Performance of Solar Absorption-Subcooled Compression Hybrid Cooling System for Different Flow Rates of Hot Water
Abstract
1. Introduction
2. Description of SASCHCS
3. Model
3.1. Thermodynamic Model
- The operation of the hybrid system is considered as a quasi-static state.
- The components of absorption subsystem and compression one are adiabatic.
- The working fluids at the exit of evaporator and condenser in the compression subsystem are saturated.
- There is no pressure loss in both the heat exchanger and pipeline.
- The top layer temperature in the storage tank is equal to the generator inlet temperature.
- The bottom layer temperature in the storage tank is equal to the collector inlet temperature.
3.2. Validation of Model
3.3. Case Study
4. Results and Discussion
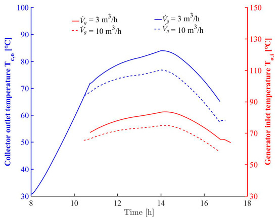
4.1. Effect of Hot Water Flow Rate
4.2. Optimization of Hot Water Flow Rate
5. Conclusions
- (1)
- The useful heat of collectors is beneficial for the increase of the collector flow rate due to the enhancement of heat transfer. Simultaneously, the improvement of amount in solar heat slightly increases the hot water temperature of generators and the consequent rise of COP in absorption subsystems. Therefore, the daily energy saving goes up by 21% based on the August data when the collector flow rate enhances from 1 m3/h to 10 m3/h. It is noteworthy that such growth becomes tiny for the collector flow rate exceeding 4 m3/h.
- (2)
- Despite the increase of generator hot water flow rate decreasing the COP of absorption subsystems owing to the higher generator consumption, such drawback is offset by the enhanced amount of solar heat through the improvement of collector efficiency. Consequently, the daily energy saving grows by 37.5% based on the August data as the flow rate of generator hot water goes up to 10 m3/h. Similarly, it is displayed that the energy saving enhances slightly for the generator hot water flow rate that reaches 6 m3/h.
- (3)
- The optimal flow rate of hot water is derived based on the trade-off of energy saving and consumption in water pumps. It is exhibited that the optimal collector and generator flow rate are 3.6 m3/h (13.33 kg/(h m2)) and 5.2 m3/h (19.26 kg/(h m2)), respectively, for the annual operation. The generator hot water flow rate to the collector one approaches 1.44 in the optimal case. Moreover, the peak annual specific energy saving of SASCHCS is 32.73 kW h/m2.
Author Contributions
Funding
Conflicts of Interest
Nomenclature
| A | area (m2) | V | specific volume of storage tank (m3) |
| Ac | the outer surface area of absorber tube (m2) | collector hot water flow rate (m3/h) | |
| Cb | synthetical conductance (W/(m °C)) | generator hot water flow rate (m3/h) | |
| CB | bond conductance (W/(m °C)) | W | the circumferential distance between the U-tubes (m) |
| cp | specific heat (kJ/(kg °C)) | ||
| d | diameter of the U-tube (m) | temperature difference (°C) | |
| D | diameter of insulation (m) | ||
| E | compressor work (kWh) | double difference of temperatures (°C) | |
| F | fin efficiency of straight fin | ||
| F’ | collector efficient factor | Greek symbols | |
| FR | heat removal factor | absorptivity, distribution UA parameter | |
| h | heat transfer coefficient (W/(m °C)), specific enthalpy (kJ/kg) | efficiency | |
| thermal conductivity (W/m °C) | |||
| hg-a | convection heat transfer coefficient (W/(m2 °C)) | pi | |
| hp-g,r | radiation heat transfer coefficient (W/(m2 °C)) | density (kg/m3) | |
| transmissivity | |||
| hp-g,c | conduction heat transfer coefficient (W/(m2 °C)) | Subscripts | |
