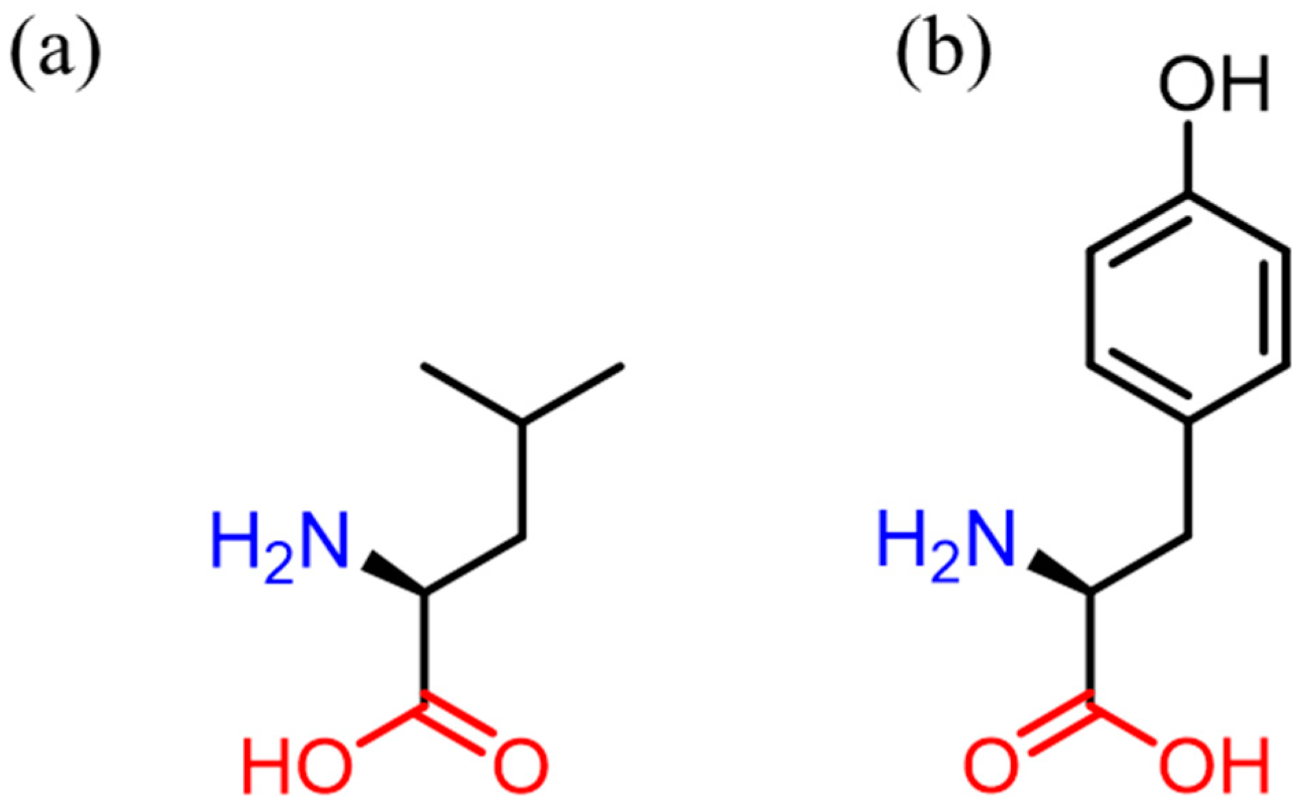
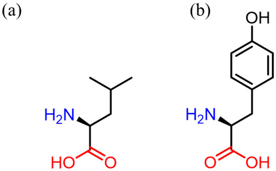
Confirmation of Initial Stable Adsorption Structures of Leucine and Tyrosine Adsorbed on a Cu(110) Surface
Abstract
1. Introduction
2. Materials and Methods
3. Results
4. Conclusions
Author Contributions
Funding
Acknowledgments
Conflicts of Interest
References
- Bent, S.F. Organic Functionalization of Group IV Semiconductor Surfaces: Principles, Examples, Applications, and Prospects. Surf. Sci. 2002, 500, 879–903. [Google Scholar] [CrossRef]
- Loscutoff, P.W.; Bent, S.F. Reactivity of the Germanium Surface: Chemical Passivation and Functionalization. Annu. Rev. Phys. Chem. 2006, 57, 467–495. [Google Scholar] [CrossRef] [PubMed]
- Hamers, R.J. Formation and Characterization of Organic Monolayers on Semiconductor Surfaces. Annu. Rev. Anal. Chem. 2008, 1, 707–736. [Google Scholar] [CrossRef] [PubMed]
- Whaley, S.R.; English, D.S.; Hu, E.L.; Barbara, P.F.; Belcher, A.M. Selection of peptides with semiconductor binding specificity for directed nanocrystal assembly. Nature 2000, 405, 665–668. [Google Scholar] [CrossRef]
- Goede, K.; Busch, P.; Grundmann, M. Binding Specificity of a Peptide on Semiconductor Surfaces. Nano Lett. 2004, 4, 2115–2120. [Google Scholar] [CrossRef]
- Schiffrin, A.; Riemann, A.; Auwarter, W.; Pennec, Y.; Iber-Bargioni, A.; Cvetko, D.; Cossaro, A.; Morgante, A.; Barth, J.V. Zwitterionic self-assembly of L-methionine nanogratings on the Ag(111) surface. Proc. Natl. Acad. Sci. USA 2007, 104, 5279–5284. [Google Scholar] [CrossRef]
- Leftwich, T.; Teplyakov, A.V. Chemical manipulation of multifunctional hydrocarbons on silicon surfaces. Surf. Sci. Rep. 2007, 63, 1–71. [Google Scholar] [CrossRef]
- Barlow, S.M.; Raval, R. Complex organic molecules at metal surfaces: Bonding, organisation and chirality. Surf. Sci. Rep. 2003, 50, 201–341. [Google Scholar] [CrossRef]
- Crivillers, N.; Osella, S.; Van Dyck, C.; Lazzerini, G.M.; Cornil, D.; Liscio, A.; Di Stasio, F.; Mian, S.; Fenwick, O.; Reinders, F.; et al. Large Work Function Shift of Gold Induced by a Novel Perfluorinated Azobenzene-Based Self-Assembled Monolayer. Adv. Mater. 2013, 25, 432–436. [Google Scholar] [CrossRef]
