liquefaction. Renew. Energy 2017, 101, 1094–1101. [Google Scholar] [CrossRef]
- Sánchez-Bayo, A.; Rodríguez, R.; Morales, V.; Nasirian, N.; Bautista, L.F.L.F.; Vicente, G. Hydrothermal liquefaction of microalga using metal oxide catalyst. Processes 2020, 8, 15. [Google Scholar] [CrossRef]
- Lubian, L.M. Nannochloropsis gaditana sp. nov., una nueva Eustigmatophyceae marina. Lazaroa 1982, 293, 287–293. [Google Scholar]
- López Barreiro, D.; Samorì, C.; Terranella, G.; Hornung, U.; Kruse, A.; Prins, W. Assessing microalgae biorefinery routes for the production of biofuels via hydrothermal liquefaction. Bioresour. Technol. 2014, 174, 256–265. [Google Scholar] [CrossRef]
- Li, H.; Liu, Z.; Zhang, Y.; Li, B.; Lu, H.; Duan, N.; Liu, M.; Zhu, Z.; Si, B. Conversion efficiency and oil quality of low-lipid high-protein and high-lipid low-protein microalgae via hydrothermal liquefaction. Bioresour. Technol. 2014, 154, 322–329. [Google Scholar] [CrossRef]
- Bligh, E.G.; Dyer, W.J. A rapid method of total lipid extraction and purification. Can. J. Biochem. Physiol. 1959, 37, 911–917. [Google Scholar] [CrossRef]
- DuBois, M.; Gilles, K.A.; Hamilton, J.K.; Rebers, P.A.; Smith, F. Colorimetric method for determination of sugars and related substances. Anal. Chem. 1956, 28, 350–356. [Google Scholar] [CrossRef]
- Lowry, O.H.; Rosebrough, N.J.; Lewis Farr, A.; Randall, R.J. Protein measurement with the Folin phenol reagent. Anal. Biochem. 1951, 217, 220–230. [Google Scholar] [CrossRef]
- Tian, C.; Li, B.; Liu, Z.; Zhang, Y.; Lu, H. Hydrothermal liquefaction for algal biorefinery: A critical review. Renew. Sustain. Energy Rev. 2014, 38, 933–950. [Google Scholar] [CrossRef]
- Arvindnarayan, S.; Sivagnana Prabhu, K.K.; Shobana, S.; Kumar, G.; Dharmaraja, J. Upgrading of micro algal derived bio-fuels in thermochemical liquefaction path and its perspectives: A review. Int. Biodeterior. Biodegrad. 2017, 119, 260–272. [Google Scholar] [CrossRef]
- Xu, D.; Savage, P.E. Effect of reaction time and algae loading on water-soluble and insoluble biocrude fractions from hydrothermal liquefaction of algae. Algal Res. 2015, 12, 60–67. [Google Scholar] [CrossRef]
- Kumar, M.; Olajire Oyedun, A.; Kumar, A. A review on the current status of various hydrothermal technologies on biomass feedstock. Renew. Sustain. Energy Rev. 2018, 81, 1742–1770. [Google Scholar] [CrossRef]
- Chen, W.-H.; Lin, B.-J.; Huang, M.-Y.; Chang, J.-S. Thermochemical conversion of microalgal biomass into biofuels: A review. Bioresour. Technol. 2014, 184, 314–327. [Google Scholar] [CrossRef] [PubMed]
- Hu, Y.; Gong, M.; Feng, S.; Xu, C.; Bassi, A. A review of recent developments of pre-treatment technologies and hydrothermal liquefaction of microalgae for bio-crude oil production. Renew. Sustain. Energy Rev. 2019, 101, 476–492. [Google Scholar] [CrossRef]
