Next Article in Journal
Numerical Estimation of Bonding Force of EPDM Grommet Parts with Hollow Shaft Geometry
Previous Article in Journal
Rational Design of Spinel Oxide Nanocomposites with Tailored Electrochemical Oxygen Evolution and Reduction Reactions for ZincAir Batteries
 
 
Font Type:
Arial Georgia Verdana
Font Size:
Aa Aa Aa
Line Spacing:
Column Width:
Background:
Article

Investigation into Micro-Hardness and Wear Resistance of 316L/SiC Composite Coating in Laser Cladding

1
School of Mechanical and Automotive Engineering, Fujian University of Technology, Fuzhou 350118, China
2
School of Engineering + Technology, Western Carolina University, Cullowhee, NC 28723, USA
*
Author to whom correspondence should be addressed.
Appl. Sci. 2020, 10(9), 3167; https://doi.org/10.3390/app10093167
Submission received: 22 March 2020 / Revised: 23 April 2020 / Accepted: 28 April 2020 / Published: 1 May 2020

Abstract

In order to improve the performance of the cladding layer, this study used the Taguchi orthogonal design to investigate the influence of laser power, scanning speed, gas flow, and SiC powder ratio on the micro-hardness and wear volume of the cladding layer. The results indicate that the SiC powder ratio was the major factor that had the main impact on the micro-hardness and wear volume of the cladding layer. The contribution of SiC powder ratio on the micro-hardness and wear volume are 92.08% and 79.39%, respectively. Through signal to noise ratio conversion and combining grey relational analysis, the multiple objectives optimization was attained. With the target of maximizing the micro-hardness and minimizing the wear volume simultaneously, grey relational analysis was applied to obtain the optimal processing parameters set and predict the corresponding grey relational grade. The error rate was 5.3% between the prediction and experimental validation. This study provides the guidance for optimizing multiple goals at the same time using grey relational analysis about the coating properties deposited by laser cladding in actual industrial applications. It provided theoretical basis for the processing parameters optimization with targeting the micro-hardness and wear resistance.

1. Introduction

Laser cladding is a coating technology, which use the high-energy laser beam irradiating on the substrate surface and powder, causing the powder rapid melting and cooling to form the desired metallic bond coating with the substrate [1,2,3]. Due to the high energy density, high efficiency, outstanding mechanical and physical properties, laser cladding has been widely used on surface restoration to form low dilution rate condensed coating for multiple purposes [4,5]. Composite material coating restoration has been rapidly developed in the recent years [6,7]. The 316L stainless steel powder is widely used in industry because of its low cost, corrosion resistance, and self-fluxing [8]. However, the limitation of 316L also exists due to its low hardness and inadequate wear resistance [9]. With the development of composite material, these limitations could be improved by adding reinforcement particles [10]. SiC particle possesses the advantage of high micro-hardness and wear resistance. Thus, SiC is a favorable reinforcement material used in composite materials [11]. This study focuses on investigating the micro-hardness and wear resistance of the cladding layer manufactured by SiC reinforced 316L stainless steel powder in laser cladding.
Wen et al. found the micro-hardness and corrosion resistance of 316L were effectively improved by conducting the laser cladding in the solution with 3.5 wt% NaCl [12]. Mei et al. studied the selective laser cladding with 316L and Inconel 718. They found the contacting zone between these two materials had different micro-hardness and micro-structure, with pores and cracks [13]. Murkute et al. investigated 316L coating on the AISI 1018 steel substrate, and found the nano-indentation hardness was reduced with the increasing scanning speed [14]. Riquelme et al. deposited Al, Si, Ti and SiC composite coating on ZE41 magnesium alloy. They discovered that the micro-hardness and mechanical property was improved with ratio of alloying elements [15]. Ramakrishnan et al. manufactured SiC reinforced Haynes 282 (HY282) functional gradient super alloy with different SiC composition, structure and property. They found the micro-hardness and wear resistance of the super alloy were significant improved with the increased SiC particles composition [16]. Zhao et al. produced 8.5 vol% SiC/AlSi10 Mg SiC ceramic reinforced Al-based composites by selective laser melting. They addressed that the nano-hardness and elastic modulus in the center and boundary were better than the conventional materials [17].
Regarding multiple objectives optimization, Ma et al. designed a polynomial model of dilution rate and residual stress through response surface methodology. The minimal dilution rate and residual stress was obtained by using the quadratic models as the constraint functions and multi-objective quantum-behaved particle swarm optimization. In the end, the optimal processing parameters were achieved and high entropy alloy coating was produced [18]. Sohrabpoor developed an adaptive neuro-fuzzy inference system (ANFIS), which is capable to model the response based on the processing parameters in the laser powder deposition process. The prediction accuracy was improved by associating the ANFIS with imperialist competitive algorithm [19]. Shi et al. utilized Taguchi orthogonal array (OA) to reduce number of experiments and Technique for Order Preference by Similarity to an Ideal Solution (TOPSIS) to complete multiple objectives optimization in the laser cladding. The improved micro-hardness and wear resistance of the gradient composite coating were predicted and verified by ANOVA method [20].
The current research focus on 316L stainless steel powder laser cladding are primarily concentrated on improving the micro-hardness and wear resistance by adding reinforcement material [21,22,23]. The influence of laser cladding processing parameters and reinforcement composite composition on the micro-hardness and wear volume in the cladding layer was rarely discovered. The performance of the cladding layer determines the successful of restoration. The micro-hardness and wear resistance are important indicators for the performance of cladding layer. This study was carried out with Taguchi orthogonal design for initial experimental runs. After analysis on the processing parameters, optimization and prediction were conducted with grey relational analysis to obtain the maximal micro-hardness and minimal wear volume simultaneously in cladding layer deposited by 316L stainless steel and SiC composite.