- Lee, H.; Youn, Y.-S.; Kim, S. Coverage Dependence of the Adsorption Structure of Alanine on Ge(100). Langmuir 2009, 25, 12574–12577. [Google Scholar] [CrossRef]
- Yang, S.; Kim, Y.; Park, S.; Kim, K.-j.; Lee, H. Coverage Dependent Variation of Adsorption Configurations of Methionine on Ge(100). Chem. Asian J. 2011, 6, 2362–2367. [Google Scholar] [CrossRef] [PubMed]
- Lim, H.; Yang, S.; Lee, M.; Kim, S.; Lee, H. Variation of Adsorption Geometries by the Influence of Nucleophilicity among p-CPA, p-TPA, and p-NPA on Ge(100) Surfaces. Chem. Phys. Lett. 2013, 578, 162–166. [Google Scholar] [CrossRef]
- Yang, S.; Lim, H.; Park, E.H.; Kim, Y.; Min, Y.H.; Lee, H.-S.; Kim, S.; Lee, H. Comparison and Contrast Analysis of Adsorption Geometries of Phenylalanine versus Tyrosine on Ge(100): The Effect of Nucleophilic Group on the Surface. J. Phys. Chem. C 2012, 116, 25840–25845. [Google Scholar] [CrossRef]
- Antonio, L.; Barbosa, M.M.; Sautet, P. Stability of Chiral Domains Produced by Adsorption of Tartaric Acid Isomers on the Cu(110) Surface: A Periodic Density Functional Theory Study. J. Am. Chem. Soc. 2001, 123, 6639–6648. [Google Scholar]
- Schreier, F. The Voigt and complex error function: A comparison of computational methods. J. Quant. Spectros. Radiat. Transf. 1992, 48, 743–762. [Google Scholar] [CrossRef]
- Lee, C.; Yang, W.; Parr, R.G. Development of the Colle-Salvetti correlation-energy formula into a functional of the electron density. Phys. Rev. B 1988, 37, 785. [Google Scholar] [CrossRef]
- Hay, P.J.; Wadt, W.R. Ab initio effective core potentials for molecular calculations. Potentials for K to Au including the outermost core orbitals. J. Chem. Phys. 1985, 82, 299. [Google Scholar] [CrossRef]
- Williams, J.; Haq, S.; Raval, R. The bonding and orientation of the amino acid L-alanine on Cu (110) determined by RAIRS. Surf. Sci. 1996, 368, 303–309. [Google Scholar] [CrossRef]
- Park, S.; Yang, S.; Shin, N.; Lee, E.; Lee, H. Adsorption Configuration for Cysteine on Ge(100): Coverage Dependent Surface Reorientation. J. Phys. Chem. C 2010, 114, 14528–14531. [Google Scholar] [CrossRef]
