Design and Experimental Evaluation of Innovative Wire-to-Plane Fins’ Configuration for Atmosphere Corona-Discharge Cooling Devices
Abstract
1. Introduction
2. General Considerations
2.1. Electrohydrodynamic Fundamental Equations
2.2. Heat-Transfer Equations
3. Materials and Methods
3.1. Innovative Geometrical Configuration and Design Parameters
3.2. Experimental Procedure: Electrical and Thermal Measurements
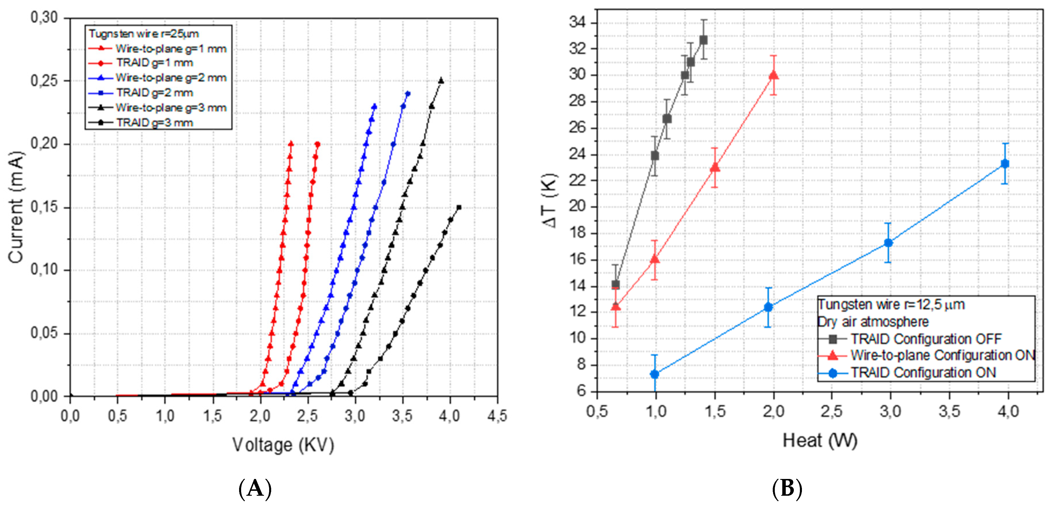
4. Results and Discussion
4.1. Dielectric Barrier Effect
4.2. ξ Determination
4.3. Electrode Radius Effect
4.4. Effect of Inter-Electrode Separating
4.5. Global Results and Refrigeration Devices’ Comparison
5. Conclusions and Future Directions
Author Contributions
Funding
Acknowledgments
Conflicts of Interest
References
- Johnson, M.J.; Go, D.B. Recent advances in electrohydrodynamic pumps operated by ionic winds: A review. Plasma. Sources Sci. Technol. 2017, 26, 103002. [Google Scholar] [CrossRef]
- Zouzou, N.; Dramane, B.; Moreau, E.; Touchard, G. EHD Flow and Collection Efficiency of a DBD ESP in Wire-to-Plane and Plane-to-Plane Configurations. IEEE Trans. Ind. Appl. 2010, 47, 336–343. [Google Scholar] [CrossRef]
- Johnson, M.J.; Go, D.B. Piezoelectric transformers for low-voltage generation of gas discharges and ionic winds in atmospheric air. J. Appl. Phys. 2015, 118, 243304. [Google Scholar] [CrossRef]
- Ait Said, H.; Nouri, H.; Zebboudj, Y. Analysis of current-voltage characteristics in the wires-to-planes geometry during corona discharge. Eur. Phys. J. Appl. Phys. 2014, 67, 30802. [Google Scholar] [CrossRef]
- Conesa, A.J.; Sánchez, M.; León, M.; Cabrera, A. Some geometrical and electrical aspects on the wire-to-cylinder corona discharge. J. Electrost. 2019, 100, 103355. [Google Scholar] [CrossRef]
- Zhao, P.; Portugal, S.; Roy, S. Efficient needle plasma actuators for flow control and surface cooling. Appl. Phys. Lett. 2015, 107, 33501. [Google Scholar] [CrossRef]
- Kaci, M.; Said, H.A.; Laifaoui, A.; Aissou, M.; Nouri, H.; Zebboudj, Y. Investigation on the Corona Discharge in Blade-to-Plane Electrode Configuration. Braz. J. Phys. 2015, 45, 643–655. [Google Scholar] [CrossRef]
- Drews, A.M.; Cademartiri, L.; Whitesides, G.M.; Bishop, K.J. Electric winds driven by time oscillating corona discharges. J. Appl. Phys. 2013, 114, 143302. [Google Scholar] [CrossRef]
- Fylladitakis, E.D.; Moronis, A.X.; Kiousis, K.N. Experimental evaluation of a needle-to-grid EHD pump prototype for semiconductor cooling applications. Int. J. Circuits Syst. Signal Process. 2014, 8, 337–342. [Google Scholar]
- Seth, A.; Lee, L. The effect of an electric field in the presence of noncondensable gas on film condensation heat transfer. J. Heat Transf. 1970, 92, 616–620. [Google Scholar] [CrossRef]
- Choi, H. Electrohydrodynamic condensation heat transfer. J. Heat Transf. 1968, 90, 257–258. [Google Scholar] [CrossRef]
- Chapman, R.; Holmes, E. Condensation of Freon-114 in the presence of a strong nonuniform, alternating electric field. J. Heat Transf. 1970, 92, 616–620. [Google Scholar]
- Seyed-Yagoobi, J.; Feng, Y. Mechanism of Annular Two-Phase Flow Heat Transfer Enhancement and Pressure Drop Penalty in the Presence of a Radial Electric Field-Turbulence Analysis. J. Heat Transf. 2003, 125, 478–486. [Google Scholar]
- Moss, R.A.; Grey, J. Heat Transfer Augmentation by Steady and Alternating Electric Fields; Stanford University Press: Santa Clara, CA, USA, 1966; pp. 210–255. [Google Scholar]
- Bologa, M.K.; Grosu, F.P. The influence of electric fields on heatexchange processes in gases. Appl. Electr. Phenom. 1968, 5, 350–356. [Google Scholar]
