Preparation and Characterization of Electrosprayed Nanocapsules Containing Coconut-Oil-Based Alkyd Resin for the Fabrication of Self-Healing Epoxy Coatings
Abstract
1. Introduction
2. Materials and Methods
2.1. Materials
2.2. Encapsulation Process
2.3. Preparation of Self-Healing Coatings for Corrosion and Mechanical Tests
2.4. Chemical Structure Evaluation
2.5. Evaluation of Encapsulation Yield and Core Content
2.6. Morphological Studies
2.7. Thermal Stability Evaluations
2.8. Evaluation of Healing Reaction Heat
2.9. Evaluation of the Coating Properties
2.10. Evaluation of the Self-Healing Performance of the Coatings
3. Results and Discussion
3.1. The Electrospraying Process Observation
3.2. The Chemical Structure of the Prepared Capsules
3.3. Morphological Studies
Thermodynamic of the Encapsulation Process
3.4. Thermal Stability of the Nanocapsules
3.5. Evaluation of the Reactivity of the Encapsulated Healing Agent
3.6. Evaluation of the Coating’s Properties
3.7. Evaluation of the Self-Healing Ability of the Coatings
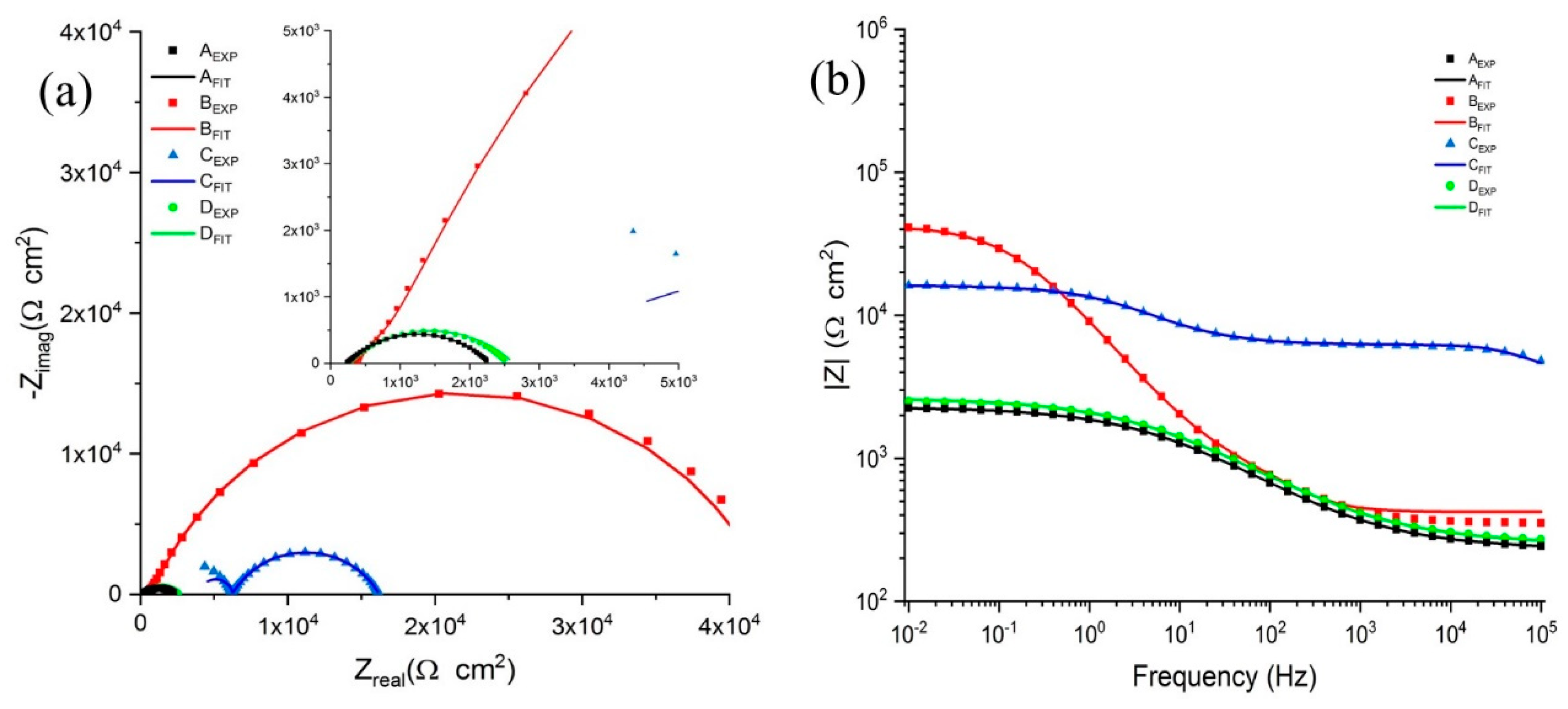
3.7.1. Salt Spray Tests
3.7.2. Evaluation of the Self-Healing Ability by EIS Tests in NaCl and HCl Solutions
4. Conclusions
Supplementary Materials
Author Contributions
Funding
Conflicts of Interest
References
- Borisova, D.; Möhwald, H.; Shchukin, D.G. Mesoporous silica nanoparticles for active corrosion protection. ACS Nano 2011, 5, 1939–1946. [Google Scholar] [CrossRef] [PubMed]
- Ataei, S.; Khorasani, S.N.; Neisiany, R.E. Biofriendly vegetable oil healing agents used for developing self-healing coatings: A review. Prog. Org. Coat. 2019, 129, 77–95. [Google Scholar] [CrossRef]
- Zheludkevich, M. Self-Healing anticorrosion coatings. Self Heal. Mater. 2009. [Google Scholar] [CrossRef]
- D’Elia, F.M.; Magni, M.; Trasatti, P.M.S.; Schweizer, B.T.; Niederberger, M.; Caseri, W. Poly(phenylene methylene)-Based Coatings for Corrosion Protection: Replacement of Additives by Use of Copolymers. Appl. Sci. 2019, 9, 3551. [Google Scholar] [CrossRef]
- Esmaeely Neisiany, R.; Enayati, M.S.; Sajkiewicz, P.; Pahlevanneshan, Z.; Ramakrishna, S. Insight Into the Current Directions in Functionalized Nanocomposite Hydrogels. Front. Mater. 2020, 7, 25. [Google Scholar] [CrossRef]
- Sanka, R.V.S.P.; Krishnakumar, B.; Leterrier, Y.; Pandey, S.; Rana, S.; Michaud, V. Soft Self-Healing Nanocomposites. Front. Mater. 2019, 6, 137. [Google Scholar] [CrossRef]
- Guadagno, L.; Raimondo, M.; Naddeo, C.; Longo, P.; Mariconda, A.; Binder, W.H. Healing efficiency and dynamic mechanical properties of self-healing epoxy systems. Smart Mater. Struct. 2014, 23, 045001. [Google Scholar] [CrossRef]
- Wang, Y.; Li, Y.; Zhang, Z.; Zhao, H.; Zhang, Y. Repair Performance of Self-Healing Microcapsule/Epoxy Resin Insulating Composite to Physical Damage. Appl. Sci. 2019, 9, 4098. [Google Scholar] [CrossRef]