| a | ambient | ||
| I | solar irradiance (W/m2) | as | absorption subsystem |
| LMTD | logarithmic mean temperature difference (°C) | c | collector |
| chi | chiller | ||
| LT | length of the header pipe per one U-tube (m) | dis | discharge |
| e | evaporator | ||
| m | mass flow rate (kg/s) | ext | external |
| Q | heat load (kW) | f | fluid |
| s | tot thermal conductance of the installed UA (kW/°C) | g | generator |
| i | inlet, current time | ||
| t | time | ins | insulation |
| T | temperature (°C) | int | internal |
| UA | product of heat transfer coefficient and area (W/°C) | loss | loss |
| min | minimum | ||
| Ue | edge loss coefficient (W/(m2 °C)) | o | outlet |
| rated | rated | ||
| UL | overall heat loss coefficient (W/(m2 °C)) | ref | reference |
| s | isentropic | ||
| save | save | ||
| Ut | heat loss coefficient from absorber tube to ambient W/(m2 °C) | suc | suction |
| st | storage tank | ||
References
- Mohammed, O.W.; Yanling, G. Comprehensive parametric study of a solar absorption refrigeration system to lower its cut in/off temperature. Energies 2017, 10, 1746. [Google Scholar] [CrossRef]
- Liu, Y.L.; Wang, R.Z. Performance prediction of a solar/gas driving double effect LiBr–H2O absorption system. Renew. Energy 2004, 29, 1677–1695. [Google Scholar] [CrossRef]
- Allouhi, A.; Kousksou, T.; Jamil, A.; Bruel, P.; Mourad, Y.; Zeraouli, Y. Solar driven cooling systems: An updated review. Renew. Sustain. Energy Rev. 2015, 44, 159–181. [Google Scholar] [CrossRef]
- Eicker, U.; Pietruschka, D. Design and performance of solar powered absorption cooling systems in office buildings. Energy Build. 2009, 41, 81–91. [Google Scholar] [CrossRef]
- Noro, M.; Lazzarin, R.M. Solar cooling between thermal and photovoltaic: An energy and economic comparative study in the Mediterranean conditions. Energy 2014, 73, 453–464. [Google Scholar] [CrossRef]
- Jain, V.; Sachdeva, G.; Kachhwaha, S.S. Energy, exergy, economic and environmental (4E) analyses based comparative performance study and optimization of vapor compression-absorption integrated refrigeration system. Energy 2015, 91, 816–832. [Google Scholar] [CrossRef]
- Shirazi, A.; Taylor, R.A.; White, S.D.; Morrison, G.L. Transient simulation and parametric study of solar-assisted heating and cooling absorption systems: An energetic, economic and environmental (3E) assessment. Renew. Energy 2016, 86, 955–971. [Google Scholar] [CrossRef]
- Li, Z.; Liu, L.; Jing, Y. Exergoeconomic analysis of solar absorption-subcooled compression hybrid cooling system. Energy Convers. Manag. 2017, 144, 205–216. [Google Scholar] [CrossRef]
- Xu, Y.; Jiang, N.; Wang, Q.; Chen, G. Comparative study on the energy performance of two different absorption-compression refrigeration cycles driven by low-grade heat. Appl. Therm. Eng. 2016, 106, 33–41. [Google Scholar] [CrossRef]
- Yu, J.; Li, Z.; Chen, E.; Xu, Y.; Chen, H.; Wang, L. Experimental assessment of solar absorption-subcooled compression hybrid cooling system. Sol. Energy 2019, 185, 245–254. [Google Scholar] [CrossRef]
- Li, Z.; Liu, L. Economic and environmental study of solar absorption-subcooled compression hybrid cooling system. Int. J. Sustain. Energy 2018, 38, 123–140. [Google Scholar] [CrossRef]
- Jing, Y.; Li, Z.; Chen, H.; Lu, S.; Lv, S. Exergoeconomic design criterion of solar absorption-subcooled compression hybrid cooling system based on the variable working conditions. Energy Convers. Manag. 2019, 180, 889–903. [Google Scholar] [CrossRef]