2. Materials and Methods

The ASTM-5140 steel was selected as the substrate in this study with the size of 40 mm × 20 mm × 10 mm, in the background of crankshaft restoration in industrial application; its elemental composition was shown in Table 1. The powder used in laser cladding process was the mixture of 316L stainless steel powder and SiC powder produced by Xiangcheng Yuteng Ceramic Product CO., LTD (Zhangzhou, China) with both particle sizes ranging from 48 to 106 μm, which met the requirement for the equipment specifications. Table 1 also shows the elemental composition of the aforementioned two type of cladding powders.
The laser cladding system used in this study was schematically illustrated in Figure 1. Four sub-systems build up the whole system, consisting control system, laser system, chamber system, powder and gas delivery system. The whole system was operated under the PLC control system made by Mitsubishi, Japan. The laser system included YLS-3000 laser generator and SX14-012PULSE laser pulse control produced by IPG Photonics (Burbach, Germany). The generated laser energy was transmitted into the FDH0273 laser cladding nozzle with 300 mm focal length (Lasermech, Novi, MI, USA) to complete the laser cladding process in the chamber system, where the M-710iC/50 industrial robot (FANUC, Yamanashi, Japan) and the TFLW-4000WDR-01-3385 water cooling system (Sanhe Tongfei, Sanhe, China) were equipped. Argon gas was utilized as the carrier and protective gas by the CR-PGF-D-2 powder and gas delivery system (Songxing, Fuzhou, China) during the cladding process.
Before the laser cladding process, the surface of ASTM-5140 steel substrate was cleaned with acetone. In the preparation of the laser cladding powder mixture, the 316L stainless steel powder and SiC powder were mixed in a MITR-YXQM-2L ball mill at a 400 rpm speed for 30 min, and then dried in a vacuum dryer at 80 °C for another 30 min afterwards [24,25]. This study utilized an orthogonal array with five factors and four levels, with one factor as blank. The other four factors were the four processing parameters to be investigated in this study, as shown in Table 2. A full factorial experimental design would require 44 = 256 runs to include all the combinations in the four factors and four levels design. The Taguchi orthogonal design is a method of designing the experiment, which reduces the number of runs versus the full factorial design and obtains the optimal combination through orthogonal matrix [26,27]. Thus, a L16 (44) Taguchi orthogonal design was developed with 16 runs, as shown in Table 3.
The laser cladding process was conducted following the setup in Table 3, one sample was obtained for each run. After the completion, the 16 samples were prepared by linear cutting, grinding, and aqua regia immersing for measurement and testing in latter steps. After the sample preparation, the micro-hardness was tested by a 402TS micro-hardness tester (HDNS, Shanghai, China) with applying 500 g force for 30-s duration. The measurement location was at the subsurface of the clad to guarantee the accuracy, since the incomplete melted material on top surface of the clad, while the bottom layer of the clad was diffused by the Cr and C element from the substrate. The wear resistance was interpreted by the indicator of wear volume. The wear volume was tested by a UMT-2 high load scratch tester (Bruker, Billerica, MA, USA) applying constant reciprocating scratch for 30 min. Then the 3D morphology was obtained for the scratch surface on each sample by white light interferometry. Afterwards, the wear volume was acquired for each sample [24,25]. Table 3 shows the micro-hardness and wear volume for each sample clad manufactured under different processing parameters. For instance, it can be found that the micro-hardness of pure 316L stainless steel coating was in a range of 17.4 HRC to 19.0 HRC, which can be derived from run #1, #9, #12, and #14 (0% SiC powder ratio).
Signal to noise ratio (S/N) is the indicator of the stability in experiments. The conversion from the raw data to S/N reduces the variability in the raw data resulted from the uncontrollable noise factor, where the noise factor lead to unpredictable error on the result. S/N indicates the influence of error on the result by measuring the difference between the expected result value and actual result value [27,28,29]. Therefore, S/N conversion is an applicable tool used for optimization in data analysis [30,31]. According to the purpose of this study: the micro-hardness is expected to be the larger the better, while the wear volume is expected to be the smaller the better, Equation (1) and (2) were used to covert the actual values shown in Table 3 to its corresponding S/N for the micro-hardness and wear volume, respectively. The S/N conversion results for micro-hardness and wear volume are shown in Table 4.
S N = 10 log ( 1 n i = 1 n 1 Y i 2 ) = 10 log ( 1 Y i 2 )
S N = 10 log ( 1 n i = 1 n Y i 2 ) = 10 log ( Y i 2 )
where n is the number of replica for each run, as n = 1 in this study, Equation (1) and (2) are simplified as shown above; Yi (i = 1, 2, 3, …, 16) is the corresponding result in the ith run [32,33,34,35]. Afterwards, analysis of variance (ANOVA) was conducted to investigate the influence of different processing parameters on the micro-hardness and wear volume. The significance level, α was set at 0.05. In the end, grey relational analysis was used in simultaneous multi-objectives optimization to achieve the maximal micro-hardness and minimal wear volume.

