Comparison of Fiber-to-Waveguide Couplers in Point Diffraction Interferometer Based on Waveguide Reference Wavefront Source
Abstract
1. Introduction
2. Reference Wavefront Source Based on SiN Waveguide
3. Y-Branch Coupler
3.1. Structure of the Y-Branch Coupler
3.2. Parameter Optimization
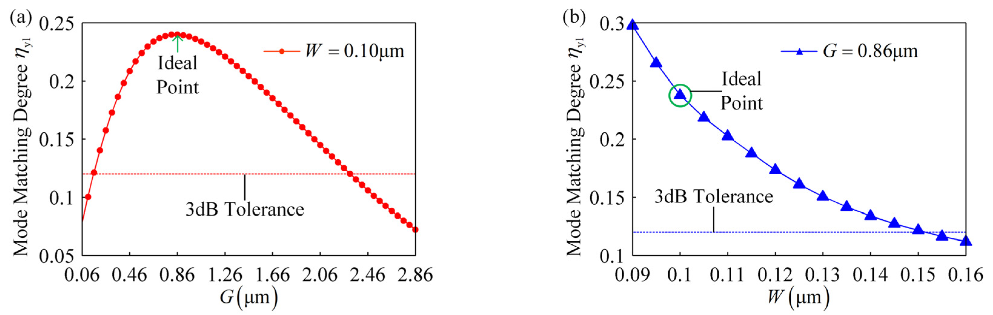
3.3. 3 dB Fabrication Tolerance of the Y-Branch Coupler
3.4. 3 dB Alignment Tolerance of the Y-Branch Coupler
3.5. Polarization Dependent Loss of the Y-Branch Coupler
4. Grating Coupler
4.1. Structure of the Grating Coupler
4.2. Parameter Optimization
4.3. 3 dB Fabrication Tolerance of the Grating Coupler
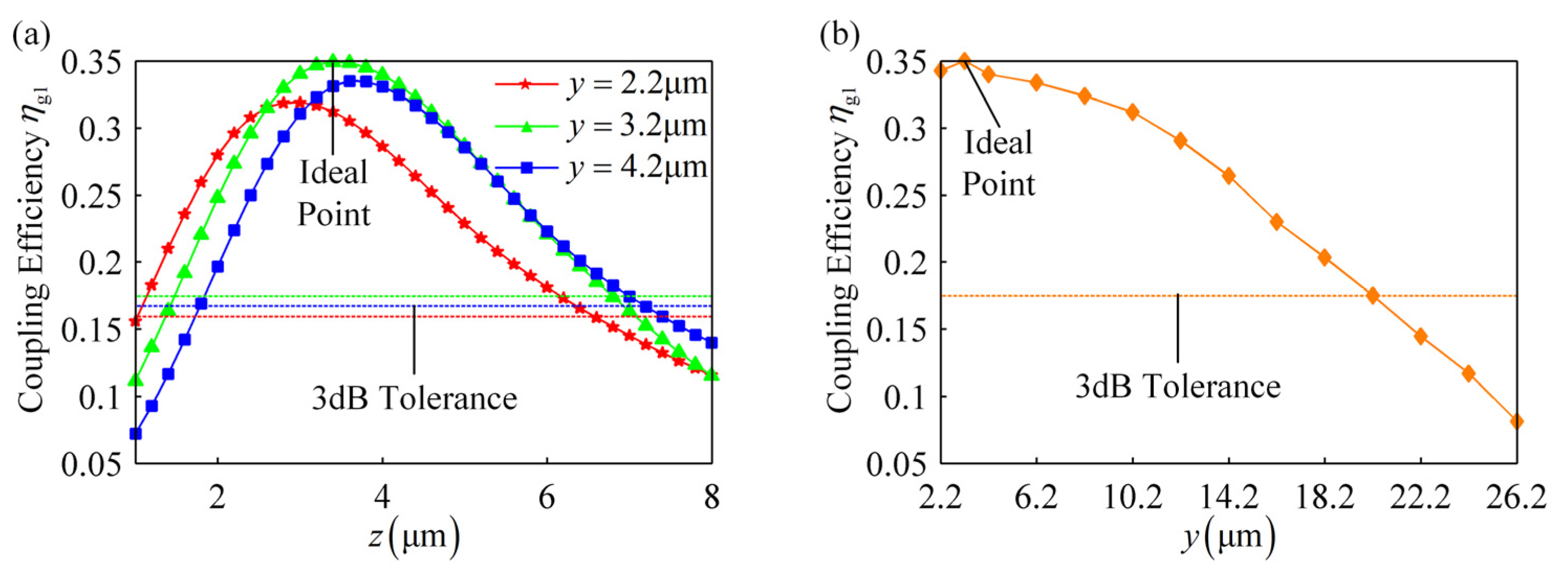
4.4. 3 dB Alignment Tolerance of the Grating Coupler
4.5. Polarization-Dependent Loss of the Grating Coupler
5. Comparison of Two Fiber-to-Waveguide Couplers
6. Conclusions
Author Contributions
Funding
Conflicts of Interest
References
- Yang, Y. Advanced Interferometry and Application, 1st ed.; Zhejiang University Press: Hangzhou, China, 2017; pp. 77–89. [Google Scholar]
- Smartt, R.; Steel, W. Theory and application of point-diffraction interferometers. Jpn. J. Appl. Phys. 1975, 14, 351–356. [Google Scholar] [CrossRef]
- Otaki, K.; Ota, K.; Nishiyama, I.; Yamamoto, T.; Fukuda, Y.; Okazaki, S. Development of the point diffraction interferometer for extreme ultraviolet lithography: Design, fabrication, and evaluation. J. Vac. Sci. Technol. B 2002, 20, 2449–2458. [Google Scholar] [CrossRef]
- Li, Y.; Yang, Y.-Y.; Wang, C.; Chen, Y.-K.; Chen, X.-Y. Point diffraction in terference detection technology. Chin. Opt. 2017, 10, 391–414. [Google Scholar] [CrossRef]
- Du, Y.; Feng, G.; Li, H.; Vargas, J.; Zhou, S. Circular common-path point-diffraction interferometer. Opt. Lett. 2012, 37, 3927–3929. [Google Scholar] [CrossRef]
- Zhu, W.; Chen, L.; Gu, C.; Zheng, D.; Cao, H.; Han, Z. Reflective shearing point diffraction interferometer. Microw. Opt. Technol. Lett. 2015, 57, 2845–2848. [Google Scholar] [CrossRef]
- Akondi, V.; Jewel, A.R.; Vohnsen, B. Digital phase-shifting point diffraction interferometer. Opt. Lett. 2014, 39, 1641–1644. [Google Scholar] [CrossRef] [PubMed]
- Wang, D.; Wang, F.; Zou, H.; Zhang, B. Analysis of diffraction wavefront in visible-light point-diffraction interferometer. Appl. Opt. 2013, 52, 7602–7608. [Google Scholar] [CrossRef] [PubMed]
- Shao, W.; Yang, Y.; Chen, X.; Liu, D.; Shen, Y. Optimization research on optical structural parameters of point diffraction interference system. High Power Laser Part Beams 2014, 26, 051001. [Google Scholar] [CrossRef]
- Wang, C.; Yang, Y.; Li, Y.; Chen, Y.; Bai, J. Characterization of the pinhole diffraction based on the waveguide effect in a point diffraction interferometer. Appl. Opt. 2018, 57, 781–787. [Google Scholar] [CrossRef]