- Qu, M.; Yin, H.; Archer, D.H. A solar thermal cooling and heating system for a building: Experimental and model based performance analysis and design. Sol. Energy 2010, 84, 166–182. [Google Scholar] [CrossRef]
- Ratlamwala, T.A.H.; Abid, M. Performance analysis of solar assisted multi-effect absorption cooling systems using nanofluids: A comparative analysis. Int. J. Energy Res. 2018, 42, 2901–2915. [Google Scholar] [CrossRef]
- Ghoneim, A.A. Performance optimization of evacuated tube collector for solar cooling of a house in hot climate. Int. J. Sustain. Energy 2016, 37, 193–208. [Google Scholar] [CrossRef]
- Al-Alili, A.; Islam, M.D.; Kubo, I.; Hwang, Y.; Radermacher, R. Modeling of a solar powered absorption cycle for Abu Dhabi. Appl. Energy 2012, 93, 160–167. [Google Scholar] [CrossRef]
- Mazloumi, M.; Naghashzadegan, M.; Javaherdeh, K. Simulation of solar lithium bromide–water absorption cooling system with parabolic trough collector. Energy Convers. Manag. 2008, 49, 2820–2832. [Google Scholar] [CrossRef]
- Agrouaz, Y.; Bouhal, T.; Allouhi, A.; Kousksou, T.; Jamil, A.; Zeraouli, Y. Energy and parametric analysis of solar absorption cooling systems in various Moroccan climates. Case Stud. Therm. Eng. 2017, 9, 28–39. [Google Scholar] [CrossRef]
- Sokhansefat, T.; Mohammadi, D.; Kasaeian, A.; Mahmoudi, A.R. Simulation and parametric study of a 5-ton solar absorption cooling system in Tehran. Energy Convers. Manag. 2017, 148, 339–351. [Google Scholar] [CrossRef]
- Iranmanesh, A.; Mehrabian, M.A. Optimization of a lithium bromide–water solar absorption cooling system with evacuated tube collectors using the genetic algorithm. Energy Build. 2014, 85, 427–435. [Google Scholar] [CrossRef]
- Tzivanidis, C.; Bellos, E. The use of parabolic trough collectors for solar cooling—A case study for Athens climate. Case Stud. Therm. Eng. 2016, 8, 403–413. [Google Scholar] [CrossRef]
- Li, Z.; Chen, E.; Jing, Y.; Lv, S. Thermodynamic relationship of subcooling power and increase of cooling output in vapour compression chiller. Energy Convers. Manag. 2017, 149, 254–262. [Google Scholar] [CrossRef]
- Chen, E.; Li, Z.; Yu, J.; Xu, Y.; Yu, Y. Experimental research of increased cooling output by dedicated subcooling. Appl. Therm. Eng. 2019, 154, 9–17. [Google Scholar] [CrossRef]
- Buonomano, A.; Calise, F.; Palombo, A. Solar heating and cooling systems by absorption and adsorption chillers driven by stationary and concentrating photovoltaic/thermal solar collectors: Modelling and simulation. Renew. Sustain. Energy Rev. 2018, 82, 1874–1908. [Google Scholar] [CrossRef]
- Ma, L.; Lu, Z.; Zhang, J.; Liang, R. Thermal performance analysis of the glass evacuated tube solar collector with U-tube. Build. Environ. 2010, 45, 1959–1967. [Google Scholar] [CrossRef]
- Li, Z.; Yu, J.; Chen, E.; Jing, Y. Off-design modeling and simulation of solar absorption-subcooled compression hybrid cooling system. Appl. Sci. 2018, 8, 2612. [Google Scholar] [CrossRef]
- Miao, D. Simulation Model of a Single-Stage Lithium Bromide-Water Absorption Unit; NASA Technical Paper; NASA: Columbia, DC, USA, 1978; p. 1296.
- Puig-Arnavat, M.; López-Villada, J.; Bruno, J.C.; Coronas, A. Analysis and parameter identification for characteristic equations of single- and double-effect absorption chillers by means of multivariable regression. Int. J. Refrig. 2010, 33, 70–78. [Google Scholar] [CrossRef]
- Tchinda, R. Thermal behaviour of solar air heater with compound parabolic concentrator. Energy Convers. Manag. 2008, 49, 529–540. [Google Scholar] [CrossRef]
- De ST-. Available online: http://update.dest.com.cn/ (accessed on 12 December 2018).