3. Results and Discussion

3.1. Analysis of Variance

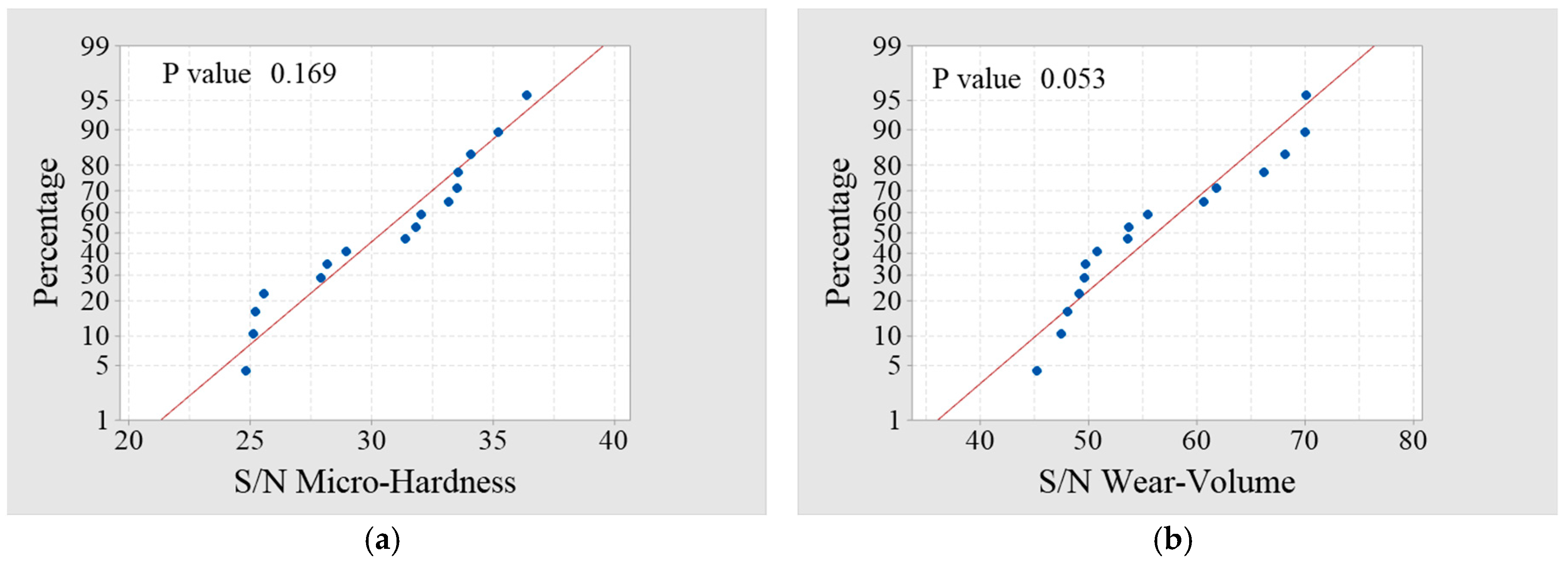
The test for normality is necessary before conducting analysis of variance (ANOVA), since large scale error may occur if the data set is not following normal distribution. The normality test was conducted by Anderson–Darling test in Minitab 17, where normal distribution was indicated when the p-value was larger than 0.05 [36]. From Figure 2 below, the p-values were both larger than 0.05 for the S/N conversion of micro-hardness and wear volume in the Anderson–Darling test. Thus, normal distributions for both responses were verified, and ANOVA was conducted hereafter.

3.1.1. Analysis of Micro-Hardness

The ANOVA analysis on the S/N of micro-hardness is shown in Table 5 below. The p-value for SiC powder ratio was 0.001, which was far less than the significance level 0.05. Therefore, SiC powder ratio had significant influence on the micro-hardness during laser cladding. The contribution of SiC powder ratio was 92.08%, which also indicated the micro-hardness was primarily affected by the SiC powder ratio, while the other processing parameters had negligible impact on the micro-hardness.
Table 6 was obtained by averaging the S/N of micro-hardness in different levels for each factor. Delta represented the difference between the maximum and minimum value for each factor. The rank in the last row was the order by sorting the categorical delta value from largest to smallest. The main effects plot for S/N of micro-hardness was generated by plotting the mean values in Table 6 for each factor, shown in Figure 3. The grey dash line was plotted as a reference line standing for the overall mean value for all the 16 samples. It was evident that the SiC powder ratio had the most significant impact on the micro-hardness, which was consistent with the ANOVA result in Table 5. The increase of SiC powder ratio brought a significant increase of micro-hardness. Since a larger SiC powder ratio indicated increased more SiC particles in the composite powder mixture were delivered for laser cladding, the amount of Si and C element decomposed from SiC in the molten pool was thus increased. Compounds were formed between the decomposed Si and C elements with the Fe and Cr elements from 316L stainless steel powder, which refined the grain and increased the micro-hardness [16,37,38].

3.1.2. Analysis of Wear Volume

Similarly, Table 7 shows the ANOVA result on S/N of wear volume. The 0.014 p-value and 79.39% contribution from SiC powder ratio indicated its significant influence on wear volume during laser cladding process with 316L/SiC powder mixture, while the other processing parameters presented minimal impact.
Table 8 and Figure 4 exhibit the S/N of wear volume increased with the increasing SiC powder ratio. Since the S/N of wear volume was converted using Equation (2), in which the wear volume was expected to be the smaller the better, the S/N of wear volume was negatively correlated with the actual wear volume. In Figure 4, the increasing SiC powder ratio resulted in the increasing S/N of wear volume, which in fact represented the decreasing of the actual wear volume on the clad. It is generally accepted that the wear resistance is related to the hardness of material [39]. According to Archard wear equation, the wear volume is negatively related to hardness [40]. Because of the larger SiC powder ratio promoted a larger micro-hardness, which improved the capability of the clad in resisting deformation by reducing the actual contact and rubbing area during scratching. Hence, the wear volume was decreased.