- Elagin, I.A.; Yakovlev, V.V.; Ashikhmin, I.A.; Stishkov Yu, K. Experimental investigatio of cooling of a plate by ionic wind from a corona-forming wire electrode. Technol. Phys. 2016, 61, 1214–1219. [Google Scholar] [CrossRef]
- Wang, H.C.; Jewell-Larsen, N.E.; Mamishev, A.V. Thermal management of microelectronics with electrostatic fluid accelerators. Appl. Therm. Eng. 2013, 51, 190–211. [Google Scholar] [CrossRef]
- Go, D.B.; Maturana, R.A.; Fisher, T.S.; Garimella, S.V. Enhancement of External Forced Convection by Ionic Wind. Int. J. Heat Mass Transf. 2008, 51, 6047–6053. [Google Scholar] [CrossRef]
- Grimes, R.; Walsh, P.; Walsh, E.; Egan, V. The Effects of Diameter and Rotational Speed on the Aerodynamic Performance of Low-Profile Miniature Radial Flow Fans. In Proceedings of the ASME 2007 5th International Conference on Nanochannels, Microchannels, and Minichannels, Puebla, Mexico, 18–20 June 2007. [Google Scholar]
- Rodgers, P.; Eveloy, V.; Pecht, M.G. Limits of air-cooling: Status and challenges. Semiconductor Thermal Measurement and Management Symposium. In Proceedings of the 2005 IEEE Twenty First Annual IEEE, San Jose, CA, USA, 15–17 March 2005. [Google Scholar]
- Day, S.W.; Lemire, P.P.; Flack, R.D.; McDaniel, J.C. Effect of Reynolds Number on Performance of a Small Centrifugal Pump. In Proceedings of the ASME/JSME 2003 4th Joint Fluids Summer Engineering Conference, Honolulu, HI, USA, 6 July 2003. [Google Scholar]
- Cabeo, N. Philosophia Magnetica; Francesco Suzzi: Ferrara, Italy; Cologne, Germany, 1629. [Google Scholar]
- Newton, I. Optics; Printed for Sam, Smith, Benj. Watford; Printers to the Royal Society: London, UK, 1718. [Google Scholar]
- Faraday, F. Experimental Researches in Electricity; Faraday: Carlsbad, CA, USA, 1834. [Google Scholar]
- Maxwell, J.C. Treatise in Electricity and Magnetism; Oxford University Press: Oxford, UK, 1873. [Google Scholar]
- Wilson, B. Treatise on Electricity; C. Corbet: Washington, DC, USA, 1750. [Google Scholar]
- Robinson, M. Movement of air in the electric wind of the corona discharge. Am. Inst. Electr. Eng. Part Commun. Electron. 1961, 80, 2. [Google Scholar] [CrossRef]
- Kalman, H.; Sher, E. Enhancement of heat transfer by means of a corona wind created by a wire electrode and confined wings assembly. Appl. Therm. Eng. 2001, 21, 265–282. [Google Scholar] [CrossRef]
- Rashkovan, A.; Sher, E.; Kalman, H. Experimental optimization of an electric blower by corona wind. Appl. Therm. Eng. 2002, 22, 1587–1599. [Google Scholar] [CrossRef]
- Ramadhan, A.A.; Kapur, N.; Summers, J.L.; Thompson, H.M. Numerical analysis and optimization of miniature electrohydrodynamic air blowers. IEEE Trans. Plasma Sci. 2017, 45, 3007. [Google Scholar] [CrossRef]
- Ramadhan, A.A.; Kapur, N.; Summers, J.L.; Thompson, H.M. Performance and flow characteristics of miniature EHD air blowers for thermal management applications. J. Electroestatic 2018, 93, 31–42. [Google Scholar] [CrossRef]
- Jewell-Larsen, N.E.; Ran, H.; Zhang, Y.; Schwiebert, M.; Tessera, K.H.; Mamishev, A. Electrohydrodynamic (EHD) cooled laptop. Semiconductor Thermal Measurement and Management Symposium. SEMI-THERM 2009. In Proceedings of the 25th Annual IEEE, San Jose, CA, USA, 15–19 March 2009. [Google Scholar]
- Jewell-Larsen, N.E.; Joseph, G.G.; Honer, K.A. Scaling Laws for Electrohydrodynamic Air Movers. In Proceedings of theASME/JSME 2011 8th Thermal Engineering Joint Conference, American Society of Mechanical Engineers, Honolulu, HI, USA, 13–17 March 2011. [Google Scholar]