- Li, Z.; Ye, X.; Liu, J. Performance analysis of solar air cooled double effect LiBr/H2O absorption cooling system in subtropical city. Energy Convers. Manag. 2014, 85, 302–312. [Google Scholar] [CrossRef]
- Refprop9-. Available online: http://www.nist.gov/srd/nist23.cfm (accessed on 12 December 2018).
- Nienborg, B.; Dalibard, A.; Schnabel, L.; Eicker, U. Approaches for the optimized control of solar thermally driven cooling systems. Appl. Energy 2017, 185, 732–744. [Google Scholar] [CrossRef]











| (Tc,i − Ta)/I | Model | Experimental | Relative Error |
|---|---|---|---|
| 0 | 0.68 | 0.69 | 1.4% |
| 0.01 | 0.64 | 0.66 | 3.0% |
| 0.02 | 0.61 | 0.62 | 1.6% |
| 0.03 | 0.58 | 0.60 | 3.3% |
| 0.04 | 0.55 | 0.57 | 3.5% |
| 0.05 | 0.51 | 0.52 | 1.9% |
| 0.06 | 0.48 | 0.50 | 4.0% |
| 0.07 | 0.45 | 0.48 | 6.3% |
| 0.08 | 0.41 | 0.42 | 2.4% |
| Parameters | Unit | Value | |
|---|---|---|---|
| ETC | |||
| Aperture area of ETC | m2 | 270 | |
| Absorber tube | Outer diameter | m | 0.037 |
| Thickness | m | 0.0012 | |
| Glass tube | Outer diameter | m | 0.047 |
| Thickness | m | 0.0012 | |
| Outer diameter of U-tube | m | 0.008 | |
| Thickness of air layer | m | 0.001 | |
| Thickness of copper fin | m | 0.0006 | |
| Length of the header pipe per one U-tube | m | 1.2 | |
| Titled angle | 20 | ||
| Storage tank | |||
| Aspect ratio | 3.5 | ||
| Heat loss coefficient | W/(m2 °C) | 0.83 | |
| Volume of storage tank | m3 | 2.7 | |
| Absorption subsystem | |||
| Nominal cooling capacity | kW | 45 | |
| Cooling water flow rate in condenser 1/absorber/subcooler | m3/h | 8/9/10.5 | |
| Inlet temperature of cooling water | °C | 32 | |
| Compression subsystem | |||
| Nominal cooling capacity | kW | 500 | |
| Cooling water flow rate in condenser 2 | m3/h | 98.1 | |
| Inlet/outlet temperature of chilled water | °C | 12/7 | |
| Inlet temperature of cooling water | °C | 32 | |
| Isentropic efficiency of compressor | % | 0.7 | |
© 2020 by the authors. Licensee MDPI, Basel, Switzerland. This article is an open access article distributed under the terms and conditions of the Creative Commons Attribution (CC BY) license (http://creativecommons.org/licenses/by/4.0/).
Share and Cite
Zhang, J.; Li, Z.; Jing, Y.; Xu, Y. Performance of Solar Absorption-Subcooled Compression Hybrid Cooling System for Different Flow Rates of Hot Water. Appl. Sci. 2020, 10, 810. https://doi.org/10.3390/app10030810
Zhang J, Li Z, Jing Y, Xu Y. Performance of Solar Absorption-Subcooled Compression Hybrid Cooling System for Different Flow Rates of Hot Water. Applied Sciences. 2020; 10(3):810. https://doi.org/10.3390/app10030810
Chicago/Turabian StyleZhang, Jinfang, Zeyu Li, Yue Jing, and Yongrui Xu. 2020. "Performance of Solar Absorption-Subcooled Compression Hybrid Cooling System for Different Flow Rates of Hot Water" Applied Sciences 10, no. 3: 810. https://doi.org/10.3390/app10030810
APA StyleZhang, J., Li, Z., Jing, Y., & Xu, Y. (2020). Performance of Solar Absorption-Subcooled Compression Hybrid Cooling System for Different Flow Rates of Hot Water. Applied Sciences, 10(3), 810. https://doi.org/10.3390/app10030810