3.2. Multi-Objective Optimization Based on Grey Relational Analysis

While ANOVA on the Taguchi orthogonal experimental design is suitable for single objective optimization, but it is ineffective in multi-objective optimization [41]. Julong Deng developed the grey relational analysis to complete the multi-objective optimization [42,43]. By combining the Taguchi orthogonal experimental design with grey relational analysis, analysis on the influence of multiple factors (all the processing parameters) and multi-objective optimization (maximize micro-hardness and minimize wear volume) are effectively able to accomplish at the same time [44].
The process of completing the multi-objective optimization in this study is summarized in three steps [45,46]. Step One is data normalization on the S/N of micro-hardness and S/N of wear volume. The data after normalization will range from 0 to 1, regardless of its original unit and data range. Equations (3) and (4) below were used to conduct the data normalization for the data set of S/N of micro-hardness and S/N of wear volume,
X i ( SNMH ) = Y i ( SNMH ) minY i ( SNMH ) maxY i ( SNMH ) minY i ( SNMH )
X i ( SNWV ) = Y i ( SNWV ) minY i ( SNWV ) maxY i ( SNWV ) minY i ( SNWV )
where X i represents the corresponding value after data normalization; Y i stands for the corresponding original results; i is the ith experimental run (i = 1, 2, 3, …, 16); SNMH stands for S/N of micro-hardness, and SNWV stands for S/N of wear volume; minY i and maxY i represent the minimum and maximum value of corresponding Y i .
Step Two is grey relational coefficient calculation using Equations (5) and (6) for the data set of S/N of micro-hardness and S/N of wear volume,
GRC i ( SNMH ) = min Δ i ( SNMH ) + ξ max Δ i ( SNMH ) Δ i ( SNMH ) + ξ max Δ i ( SNMH )
GRC i ( SNWV ) = min Δ i ( SNWV ) + ξ max Δ i ( SNWV ) Δ i ( SNWV ) + ξ max Δ i ( SNWV )
where GRC i stands for the grey relational coefficient (GRC) for the corresponding objectives in the ith run; Δ i is the corresponding deviation between the normalized value and the reference value 1, which is obtained by equation Δ i ( SNMH ) = | 1 X i ( SNMH ) | and Δ i ( SNWV ) = | 1 X i ( SNWV ) | ; min Δ i and max Δ i represent the corresponding minimum and maximum value of Δ i ; ξ is the distinguishing coefficient with the range ξ [ 0 , 1 ] . Because of the moderate distinguishing effect and stability, usually 0.5 is selected for the value of ξ [47]. The result of normalization and grey relational coefficient for each run are shown in Table 9.
The last step is calculating the grey relational grade (GRG). The goal of this study is improving the micro-hardness of the clad layer, while reducing the wear volume at the same time, so that the high performance clad layer could be obtained. Therefore, equivalent weight factor was assigned to both objectives and the GRG calculation was conducted using Equation (7),
GRG i = GRC i ( SNMH ) + GRC i ( SNWV ) 2
where GRGi is the grey relational grade for the ith run. After all the GRGs for the 16 runs were derived, S/N conversion was conducted using Equation (1) and the converted values were sorted from largest to smallest as the rank in last column in Table 10. A larger GRG and its corresponding S/N GRG indicate attaining the preferable micro-hardness and wear volume concurrently. Thus, the best experiment setup in the L16 Taguchi orthogonal design was the 6th run, which consisted a laser power of 1400 W, scanning speed of 7 mm/s, gas flow of 1500 L/h, and SiC powder ratio of 30%.
Figure 5 shows the Anderson–Darling test for normality on the S/N of GRG, its p-value is larger than 0.05. Thus, the normal distribution hypothesis is accepted. The ANOVA result is showing in Table 11 below. From the p-value of each processing parameters, it can conclude that laser power, scanning speed and SiC powder ratio had significant influence on the grey relational grade, when larger micro-hardness and less wear volume were desired concurrently. Gas flow displayed statistically insignificant based on its p-value.
The average of S/N GRG for each of the four processing parameters in their four different levels were shown in Table 12. Delta stands for the absolute difference between maximum and minimum for each factor. From the sorting rank (largest to smallest), it can conclude that the influence on GRG was following the order of SiC powder ratio, scanning speed, laser power, then gas flow as the last. The maximum value in each category provided the possible optimal set point to achieve the desired GRG, which was LPlevel 4, SSlevel 1, GFlevel 2, PRlevel 4, referring to 1800 W laser power, 6 mm/s scanning speed, 1100 L/h gas flow, and 30 % SiC powder ratio. Since this set of processing parameters is not in the original L16 Taguchi orthogonal design setup, experimental validation is necessary to verify this prediction.

3.3. Experimental Validation on the Predicted Optimal Setting

Equation (8) was used to predict the GRG before the validation experiment conducting under the aforementioned processing parameters:
GRG prediction = GRG total ¯ + j = 1 q ( GRG j ¯ GRG total ¯ )
where GRG prediction is the predicted GRG; GRG total ¯ stands for the mean of total GRG; q is the total number of processing parameters, which is four in this study; GRG j ¯ is the average GRG value at the desired level for the jth processing parameter. After calculation, the predicted GRG at the desired level of processing parameters is found to be 1.
Afterwards, the validation experiment was conducted under the predicted optimal set point. The derived micro-hardness, wear volume and GRG are shown in Table 13. Compared to the best experiment setup in the original L16 Taguchi orthogonal design (6th run), the micro-hardness was improved from 66.3 HRC to 68.9 HRC, which was 3.92% improvement. Similarly, the wear volume was reduced from 0.0003904 mm3 to 0.0003121 mm3, which was 25.09% improvement. The error rate between predicted GRG and experimental validated GRG was 5.3%. This result indicates the processing parameter set obtained from grey relation analysis bring the improvement on both responses of micro-hardness and wear resistance. In addition, the prediction of grey relation grade also displays favorable accuracy.

4. Conclusions

This paper used the Taguchi orthogonal experiment design, investigated the influence of laser power, scanning speed, gas flow, and SiC powder ratio on the micro-hardness and wear volume in the cladding layer. Based on the signal to noise ratio conversion, this study applied grey relational analysis to achieve the optimization on multiple objectives simultaneously. The predicted processing parameters set was verified through experimental validation. Conclusions are addressed as follows:
  • The analysis on the micro-hardness alone indicates it was primarily affected by the SiC powder ratio, while other processing parameters were shown to be statistically insignificant. The micro-hardness of cladding layer was improved with the increasing SiC powder ratio.
  • The analysis on the wear volume by itself also shows the primarily influence from the SiC powder ratio, while other processing parameters were statistically insignificant. The wear volume of cladding layer was reduced with the increasing SiC powder ratio.
  • The contribution of SiC powder ratio on the micro-hardness and wear volume in their corresponding ANOVA was 92.08% and 79.39%, respectively. This indicates that the micro-hardness and wear volume were primarily affected by SiC powder ratio and other processing parameters had a negligible impact.
  • Grey relational analysis was applied to achieve the objective of maximizing micro-hardness while minimizing wear volume simultaneously. The processing parameters set fulfilling this target was 1800 W laser power, 6 mm/s scanning speed, 110 L/h gas flow, and 30% SiC powder ratio.
  • The grey relational grade was predicted and then experimentally validated in the multi-objectives grey relational analysis. The error rate was 5.3% between predicted value and actual value. It validates the applicability of applying grey relational analysis on multi-objectives optimization.