- Mirmohammad Sadeghi, S.A.; Borhani, S.; Zadhoush, A.; Dinari, M. Single nozzle electrospinning of encapsulated epoxy and mercaptan in PAN for self-Healing application. Polymer 2020, 186, 122007. [Google Scholar] [CrossRef]
- Cuvellier, A.; Torre-Muruzabal, A.; Van Assche, G.; De Clerck, K.; Rahier, H. Selection of healing agents for a vascular self-Healing application. Polym. Test. 2017, 62, 302–310. [Google Scholar] [CrossRef]
- Hatami Boura, S.; Peikari, M.; Ashrafi, A.; Samadzadeh, M. Self-Healing ability and adhesion strength of capsule embedded coatings—Micro and nano sized capsules containing linseed oil. Prog. Org. Coat. 2012, 75, 292–300. [Google Scholar] [CrossRef]
- Sun, J.; Wang, Y.; Li, N.; Tian, L. Tribological and anticorrosion behavior of self-Healing coating containing nanocapsules. Tribol. Int. 2019, 136, 332–341. [Google Scholar] [CrossRef]
- Nabuurs, T.; Baijards, R.; German, A. Alkyd-Acrylic hybrid systems for use as binders in waterborne paints. Prog. Org. Coat. 1996, 27, 163–172. [Google Scholar] [CrossRef]
- Azimi, A.; Yahya, R.; Gan, S.-N. Investigating effect of conventional and nano zinc pigments on air-drying property of palm-stearin-based alkyd resin paints. Int. J. Polym. Mater. Polym. Biomater. 2013, 62, 199–202. [Google Scholar] [CrossRef]
- Khorasani, S.N.; Ataei, S.; Neisiany, R.E. Microencapsulation of a coconut oil-based alkyd resin into poly (melamine–urea–formaldehyde) as shell for self-healing purposes. Prog. Org. Coat. 2017, 111, 99–106. [Google Scholar] [CrossRef]
- Shahabudin, N.; Yahya, R.; Gan, S. Microcapsules filled with a palm oil-based alkyd as healing agent for epoxy matrix. Polymers 2016, 8, 125. [Google Scholar] [CrossRef]
- Ataei, S.; Khorasani, S.N.; Torkaman, R.; Neisiany, R.E.; Koochaki, M.S. Self-healing performance of an epoxy coating containing microencapsulated alkyd resin based on coconut oil. Prog. Org. Coat. 2018, 120, 160–166. [Google Scholar] [CrossRef]
- Whalen, D.L.; Ross, A.M. Specific effects of chloride ion on epoxide hydrolysis. The pH-dependence of the rates and mechanisms for the hydrolysis of indene oxide. J. Am. Chem. Soc. 1976, 98, 7859–7861. [Google Scholar] [CrossRef]
- Choi, H.; Kim, K.Y.; Park, J.M. Encapsulation of aliphatic amines into nanoparticles for self-Healing corrosion protection of steel sheets. Prog. Org. Coat. 2013, 76, 1316–1324. [Google Scholar] [CrossRef]
- Li, Q.; Mishra, A.K.; Kim, N.H.; Kuila, T.; Lau, K.-T.; Lee, J.H. Effects of processing conditions of poly (methylmethacrylate) encapsulated liquid curing agent on the properties of self-Healing composites. Compos. Part B Eng. 2013, 49, 6–15. [Google Scholar] [CrossRef]
- Zamani, M.; Prabhakaran, M.P.; San Thian, E.; Ramakrishna, S. Protein encapsulated core–Shell structured particles prepared by coaxial electrospraying: Investigation on material and processing variables. Int. J. Pharm. 2014, 473, 134–143. [Google Scholar] [CrossRef] [PubMed]