- Puago, H. Disipador de Calor Electro-Hidro-Dinámico. Spanish Patent No. P20183032, 10 March 2018. [Google Scholar]
- Belarbi, A.A.; Beriache, M.; Bettahar, A. Experimental study of aero-thermal heat sink performances subjected to impinging air flow. Int. J. Heat Technol. 2018, 36, 4. [Google Scholar] [CrossRef]
- Ford, S.; Despeisse, M. Additive manufacturing and sustainability: An exploratory study of the advantages and challenges. J. Clean. Prod. 2016, 137, 1573–1587. [Google Scholar] [CrossRef]
- Peek, F.W. Dielectric Phenomena in High Voltage Engineering; McGraw-Hill: New York, NY, USA, 1929. [Google Scholar]
- Tirumala, R.; Li, Y.; Pohlman, D.A.; Go, D.B. Corona discharges in sub-millimeter electrode gaps. J. Electrost. 2011, 69, 36–42. [Google Scholar] [CrossRef]
- Goldman, A.; Sigmond, R.S. Corona Corrosion of Aluminum in Air. J. Electrochem. Soc. 1985, 132, 12. [Google Scholar] [CrossRef]
- Le Ny, R. Evolution des Electrodes sous L’ Effect de la Dêcharge Couronne. Ph.D. Thesis, Université de Nantes, Nantes, France, 1981. [Google Scholar]










| Parameter | Value |
|---|---|
| Applied voltage, Ve | 0 to 6 kV, DC |
| Corona wire diameter, dc | 25, 50, 100 µm |
| Electrode gap, g | 1, 1.5, 2, 2.5, 3 |
| Internal channel width, C | 8 mm |
| Fins/Channel height, H | 6 mm |
| Thickness of dielectric barriers, t | 1 mm |
| Dielectric barrier separation, s | 2 mm |
| Dielectric barrier height, b | 3 mm |
| Channel length, w (=corona wire and grounded collector length) | 50 mm |
| Total width of the prototype device, a | 28 mm |
| Material | Wolfram, 7076 Aluminum alloy |
| Gap 1.5 mm | Gap 2 mm | Gap 2.5 mm | |
|---|---|---|---|
| diameter 25 um | 0.01 | 0.014 | 0.016 |
| diameter 50 um | 0.02 | 0.025 | 0.034 |
| diameter 100 um | 0.027 | 0.03 | 0.04 |
| Volume(cm3) | Mass(g) | Thermal Resistance (K/W) | Heat Transfer per Unit of Volume (W/L·K) | Heat Transfer per Unit of Mass (W/Kg·K) | |
|---|---|---|---|---|---|
| Heat Sink 1 | 5 52.5 = 62.5 | 47 | 10 | 1.6 | 2.13 |
| Heat Sink 2 | 531.5 = 22.5 | 20 | 14 | 3.17 | 3.57 |
| Heat Sink + Fan | 555 = 125 | 88 | 1.2 | 6.67 | 9.47 |
| TRAID | 531 = 15 | 17 | 3.5 | 19.05 | 16.8 |
© 2020 by the authors. Licensee MDPI, Basel, Switzerland. This article is an open access article distributed under the terms and conditions of the Creative Commons Attribution (CC BY) license (http://creativecommons.org/licenses/by/4.0/).
Share and Cite
Cogollo, M.; M. Balsalobre, P.; Díaz Lantada, A.; Puago, H. Design and Experimental Evaluation of Innovative Wire-to-Plane Fins’ Configuration for Atmosphere Corona-Discharge Cooling Devices. Appl. Sci. 2020, 10, 1010. https://doi.org/10.3390/app10031010
Cogollo M, M. Balsalobre P, Díaz Lantada A, Puago H. Design and Experimental Evaluation of Innovative Wire-to-Plane Fins’ Configuration for Atmosphere Corona-Discharge Cooling Devices. Applied Sciences. 2020; 10(3):1010. https://doi.org/10.3390/app10031010
Chicago/Turabian StyleCogollo, Mar, Pedro M. Balsalobre, Andrés Díaz Lantada, and Héctor Puago. 2020. "Design and Experimental Evaluation of Innovative Wire-to-Plane Fins’ Configuration for Atmosphere Corona-Discharge Cooling Devices" Applied Sciences 10, no. 3: 1010. https://doi.org/10.3390/app10031010
APA StyleCogollo, M., M. Balsalobre, P., Díaz Lantada, A., & Puago, H. (2020). Design and Experimental Evaluation of Innovative Wire-to-Plane Fins’ Configuration for Atmosphere Corona-Discharge Cooling Devices. Applied Sciences, 10(3), 1010. https://doi.org/10.3390/app10031010