Author Contributions

Methodology, G.L. and C.Z.; experiment, C.Z.; analysis, G.L., C.Z., Y.Z., M.F., and J.J.; writing—original draft preparation, G.L. and C.Z.; writing—review and editing, G.L. and Y.Z.; supervision, G.L. and Y.Z. All authors have read and agreed to the published version of the manuscript.

Funding

This research was funded by the National Natural Science Foundation of China (Grant No. 51575110), and the Fujian Provincial Education and Research Program for Young and Middle-Aged Teachers (Grant No. JAT190407).

Acknowledgments

The authors gratefully acknowledge the support from the Public Service Platform for Technical Innovation of Machine Tool Industry in Fujian Province at Fujian University of Technology.

Conflicts of Interest

The authors declare no conflicts of interest.

References

  1. Gao, W.; Chang, C.; Li, G.; Xue, Y.; Wang, J.; Zhang, Z.; Lin, X. Study on the laser cladding of FeCrNi coating. Optik 2019, 178, 950–957. [Google Scholar] [CrossRef]
  2. Roy, T.; Abrahams, R.; Paradowska, A.; Lai, Q.; Mutton, P.; Soodi, M.; Fasihi, P.; Yan, W. Evaluation of the mechanical properties of laser cladded hypereutectoid steel rails. Wear 2019, 432, 202930. [Google Scholar] [CrossRef]
  3. Huang, H.; Sun, W.; Huang, Y.; Yu, J. Properties of Curved Parts Laser Cladding Based on Controlling Spot Size. Appl. Sci. 2020, 10, 728. [Google Scholar] [CrossRef]
  4. Alam, M.K.; Urbanic, J.; Nazemi, N.; Edrisy, A. Predictive modeling and the effect of process parameters on the hardness and bead characteristics for laser-cladded stainless steel. Int. J. Adv. Manuf. Technol. 2017, 94, 397–413. [Google Scholar] [CrossRef]
  5. Zhou, S.; Xu, Y.; Liao, B.; Sun, Y.; Dai, X.; Yang, J.; Li, Z. Effect of laser remelting on microstructure and properties of WC reinforced Fe-based amorphous composite coatings by laser cladding. Opt. Laser Technol. 2018, 103, 8–16. [Google Scholar] [CrossRef]
  6. Zhu, Y.; Yang, Y.; Mu, X.; Wang, W.; Yao, Z.; Yang, H. Study on wear and RCF performance of repaired damage railway wheels: Assessing laser cladding to repair local defects on wheels. Wear 2019, 430, 126–136. [Google Scholar] [CrossRef]
  7. Liu, D.; Zhao, J.; Li, Y.; Zhu, W.; Lin, L. Effects of Boron Content on Microstructure and Wear Properties of FeCoCrNiBx High-Entropy Alloy Coating by Laser Cladding. Appl. Sci. 2019, 10, 49. [Google Scholar] [CrossRef]
  8. He, B.; Zhang, L.; Zhu, Q.; Wang, J.; Yun, X.; Luo, J.; Chen, Z. Effect of solution treated 316L layer fabricated by laser cladding on wear and corrosive wear resistance. Opt. Laser Technol. 2020, 121, 105788. [Google Scholar] [CrossRef]
  9. Sun, G.F.; Shen, X.; Wang, Z.; Zhan, M.; Yao, S.; Zhou, R.; Ni, Z. Laser metal deposition as repair technology for 316L stainless steel: Influence of feeding powder compositions on microstructure and mechanical properties. Opt. Laser Technol. 2019, 109, 71–83. [Google Scholar] [CrossRef]
  10. Li, C.; Zhang, Q.; Wang, F.; Deng, P.; Lu, Q.; Zhang, Y.; Li, S.; Ma, P.; Li, W.; Wang, Y. Microstructure and wear behaviors of WC-Ni coatings fabricated by laser cladding under high frequency micro-vibration. Appl. Surf. Sci. 2019, 485, 513–519. [Google Scholar] [CrossRef]
  11. Javadhesari, S.M.; Alipour, S.; Akbarpour, M. Microstructural characterization and enhanced hardness, wear and antibacterial properties of a powder metallurgy SiC/Ti-Cu nanocomposite as a potential material for biomedical applications. Ceram. Int. 2019, 45, 10603–10611. [Google Scholar] [CrossRef]
  12. Wen, X.; Jin, G.; Cui, X.; Feng, X.; Lu, B.; Cai, Z.; Zhao, Y.; Fang, Y. Underwater wet laser cladding on 316L stainless steel: A protective material assisted method. Opt. Laser Technol. 2019, 111, 814–824. [Google Scholar] [CrossRef]
  13. Mei, X.; Wang, X.; Peng, Y.; Gu, H.; Zhong, G.; Yang, S. Interfacial characterization and mechanical properties of 316L stainless steel/inconel 718 manufactured by selective laser melting. Mater. Sci. Eng. A 2019, 758, 185–191. [Google Scholar] [CrossRef]
  14. Murkute, P.; Pasebani, S.; Isgor, O.B. Production of corrosion-resistant 316L stainless steel clads on carbon steel using powder bed fusion-selective laser melting. J. Mater. Process. Technol. 2019, 273, 116243. [Google Scholar] [CrossRef]
  15. Riquelme, A.; Rodrigo, P.; Escalera-Rodríguez, M.D.; Rams, J. Characterisation and mechanical properties of Al/SiC metal matrix composite coatings formed on ZE41 magnesium alloys by laser cladding. Results Phys. 2019, 13, 102160. [Google Scholar] [CrossRef]
  16. Ramakrishnan, A.; Dinda, G.P. Functionally graded metal matrix composite of Haynes 282 and SiC fabricated by laser metal deposition. Mater. Des. 2019, 179, 107877. [Google Scholar] [CrossRef]
  17. Zhao, X.; Gu, D.; Ma, C.; Xi, L.; Zhang, H. Microstructure characteristics and its formation mechanism of selective laser melting SiC reinforced Al-based composites. Vacuum 2019, 160, 189–196. [Google Scholar] [CrossRef]
  18. Ma, M.; Xiong, W.; Lian, Y.; Han, D.; Zhao, C.; Zhang, J. Modeling and optimization for laser cladding via multi-objective quantum-behaved particle swarm optimization algorithm. Surf. Coatings Technol. 2020, 381, 125129. [Google Scholar] [CrossRef]
  19. Sohrabpoor, H. Analysis of laser powder deposition parameters: ANFIS modeling and ICA optimization. Optik 2016, 127, 4031–4038. [Google Scholar] [CrossRef]
  20. Shi, Y.; Li, Y.; Liu, J.; Yuan, Z. Investigation on the parameter optimization and performance of laser cladding a gradient composite coating by a mixed powder of Co50 and Ni/WC on 20CrMnTi low carbon alloy steel. Opt. Laser Technol. 2018, 99, 256–270. [Google Scholar] [CrossRef]
  21. Zhao, S.; Shen, X.; Yang, J.; Teng, W.; Wang, Y. Densification behavior and mechanical properties of nanocrystalline TiC reinforced 316L stainless steel composite parts fabricated by selective laser melting. Opt. Laser Technol. 2018, 103, 239–250. [Google Scholar] [CrossRef]