- Xu, Q.; Qin, H.; Yin, Z.; Hua, J.; Pack, D.W.; Wang, C.-H. Coaxial electrohydrodynamic atomization process for production of polymeric composite microspheres. Chem. Eng. Sci. 2013, 104, 330–346. [Google Scholar] [CrossRef] [PubMed]
- Tapia-Hernández, J.A.; Rodríguez-Félix, F.; Katouzian, I. Nanocapsule formation by electrospraying. In Nanoencapsulation Technologies for the Food and Nutraceutical Industries; Elsevier: Amsterdam, The Netherlands, 2017; pp. 320–345. [Google Scholar]
- Neisiany, R.E.; Lee, J.K.Y.; Khorasani, S.N.; Ramakrishna, S. Towards the development of self-Healing carbon/epoxy composites with improved potential provided by efficient encapsulation of healing agents in core-shell nanofibers. Polym. Test. 2017, 62, 79–87. [Google Scholar] [CrossRef]
- Neisiany, R.E.; Khorasani, S.N.; Lee, J.K.Y.; Ramakrishna, S. Encapsulation of epoxy and amine curing agent in PAN nanofibers by coaxial electrospinning for self-Healing purposes. RSC Adv. 2016, 6, 70056–70063. [Google Scholar] [CrossRef]
- Sundberg, E.J.; Sundberg, D.C. Morphology development for three-component emulsion polymers: Theory and experiments. J. Appl. Polym. Sci. 1993, 47, 1277–1294. [Google Scholar] [CrossRef]
- Torza, S.; Mason, S. Three-Phase interactions in shear and electrical fields. J. Colloid Interface Sci. 1970, 33, 67–83. [Google Scholar] [CrossRef]
- Hobbs, S.; Dekkers, M.; Watkins, V. Effect of interfacial forces on polymer blend morphologies. Polymer 1988, 29, 1598–1602. [Google Scholar] [CrossRef]
- Pollauf, E.J.; Pack, D.W. Use of thermodynamic parameters for design of double-Walled microsphere fabrication methods. Biomaterials 2006, 27, 2898–2906. [Google Scholar] [CrossRef]
- Davoodi, P.; Feng, F.; Xu, Q.; Yan, W.-C.; Tong, Y.W.; Srinivasan, M.; Sharma, V.K.; Wang, C.-H. Coaxial electrohydrodynamic atomization: microparticles for drug delivery applications. J. Control. Release 2015, 205, 70–82. [Google Scholar] [CrossRef]
- Zhang, L.; Huang, J.; Si, T.; Xu, R.X. Coaxial electrospray of microparticles and nanoparticles for biomedical applications. Expert Rev. Med. Devices 2012, 9, 595–612. [Google Scholar] [CrossRef]
- Neisiany, R.E.; Enayati, M.S.; Kazemi-Beydokhti, A.; Das, O.; Ramakrishna, S. Multilayered Bio-Based Electrospun Membranes: A Potential Porous Media for Filtration Applications. Front. Mater. 2020, 7, 67. [Google Scholar] [CrossRef]
- Nguyen, D.N.; Clasen, C.; Van den Mooter, G. Pharmaceutical Applications of Electrospraying. J. Pharm. Sci. 2016, 105, 2601–2620. [Google Scholar] [CrossRef] [PubMed]
- Ho, H.; Lee, J. PEG/PLA core/shell particles from coaxial electrohydrodynamic spray drying. Macromol. Res. 2011, 19, 815–821. [Google Scholar] [CrossRef]
- Jing, Y.; Zhu, Y.; Yang, X.; Shen, J.; Li, C. Ultrasound-Triggered smart drug release from multifunctional core−Shell capsules one-Step fabricated by coaxial electrospray method. Langmuir 2010, 27, 1175–1180. [Google Scholar] [CrossRef]