- Otaki, K.; Bonneau, F.; Ichihara, Y. Absolute measurement of spherical surface by point diffraction interferometer. Proc. SPIE 1999, 3740, 602–605. [Google Scholar]
- Wang, D.D.; Chen, X.X.; Xu, Y.B.; Wang, F.M.; Kong, M.; Zhao, J.; Zhang, B.W. High-NA fiber point-diffraction interferometer for three-dimensional coordinate measurement. Opt. Express 2014, 22, 25550–25559. [Google Scholar] [CrossRef] [PubMed]
- Mercer, C.R.; Creath, K. Liquid-crystal point-diffraction interferometer. Opt. Lett. 1994, 19, 916–918. [Google Scholar] [CrossRef] [PubMed]
- Millerd, J.E.; Brock, N.J.; Hayes, J.B.; Wyant, J.C. Instantaneous phase-shift, point-diffraction interferometer. In Interferometry XII: Techniques and Analysis; Creath, K., Schmit, J., Eds.; Spie-Int Soc Optical Engineering: Bellingham, WA, USA, 2004; Volume 5531, pp. 264–272. [Google Scholar]
- Sommargren, G.E. Phase Shifting Diffraction Interferometry for Measuring Extreme Ultraviolet Optics. In Proceedings of the Optical Society of America Extreme Ultraviolet Lithography, Boston, MA, USA, 29 April–3 May 1996; pp. 108–112. [Google Scholar]
- Matsuura, T.; Okagaki, S.; Nakamura, T.; Oshikane, Y.; Inoue, H.; Nakano, M.; Kataoka, T. Measurement accuracy in phase-shifting point diffraction interferometer with two optical fibers. Opt. Rev. 2007, 14, 401–405. [Google Scholar] [CrossRef]
- Chkhalo, N.I.; Klimov, A.Y.; Rogov, V.V.; Salashchenko, N.N.; Toropov, M.N. A source of a reference spherical wave based on a single mode optical fiber with a narrowed exit aperture. Rev. Sci. Instrum. 2008, 79, 033107. [Google Scholar] [CrossRef]
- Wang, Q.; He, J.J.; He, S.L. Y-branch spot-size converter for a buried silica waveguide with large index difference. Appl. Opt. 2004, 43, 3315–3318. [Google Scholar] [CrossRef]
- Qian, W.; Jun, L.; Sailing, H. Optimal design method of a low-loss broadband Y branch with a multimode waveguide section. Appl. Opt. 2002, 41, 7644–7649. [Google Scholar]
- Tao, S.H.; Song, J.; Fang, Q.; Yu, M.B.; Lo, G.Q.; Kwong, D.L. Improving coupling efficiency of fiber-waveguide coupling with a double-tip coupler. Opt. Express 2008, 16, 20803–20808. [Google Scholar] [CrossRef]
- Doerr, C.R.; Chen, L.; Chen, Y.-K.; Buhl, L.L. Wide Bandwidth Silicon Nitride Grating Coupler. IEEE Photonics Technol. Lett. 2010, 22, 1461–1463. [Google Scholar] [CrossRef]
- Sacher, W.D.; Huang, Y.; Ding, L.; Taylor, B.J.F.; Jayatilleka, H.; Lo, G.-Q.; Poon, J.K.S. Wide bandwidth and high coupling efficiency Si3N4-on-SOI dual-level grating coupler. Opt. Express 2014, 22, 10938–10947. [Google Scholar] [CrossRef]