  22. Salman, O.; Gammer, C.; Eckert, J.; Salih, M.; Abdulsalam, E.; Prashanth, K.; Scudino, S. Selective laser melting of 316L stainless steel: Influence of TiB2 addition on microstructure and mechanical properties. Mater. Today Commun. 2019, 21, 100615. [Google Scholar] [CrossRef]
  23. Wang, K.; Chang, B.; Chen, J.; Fu, H.; Lin, Y.; Lei, Y. Effect of Molybdenum on the Microstructures and Properties of Stainless Steel Coatings by Laser Cladding. Appl. Sci. 2017, 7, 1065. [Google Scholar] [CrossRef]
  24. Lian, G.; Zhang, H.; Zhang, Y.; Yao, M.; Huang, X.; Chen, C. Computational and Experimental Investigation of Micro-Hardness and Wear Resistance of Ni-Based Alloy and TiC Composite Coating Obtained by Laser Cladding. Materials 2019, 12, 793. [Google Scholar] [CrossRef] [PubMed]
  25. Lian, G.; Zhao, C.; Zhang, Y.; Huang, X.; Chen, C.; Jiang, J. Investigation of Micro-Hardness, Wear Resistance, and Defects of 316L Stainless Steel and TiC Composite Coating Fabricated by Laser Engineered Net Shaping. Coatings 2019, 9, 498. [Google Scholar] [CrossRef]
  26. Terzioğlu, H. Analysis of effect factors on thermoelectric generator using Taguchi method. Measurement 2020, 149, 106992. [Google Scholar] [CrossRef]
  27. Lian, G.; Zhang, H.; Zhang, Y.; Tanaka, M.L.; Chen, C.; Jiang, J. Optimizing Processing Parameters for Multi-Track Laser Cladding Utilizing Multi-Response Grey Relational Analysis. Coatings 2019, 9, 356. [Google Scholar] [CrossRef]
  28. Ilo, S.; Just, C.; Xhiku, F. Optimisation of multiple quality characteristics of hardfacing using grey-based Taguchi method. Mater. Des. 2012, 33, 459–468. [Google Scholar] [CrossRef]
  29. Kumar, S.R.; Kulkarni, S.K. Analysis of Hard Machining of Titanium Alloy by Taguchi Method. Mater. Today Proc. 2017, 4, 10729–10738. [Google Scholar] [CrossRef]
  30. Vempati, S.R.; Raju, K.B.; Subbaiah, K.V. Optimization of Welding Parameters of Ti 6al 4v Cruciform shape Weld joint to Improve Weld Strength Based on Taguchi Method. Mater. Today Proc. 2018, 5, 4948–4957. [Google Scholar] [CrossRef]
  31. Naik, A.B.; Reddy, A.C. Optimization of tensile strength in TIG welding using the Taguchi method and analysis of variance (ANOVA). Therm. Sci. Eng. Prog. 2018, 8, 327–339. [Google Scholar] [CrossRef]
  32. Arıcı, E.; Keleştemur, O. Optimization of mortars containing steel scale using Taguchi based grey relational analysis method. Constr. Build. Mater. 2019, 214, 232–241. [Google Scholar] [CrossRef]
  33. Derdour, F.Z.; Kezzar, M.; Khochemane, L.; Khochmane, L. Optimization of penetration rate in rotary percussive drilling using two techniques: Taguchi analysis and response surface methodology (RMS). Powder Technol. 2018, 339, 846–853. [Google Scholar] [CrossRef]
  34. Ghalme, S.; Mankar, A.; Bhalerao, Y. Integrated Taguchi-simulated annealing (SA) approach for analyzing wear behaviour of silicon nitride. J. Appl. Res. Technol. 2017, 15, 624–632. [Google Scholar] [CrossRef]
  35. Li, Y.; Zhu, L. Optimization of user experience in mobile application design by using a fuzzy analytic-network-process-based Taguchi method. Appl. Soft Comput. 2019, 79, 268–282. [Google Scholar] [CrossRef]
  36. Das, A.; Patel, S.; Biswal, B.; Sahoo, N.; Pradhan, A. Performance evaluation of various cutting fluids using MQL technique in hard turning of AISI 4340 alloy steel. Measurement 2020, 150, 107079. [Google Scholar] [CrossRef]
  37. Hulka, I.; Utu, D.; Serban, V.; Negrea, P.; Lukáč, F.; Chráska, T. Effect of Ti addition on microstructure and corrosion properties of laser cladded WC-Co/NiCrBSi(Ti) coatings. Appl. Surf. Sci. 2020, 504, 144349. [Google Scholar] [CrossRef]
  38. Geng, Y.; Lin, X.; Li, J.; Fan, S.; Ju, H.; Yu, L.; Xu, J.; Wang, Y. Super-high hardness of (Fe,Co)-B-Si-Zr/Hf bulk glassy alloys. J. Alloy. Compd. 2018, 753, 351–355. [Google Scholar] [CrossRef]
  39. Zambrano, O.A.; Gómez, J.; Coronado, J.; Rodríguez, S. The sliding wear behaviour of steels with the same hardness. Wear 2019, 418, 201–207. [Google Scholar] [CrossRef]
  40. Archard, J.F. Contact and Rubbing of Flat Surfaces. J. Appl. Phys. 1953, 24, 981. [Google Scholar] [CrossRef]
  41. Yu, T.; Yang, L.; Zhao, Y.; Sun, J.; Li, B. Experimental research and multi-response multi-parameter optimization of laser cladding Fe313. Opt. Laser Technol. 2018, 108, 321–332. [Google Scholar] [CrossRef]
  42. Deng, J. Control problems of grey systems. Syst. Control Lett. 1982, 1, 288–294. [Google Scholar]
  43. Deng, J. Introduction to grey system theory. J. Grey Syst. 1989, 1, 1–24. [Google Scholar]
  44. Mia, M.; Rifat, A.; Tanvir, F.; Gupta, M.K.; Hossain, J.; Goswami, A.; Dip, F.T. Multi-objective optimization of chip-tool interaction parameters using Grey-Taguchi method in MQL-assisted turning. Measurement 2018, 129, 156–166. [Google Scholar] [CrossRef]
  45. Dodo, R.; Ause, T.; Dauda, E.; Shehu, U.; Popoola, A. Multi-response optimization of transesterification parameters of mahogany seed oil using grey relational analysis in Taguchi method for quenching application. Heliyon 2019, 5, e02167. [Google Scholar] [CrossRef] [PubMed]
  46. Bademlioglu, A.; Canbolat, A.; Kaynakli, O. Multi-objective optimization of parameters affecting Organic Rankine Cycle performance characteristics with Taguchi-Grey Relational Analysis. Renew. Sustain. Energy Rev. 2020, 117, 109483. [Google Scholar] [CrossRef]
  47. Prakash, B.; Raju, K.B.; Subbaiah, K.V.; Krishnamachary, P.; Manikandan, N.; Ramya, V. Application of Taguchi based Grey Method for Multi Aspects Optimization on CNC Turning of AlSi7 Mg. Mater. Today Proc. 2018, 5, 14292–14301. [Google Scholar] [CrossRef]
Figure 1. Laser cladding system schematic illustration.
Figure 1. Laser cladding system schematic illustration.
Applsci 10 03167 g001
Figure 2. Test for normality regarding (a) S/N of micro-hardness; (b) S/N of wear volume.
Figure 2. Test for normality regarding (a) S/N of micro-hardness; (b) S/N of wear volume.
Applsci 10 03167 g002
Figure 3. Main effects plot for the S/N of micro-hardness.
Figure 3. Main effects plot for the S/N of micro-hardness.
Applsci 10 03167 g003
Figure 4. Main effects plot for the S/N of wear volume.