- Mai, J.; Wang, L. Reaction mechanism of suspension graft copolymerization of styrene and acrylonitrile in the presence of ethylene propylene diene terpolymer. Polym. Chem. 2014, 5, 2118–2129. [Google Scholar] [CrossRef]
- Tan, W.; Radhi, M.; Ab Rahman, M.; Kassim, A. Synthesis and characterization of grafted polystyrene with acrylonitrile using gamma-Irradiation. J. Appl. Sci. 2010, 10, 139–144. [Google Scholar] [CrossRef]
- Huang, M.; Zhang, H.; Yang, J. Synthesis of organic silane microcapsules for self-Healing corrosion resistant polymer coatings. Corros. Sci. 2012, 65, 561–566. [Google Scholar] [CrossRef]
- Mirmohseni, A.; Akbari, M.; Najjar, R.; Hosseini, M. Self-Healing waterborne polyurethane coating by pH-Dependenat triggered-Release mechanism. J. Appl. Polym. Sci. 2019, 136, 47082. [Google Scholar] [CrossRef]
- Li, J.; Hu, Y.; Qiu, H.; Yang, G.; Zheng, S.; Yang, J. Coaxial electrospun fibres with graphene oxide/PAN shells for self-Healing waterborne polyurethane coatings. Prog. Org. Coat. 2019, 131, 227–231. [Google Scholar] [CrossRef]
- Igarashi, S.; Kambe, H. Thermogravimetric analysis of styrene-Acrylonitrile copolymer. Die Makromol. Chem. Macromol. Chem. Phys. 1964, 79, 180–188. [Google Scholar] [CrossRef]
- Zhang, X.-L.; Qiu, L.-F.; Ding, M.-Z.; Hu, N.; Zhang, F.; Zhou, R.-F.; Chen, X.-S.; Kita, H. Preparation of Zeolite T Membranes by a Two-Step Temperature Process for CO2 Separation. Ind. Eng. Chem. Res. 2013, 52, 16364–16374. [Google Scholar] [CrossRef]
- Samadzadeh, M.; Boura, S.H.; Peikari, M.; Ashrafi, A.; Kasiriha, M. Tung oil: An autonomous repairing agent for self-healing epoxy coatings. Prog. Org. Coat. 2011, 70, 383–387. [Google Scholar] [CrossRef]
- Tatiya, P.D.; Hedaoo, R.K.; Mahulikar, P.P.; Gite, V.V. Novel polyurea microcapsules using dendritic functional monomer: synthesis, characterization, and its use in self-Healing and anticorrosive polyurethane coatings. Ind. Eng. Chem. Res. 2013, 52, 1562–1570. [Google Scholar] [CrossRef]
- Torkaman, R.; Darvishi, S.; Jokar, M.; Kharaziha, M.; Karbasi, M. Electrochemical and in vitro bioactivity of nanocomposite gelatin-forsterite coatings on AISI 316 L stainless steel. Prog. Org. Coat. 2017, 103, 40–47. [Google Scholar] [CrossRef]
- Atta, A.M.; El-Azabawy, O.E.; Ismail, H.; Hegazy, M. Novel dispersed magnetite core–shell nanogel polymers as corrosion inhibitors for carbon steel in acidic medium. Corros. Sci. 2011, 53, 1680–1689. [Google Scholar] [CrossRef]
- Koochaki, M.S.; Khorasani, S.N.; Neisiany, R.E.; Ashrafi, A.; Magni, M.; Trasatti, S.P. Facile strategy toward the development of a self-Healing coating by electrospray method. Mater. Res. Express 2019, 6, 116444. [Google Scholar] [CrossRef]










| Material | Surface Tension (mN/m) |
|---|---|
| 5 wt.% SAN solution in an equal ratio of DMF and DCM (shell) | 30.8 |
| CAR (core) | 33.9 |
| The interfacial tension between CAR and the 5% SAN solution (calculated from Equation (4)) | 0.074 |