- Taillaert, D.; Van Laere, F.; Ayre, M.; Bogaerts, W.; Van Thourhout, D.; Bienstman, P.; Baets, R. Grating couplers for coupling between optical fibers and nanophotonic waveguides. Jpn. J. Appl. Phys 2006, 45, 6071–6077. [Google Scholar] [CrossRef]
- Liao, Y. Characteristics of fiber. In Fiber Optics: Principles and applications, 1st ed.; Zheng, A., Cai, B., Eds.; Tsinghua University Press: Beijing, China, 2003; p. 73. [Google Scholar]
- Chen, H.Y.; Yang, K.C. Design of a high-efficiency grating coupler based on a silicon nitride overlay for silicon-on-insulator waveguides. Appl. Opt. 2010, 49, 6455–6462. [Google Scholar] [CrossRef] [PubMed]
- Bratton, D.; Kennedy, J. Defining a Standard for Particle Swarm Optimization. In IEEE Swarm Intelligence Symposium; IEEE: Piscataway, NJ, USA, 2007. [Google Scholar]










| Parameters | (µm) | (µm) | (µm) | (°) | (µm) | (µm) | |
|---|---|---|---|---|---|---|---|
| Original | 0.423 | 0.500 | 0.211 | 0.212 | 20 | 0 | 0 |
| Final | 0.420 | 0.476 | 0.200 | 0.220 | 20 | 3.4 | 3.2 |
(µm) | (µm) | (µm) | (µm) | (µm) | ||
|---|---|---|---|---|---|---|
| 0.10 −0.10–+0.05 | 0.86 −0.70–+1.40 | 10 | 0.24 | 0.11 | ||
(µm) | (µm) | (µm) | (µm) | (°) | |
|---|---|---|---|---|---|
| 0.40 −0.02–+0.02 | 0.476 −0.12–+0.12 | 0.22 −0.05–+0.05 | 0.20 −0.05–+0.05 | 6 | 20 |
(µm) | (µm) | (µm) | (µm) | ||
| 3.4 −1.8–+3.4 | 3.2 −1.2–+12.0 | 2.52 −0.06–+0.06 | 300 | 0.35 | 0.30 |
Publisher’s Note: MDPI stays neutral with regard to jurisdictional claims in published maps and institutional affiliations. |
© 2020 by the authors. Licensee MDPI, Basel, Switzerland. This article is an open access article distributed under the terms and conditions of the Creative Commons Attribution (CC BY) license (http://creativecommons.org/licenses/by/4.0/).
Share and Cite
Chen, Y.; Bai, J.; Wang, C.; Xue, Y.; Yang, Y. Comparison of Fiber-to-Waveguide Couplers in Point Diffraction Interferometer Based on Waveguide Reference Wavefront Source. Appl. Sci. 2020, 10, 9115. https://doi.org/10.3390/app10249115
Chen Y, Bai J, Wang C, Xue Y, Yang Y. Comparison of Fiber-to-Waveguide Couplers in Point Diffraction Interferometer Based on Waveguide Reference Wavefront Source. Applied Sciences. 2020; 10(24):9115. https://doi.org/10.3390/app10249115
Chicago/Turabian StyleChen, Yuankai, Jian Bai, Chen Wang, Yingze Xue, and Yongying Yang. 2020. "Comparison of Fiber-to-Waveguide Couplers in Point Diffraction Interferometer Based on Waveguide Reference Wavefront Source" Applied Sciences 10, no. 24: 9115. https://doi.org/10.3390/app10249115
APA StyleChen, Y., Bai, J., Wang, C., Xue, Y., & Yang, Y. (2020). Comparison of Fiber-to-Waveguide Couplers in Point Diffraction Interferometer Based on Waveguide Reference Wavefront Source. Applied Sciences, 10(24), 9115. https://doi.org/10.3390/app10249115