Figure 4. Main effects plot for the S/N of wear volume.
Applsci 10 03167 g004
Figure 5. Test for normality on S/N of grey relational grade (GRG).
Figure 5. Test for normality on S/N of grey relational grade (GRG).
Applsci 10 03167 g005
Table 1. Elemental composition (wt. %) of W6Mo5Cr4V2 high-speed steel powder.
Table 1. Elemental composition (wt. %) of W6Mo5Cr4V2 high-speed steel powder.
MaterialElement (wt. %)
CSiONiCrNbSiCNFe
ASTM-51400.37–0.440.17–0.37-≤0.300.80–1.10---Rest
316L0.0310.110–1416–18--0.1Rest
SiC-----0.05Rest-0.02
Table 2. Orthogonal experimental design for four factors and four levels.
Table 2. Orthogonal experimental design for four factors and four levels.
Processing ParameterNotationUnitLevels
1234
Laser PowerLPW1200140016001800
Scanning SpeedSSmm/s6789
Gas FlowGFL/h900110013001500
SiC Powder RatioPR%0102030
Table 3. L16 (44) Taguchi orthogonal experimental design and results.
Table 3. L16 (44) Taguchi orthogonal experimental design and results.
RunLase Power (W)Scanning Speed (mm/s)Gas Flow (L/h)Powder Ratio (%)Micro-Hardness (HRC)Wear Volume (mm3)
1140091100019.0 0.0042296
2140089001024.9 0.0034816
31200813002039.1 0.0020500
41400715002050.6 0.0016755
5160099002040.0 0.0009220
61400613003066.3 0.0003904
71600615001037.1 0.0020868
81800611002047.4 0.0003091
9160071300018.0 0.0032789
101200915003045.7 0.0008109
111200711001025.6 0.0028956
12180081500017.4 0.0032958
13180079003047.8 0.0003133
1412006900018.2 0.0054664
151600811003057.9 0.0004863
161800913001028.0 0.0039519
Table 4. Signal to noise ratio (S/N) conversion results for micro-hardness and wear volume.
Table 4. Signal to noise ratio (S/N) conversion results for micro-hardness and wear volume.
RunMicro-Hardness (HRC)S/N of Micro-Hardness (dB)Wear Volume (mm3)S/N of Wear Volume (dB)
119.0 25.575 0.0042296 47.474
224.9 27.924 0.0034816 49.164
339.1 31.844 0.0020500 53.765
450.6 34.083 0.0016755 55.517
540.0 32.041 0.0009220 60.705
666.3 36.430 0.0003904 68.170
737.1 31.387 0.0020868 53.610
847.4 33.516 0.0003091 70.198
918.0 25.105 0.0032789 49.685
1045.7 33.198 0.0008109 61.821
1125.6 28.165 0.0028956 50.765
1217.4 24.811 0.0032958 49.641
1347.8 33.589 0.0003133 70.081
1418.2 25.201 0.0054664 45.246
1557.9 35.254 0.0004863 66.262
1628.0 28.943 0.0039519 48.064
Table 5. ANOVA analysis on S/N of micro-hardness.
Table 5. ANOVA analysis on S/N of micro-hardness.
SourceDFSeq SSAdj SSAdj MSF ValueContributep Value
LP35.3075.3791.76902.822.31%0.209
SS37.7967.7872.59884.143.39%0.137
GF33.2163.2101.07191.711.40%0.335
PR3211.550212.00670.5167112.3692.08%0.001
Error31.8831.8730.6276 0.82%
Total15229.752 100%
Table 6. Average S/N of micro-hardness for each factor in different levels.
Table 6. Average S/N of micro-hardness for each factor in different levels.
LevelLaser PowerScanning SpeedGas FlowPowder Ratio
129.6031.6329.6925.17
231.0130.2430.6229.11
330.9529.9630.5832.87
430.2129.9430.8734.62
Δ1.411.691.189.46
Rank3241
Table 7. ANOVA analysis on S/N of wear volume.
Table 7. ANOVA analysis on S/N of wear volume.
SourceDFSeq SSAdj SSAdj MSF ValueContributep Value
LP399.4433.157.7692.638.84%0.224
SS359.1719.727.5531.575.26%0.360
GF335.4511.820.4660.943.15%0.520
PR3893.12297.71293.14023.6679.39%0.014
Error337.7512.586.549 3.36%
Total151124.92 100%
Table 8. Average S/N of wear volume for each factor in different levels.
Table 8. Average S/N of wear volume for each factor in different levels.
LevelLaser PowerScanning SpeedGas FlowPowder Ratio
154.5257.4455.9248.01
256.3757.4256.5950.62
357.7856.3356.5560.87
457.0354.5256.6566.20
Δ3.262.920.7418.19
Rank2341
Table 9. Normalization and grey relational coefficient for the data set.
Table 9. Normalization and grey relational coefficient for the data set.
RunNormalizationGrey Relational Coefficient
S/N of Micro-HardnessS/N of Wear VolumeS/N of Micro-HardnessS/N of Wear Volume
10.068966 0.092000 0.349398 0.355114
20.267241 0.160000 0.405594 0.373134
30.612069 0.344000 0.563107 0.432526
40.801724 0.412000 0.716049 0.459559
50.620690 0.620000 0.568627 0.568182
61.000000 0.920000 1.000000 0.862069
70.568966 0.336000 0.537037 0.429553
80.750000 1.000000 0.666667 1.000000
90.025862 0.180000 0.339181 0.378788
100.724138 0.664000 0.644444 0.598086
110.293103 0.224000 0.414286 0.391850
120.000000 0.176000 0.333333 0.377644
130.758621 0.996000 0.674419 0.992063
140.034483 0.000000 0.341176 0.333333
150.905172 0.844000 0.840580 0.762195
160.353448 0.116000 0.436090 0.361272
Table 10. Grey relational grade and the corresponding S/N conversion.
Table 10. Grey relational grade and the corresponding S/N conversion.
RunGRGS/N of GRGRank
10.352256−9.06284215
20.389364−8.19287612
30.497816−6.0586168
40.587804−4.6153486
50.568405−4.9068487
60.931034−0.6206851
70.483295−6.3157519
80.833333−1.5836252
90.358985−8.89848413
100.621265−4.1344585
110.403068−7.89244210
120.355488−8.98349114
130.833241−1.5845873
140.337255−9.44083516
150.801387−1.9231504
160.398681−7.98749011
Table 11. ANOVA analysis on S/N of GRG.
Table 11. ANOVA analysis on S/N of GRG.
SourceDFSeq SSAdj SSAdj MSF ValueContributep Value
LP37.4587.4582.486122.655.28%0.015
SS39.9009.9003.299930.067.01%0.010
GF32.2792.2790.75976.921.61%0.073
PR3121.248121.24840.4161368.1985.86%<0.001
Error30.3290.3290.1098 0.23%
Total15141.215 100%
Table 12. Average S/N of GRG for each factor in different levels.
Table 12. Average S/N of GRG for each factor in different levels.
LevelLaser PowerScanning SpeedGas FlowPowder Ratio
1−6.882−4.490−6.031−9.096
2−5.623−5.748−5.116−7.597
3−5.511−6.290−5.891−4.291
4−5.035−6.523−6.012−2.066
Δ1.8472.0330.9167.031
Rank3241
Table 13. Experimental validation result and comparison.
Table 13. Experimental validation result and comparison.
Variables/ResponsesInput/Output6th Run in L16 DesignOptimal Set PredictionValidation
Processing ParametersLaser Power (W)140018001800
Scanning Speed (mm/s)766
Gas Flow (L/h)150011001100
SiC Powder Ratio (%)303030
OutcomesMicro-Hardness (HRC)66.3-68.9
Wear Volume (mm3)0.0003904-0.0003121
GRG0.93103410.949887