- Yang, S.; Kim, Y.; Park, S.; Lim, H.; Lee, H. Adsorption Configuration of Serine on Ge(100): Competition between the Hydroxymethyl and Carboxyl groups of Serine During the Adsorption Reaction. J. Phys. Chem. C 2011, 115, 9131–9135. [Google Scholar] [CrossRef]
- Guo, H.; Chrysostomou, D.; FloIrs, J.; Zaera, F. Effect of Coadsorbed Oxygen on the Chemistry of Ammonia over Ni(110) Single-Crystal Surfaces. J. Phys. Chem. B 2003, 107, 502–511. [Google Scholar] [CrossRef]
- Bernardo, C.G.P.M.; Gomes, J.A.N.F. The adsorption of ethylene on the (110) surfaces of copper, silver and platinum: A DFT study. J. Mol. Struct. 2002, 582, 159–169. [Google Scholar] [CrossRef]
- Yang, S.; Park, Y.; Kim, J.W.; Lee, H. Variation of Coverage-Dependent Attachment of Multifunctional Groups in Alanine and Leucine to the Ge(100)-2x1 Surface: Bonding Configuration and Adsorption Stability. J. Phys. Chem. C 2011, 115, 19287–19292. [Google Scholar] [CrossRef]




© 2020 by the authors. Licensee MDPI, Basel, Switzerland. This article is an open access article distributed under the terms and conditions of the Creative Commons Attribution (CC BY) license (http://creativecommons.org/licenses/by/4.0/).
Share and Cite
Lee, H.; Kim, H.S. Confirmation of Initial Stable Adsorption Structures of Leucine and Tyrosine Adsorbed on a Cu(110) Surface. Appl. Sci. 2020, 10, 1284. https://doi.org/10.3390/app10041284
Lee H, Kim HS. Confirmation of Initial Stable Adsorption Structures of Leucine and Tyrosine Adsorbed on a Cu(110) Surface. Applied Sciences. 2020; 10(4):1284. https://doi.org/10.3390/app10041284
Chicago/Turabian StyleLee, Hangil, and Hyun Sung Kim. 2020. "Confirmation of Initial Stable Adsorption Structures of Leucine and Tyrosine Adsorbed on a Cu(110) Surface" Applied Sciences 10, no. 4: 1284. https://doi.org/10.3390/app10041284
APA StyleLee, H., & Kim, H. S. (2020). Confirmation of Initial Stable Adsorption Structures of Leucine and Tyrosine Adsorbed on a Cu(110) Surface. Applied Sciences, 10(4), 1284. https://doi.org/10.3390/app10041284