| Spreading coefficient | 3.02 > 0 |
| Sample Code | Nanocapsules Content (wt.%) | Adhesion Strength (MPa) | Total Bending Elongation (%) |
|---|---|---|---|
| A | 0 | 2.59 | 24.8 |
| B | 1 | 2.11 | 19.8 |
| C | 2 | 2.10 | 19.6 |
| D | 4 | 1.43 | 18.8 |
| Sample Code | Rs (Ω cm2) | CPEcoat-T (sn Ω−1 cm−2) | CPEcoat-p | Rcoat (Ω cm2) | CPEdl-T (sn Ω−1 cm−2) | CPEdl-P | Rcorr (Ω cm2) |
|---|---|---|---|---|---|---|---|
| A | 129.60 | 1.05×10−4 | 5.44×10−1 | 276.2 | 1.03×10−4 | 5.64×10−1 | 6.62×103 |
| B | 353.60 | 6.89×10−6 | 7.92×10−1 | 611 | 1.94×10−5 | 7.38×10−1 | 4.19×104 |
| C | 847.30 | 1.20×10−9 | 9.77×10−1 | 3.77×104 | 4.44×10−7 | 6.32×10−1 | 6.97×105 |
| D | 875.40 | 1.03×10−7 | 5.92×10−1 | 2.69×103 | 1.75×10−6 | 6.97×10−1 | 1.05×105 |
| Sample Code | Rs (Ω cm2) | CPEcoat-T (sn Ω−1 cm−2) | CPEcoat-p | Rcoat (Ω cm2) | CPEdl-T (sn Ω−1 cm−2) | CPEdl-P | Rcorr (Ω cm2) |
|---|---|---|---|---|---|---|---|
| A | 2.43×102 | 1.14×10−9 | 9.04×10−1 | 234.10 | 6.38×10−5 | 5.15×10−1 | 2.05×103 |
| B | 421.20 | 1.63×10−9 | 9.85×10−1 | 476.60 | 2.00×10−5 | 7.51×10−1 | 4.07×104 |
| C | 4.00×103 | 1.45×10−9 | 9.90×10−1 | 2.21×103 | 1.51×10−5 | 6.90×10−1 | 1.01×104 |
| D | 25.61 | 2.95×10−10 | 9.90×10−1 | 227.80 | 6.41×10−5 | 4.97×10−1 | 2.38×103 |
© 2020 by the authors. Licensee MDPI, Basel, Switzerland. This article is an open access article distributed under the terms and conditions of the Creative Commons Attribution (CC BY) license (http://creativecommons.org/licenses/by/4.0/).
Share and Cite
Malekkhouyan, R.; Nouri Khorasani, S.; Esmaeely Neisiany, R.; Torkaman, R.; Koochaki, M.S.; Das, O. Preparation and Characterization of Electrosprayed Nanocapsules Containing Coconut-Oil-Based Alkyd Resin for the Fabrication of Self-Healing Epoxy Coatings. Appl. Sci. 2020, 10, 3171. https://doi.org/10.3390/app10093171
Malekkhouyan R, Nouri Khorasani S, Esmaeely Neisiany R, Torkaman R, Koochaki MS, Das O. Preparation and Characterization of Electrosprayed Nanocapsules Containing Coconut-Oil-Based Alkyd Resin for the Fabrication of Self-Healing Epoxy Coatings. Applied Sciences. 2020; 10(9):3171. https://doi.org/10.3390/app10093171
Chicago/Turabian StyleMalekkhouyan, Roya, Saied Nouri Khorasani, Rasoul Esmaeely Neisiany, Reza Torkaman, Mohammad Sadegh Koochaki, and Oisik Das. 2020. "Preparation and Characterization of Electrosprayed Nanocapsules Containing Coconut-Oil-Based Alkyd Resin for the Fabrication of Self-Healing Epoxy Coatings" Applied Sciences 10, no. 9: 3171. https://doi.org/10.3390/app10093171
APA StyleMalekkhouyan, R., Nouri Khorasani, S., Esmaeely Neisiany, R., Torkaman, R., Koochaki, M. S., & Das, O. (2020). Preparation and Characterization of Electrosprayed Nanocapsules Containing Coconut-Oil-Based Alkyd Resin for the Fabrication of Self-Healing Epoxy Coatings. Applied Sciences, 10(9), 3171. https://doi.org/10.3390/app10093171