- Sun, J.; Yang, J.; Shi, M. Review of Denitrogenation of Algae Biocrude Produced by Hydrothermal Liquefaction. Trans. Tianjin Univ. 2017, 23, 301–314. [Google Scholar] [CrossRef]
- Mathimani, T.; Mallick, N. A review on the hydrothermal processing of microalgal biomass to bio-oil—Knowledge gaps and recent advances. J. Clean. Prod. 2019, 217, 69–84. [Google Scholar] [CrossRef]
- Tang, X.; Zhang, C.; Li, Z.; Yang, X. Element and chemical compounds transfer in bio-crude from hydrothermal liquefaction of microalgae. Bioresour. Technol. 2015, 202, 8–14. [Google Scholar] [CrossRef] [PubMed]
- Reddy, H.K.; Muppaneni, T.; Ponnusamy, S.; Sudasinghe, N.; Pegallapati, A.; Selvaratnam, T.; Seger, M.; Dungan, B.; Nirmalakhandan, N.; Schaub, T.; et al. Temperature effect on hydrothermal liquefaction of Nannochloropsis gaditana and Chlorella sp. Appl. Energy 2016, 165, 943–951. [Google Scholar] [CrossRef]
- Valdez, P.J.; Nelson, M.C.; Wang, H.Y.; Lin, X.N.; Savage, P.E. Hydrothermal liquefaction of Nannochloropsis sp.: Systematic study of process variables and analysis of the product fractions. Biomass Bioenergy 2012, 46, 317–331. [Google Scholar] [CrossRef]
- Neveux, N.; Yuen, A.K.L.; Jazrawi, C.; Magnusson, M.; Haynes, B.S.; Masters, A.F.; Montoya, A.; Paul, N.A.; Maschmeyer, T.; de Nys, R. Biocrude yield and productivity from the hydrothermal liquefaction of marine and freshwater green macroalgae. Bioresour. Technol. 2014, 155, 334–341. [Google Scholar] [CrossRef] [PubMed]
- Madsen, R.B.; Zhang, H.; Biller, P.; Goldstein, A.H.; Glasius, M. Characterizing Semivolatile Organic Compounds of Biocrude from Hydrothermal Liquefaction of Biomass. Energy Fuels 2017, 31, 4122–4134. [Google Scholar] [CrossRef]
- Barreiro, D.L.; Gómez, B.R.; Hornung, U.; Kruse, A.; Prins, W. Hydrothermal Liquefaction of Microalgae in a Continuous Stirred-Tank Reactor. Energy Fuels 2015, 29, 6422–6432. [Google Scholar] [CrossRef]








| Biological Composition | Elemental Composition | Trace Element Composition | |||
|---|---|---|---|---|---|
| Lipids (wt%) | 35.5 ± 1.2 | H (wt%) | 7.1 ± 0.2 | Na (mg/g) | 21.00 ± 2.01 |
| Proteins (wt%) | 43.8 ± 3.5 | C (wt%) | 48.7 ± 0.1 | K (mg/g) | 3.53 ± 0.09 |
| Carbohydrates (wt%) | 15.7 ± 3.6 | N (wt%) | 6.80 ± 0.04 | Mg (mg/g) | 0.90 ± 0.03 |
| Ashes (wt%) | 4.5 ± 0.8 | S (wt%) | 0.90 ± 0.04 | Ca (mg/g) | 0.08 ± 0.01 |
| O (wt%) | 36.5 ± 0.20 | P (mg/g) | 6.43 ± 0.02 | ||
| Exp. | XT | Xt | XCS | T (°C) | t (min) | CS 1 (wt%) | YB 2 (wt%) | CO 3 (wt%) | CN 4 (wt%) |
|---|---|---|---|---|---|---|---|---|---|
| 1 | −1 | 1 | 1 | 200 | 180 | 50 | 17.40 | 10.01 | 5.46 |
| 2 | −1 | 1 | −1 | 200 | 180 | 10 | 14.67 | 20.11 | 3.10 |
| 3 | −1 | −1 | 1 | 200 | 10 | 50 | 13.29 | 12.42 | 4.34 |
| 4 | −1 | −1 | −1 | 200 | 10 | 10 | 19.03 | 15.12 | 4.08 |