Share and Cite

MDPI and ACS Style

Lian, G.; Zhao, C.; Zhang, Y.; Feng, M.; Jiang, J. Investigation into Micro-Hardness and Wear Resistance of 316L/SiC Composite Coating in Laser Cladding. Appl. Sci. 2020, 10, 3167. https://doi.org/10.3390/app10093167

AMA Style

Lian G, Zhao C, Zhang Y, Feng M, Jiang J. Investigation into Micro-Hardness and Wear Resistance of 316L/SiC Composite Coating in Laser Cladding. Applied Sciences. 2020; 10(9):3167. https://doi.org/10.3390/app10093167

Chicago/Turabian Style

Lian, Guofu, Chenmin Zhao, Yang Zhang, Meiyan Feng, and Jibin Jiang. 2020. "Investigation into Micro-Hardness and Wear Resistance of 316L/SiC Composite Coating in Laser Cladding" Applied Sciences 10, no. 9: 3167. https://doi.org/10.3390/app10093167

APA Style

Lian, G., Zhao, C., Zhang, Y., Feng, M., & Jiang, J. (2020). Investigation into Micro-Hardness and Wear Resistance of 316L/SiC Composite Coating in Laser Cladding. Applied Sciences, 10(9), 3167. https://doi.org/10.3390/app10093167

Note that from the first issue of 2016, this journal uses article numbers instead of page numbers. See further details here.

Article Metrics

Back to TopTop