| 5 | 1 | 1 | 1 | 320 | 180 | 50 | 38.60 | 10.77 | 6.12 |
| 6 | 1 | 1 | −1 | 320 | 180 | 10 | 35.03 | 23.60 | 3.64 |
| 7 | 1 | −1 | 1 | 320 | 10 | 50 | 42.55 | 13.18 | 4.75 |
| 8 | 1 | −1 | −1 | 320 | 10 | 10 | 42.35 | 15.66 | 2.93 |
| 9 | 0 | 0 | 0 | 260 | 95 | 30 | 29.58 | 16.25 | 5.78 |
| 10 | 0 | 0 | 0 | 260 | 95 | 30 | 29.35 | 16.25 | 5.78 |
| 11 | 0 | 0 | 0 | 260 | 95 | 30 | 30.73 | 9.32 | 5.59 |
| 12 | −1 | 0 | 0 | 200 | 95 | 30 | 14.32 | 10.17 | 5.52 |
| 13 | 1 | 0 | 0 | 320 | 95 | 30 | 38.68 | 8.97 | 6.59 |
| 14 | 0 | 1 | 0 | 260 | 180 | 30 | 26.71 | 21.72 | 5.28 |
| 15 | 0 | −1 | 0 | 260 | 10 | 30 | 31.64 | 11.57 | 5.50 |
| 16 | 0 | 0 | 1 | 260 | 95 | 50 | 31.13 | 11.85 | 5.47 |
| 17 | 0 | 0 | −1 | 260 | 95 | 10 | 30.20 | 17.31 | 5.48 |
| Real Value | Codified Value | Theoretical Response | |||||||
|---|---|---|---|---|---|---|---|---|---|
| T (°C) | t (min) | CS (wt%) | T (°C) | t (min) | CS (wt%) | YBC (wt%) | CO (wt%) | CN (wt%) | |
| Max YBC | 320 | 10 | 10 | 320 | 10 | 10 | 43.15 | 14.71 | 3,.1 |
| Min CN | 200 | 180 | 10 | 200 | 180 | 10 | 14.89 | 21.30 | 3.33 |
| Min CO | 200 | 93.5 | 50 | 200 | 93.5 | 50 | 15.60 | 7.93 | 5.50 |
| YB (wt%) | YWSP (wt%) | YGP (wt%) | YSR (wt%) | YLP (wt%) |
|---|---|---|---|---|
| 42.3 ± 0.8 | 32 ± 1 | 18 ± 2 | 7.42 ± 0.08 | 92.58 ± 0.07 |
Publisher’s Note: MDPI stays neutral with regard to jurisdictional claims in published maps and institutional affiliations. |
© 2021 by the authors. Licensee MDPI, Basel, Switzerland. This article is an open access article distributed under the terms and conditions of the Creative Commons Attribution (CC BY) license (https://creativecommons.org/licenses/by/4.0/).
Share and Cite
Sánchez-Bayo, A.; Megía Hervás, I.; Rodríguez, R.; Morales, V.; Bautista, L.F.; Vicente, G. Biocrude from Nannochloropsis gaditana by Hydrothermal Liquefaction: An Experimental Design Approach. Appl. Sci. 2021, 11, 4337. https://doi.org/10.3390/app11104337
Sánchez-Bayo A, Megía Hervás I, Rodríguez R, Morales V, Bautista LF, Vicente G. Biocrude from Nannochloropsis gaditana by Hydrothermal Liquefaction: An Experimental Design Approach. Applied Sciences. 2021; 11(10):4337. https://doi.org/10.3390/app11104337
Chicago/Turabian StyleSánchez-Bayo, Alejandra, Irene Megía Hervás, Rosalía Rodríguez, Victoria Morales, Luis Fernando Bautista, and Gemma Vicente. 2021. "Biocrude from Nannochloropsis gaditana by Hydrothermal Liquefaction: An Experimental Design Approach" Applied Sciences 11, no. 10: 4337. https://doi.org/10.3390/app11104337
APA StyleSánchez-Bayo, A., Megía Hervás, I., Rodríguez, R., Morales, V., Bautista, L. F., & Vicente, G. (2021). Biocrude from Nannochloropsis gaditana by Hydrothermal Liquefaction: An Experimental Design Approach. Applied Sciences, 11(10), 4337. https://doi.org/10.3390/app11104337

