Tailoring Asymmetric Lossy Channels to Test the Robustness of Mesoscopic Quantum States of Light
Abstract
1. Introduction
2. Materials and Methods
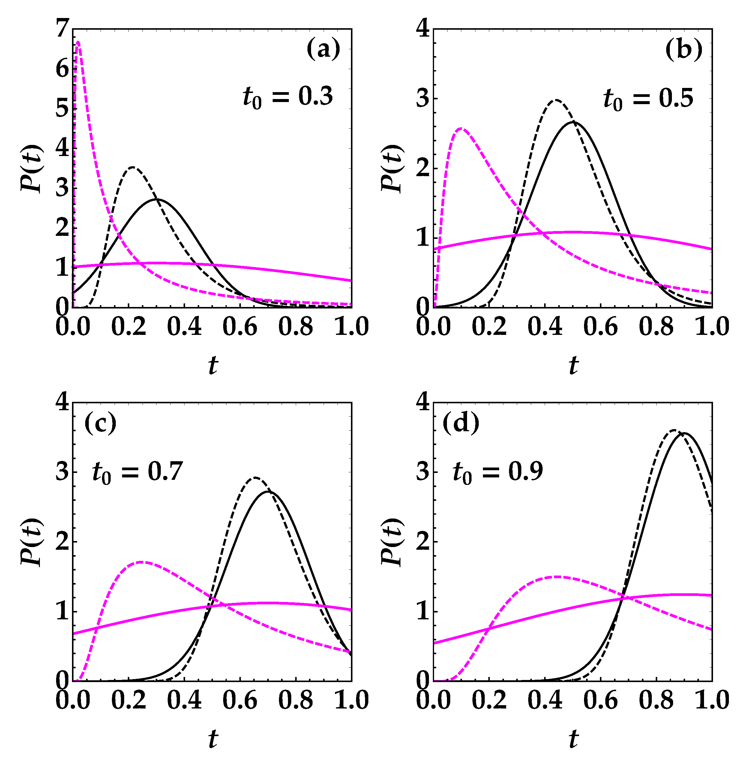
2.1. Statistical Distributions of the Transmittance Coefficient
2.2. Experimental Setup and Data Preparation
3. Results
4. Discussion
5. Conclusions
Author Contributions
Funding
Acknowledgments
Conflicts of Interest
Abbreviations
| HWP | Half-wave plate |
| PBS | Polarizing cube beam splitter |
References
- Bennett, C.H.; Bessette, F.; Brassard, G.; Salvail, L.; Smolin, J. Experimental Quantum Cryptography. J. Cryptol. 1992, 5, 3–28. [Google Scholar] [CrossRef]
- Muller, A.; Zbinden, H.; Gisin, N. Underwater quantum coding. Nature 1995, 378, 449. [Google Scholar] [CrossRef]
- Marcikic, I.; de Riedmatten, H.; Tittel, W.; Zbinden, H.; Gisin, N. Long-distance teleportation of qubits at telecommunication wavelengths. Nature 2003, 421, 509–513. [Google Scholar] [CrossRef] [PubMed]
- Ursin, R.; Jennewein, T.; Aspelmeyer, M.; Kaltenbaek, R.; Lindenthal, M.; Walther, P.; Zeilinger, A. Communications: Quantum teleportation across the Danube. Nature 2004, 430, 849. [Google Scholar] [PubMed]
- Kurtsiefer, C.; Zarda, P.; Halder, M.; Weinfurter, H.; Gorman, P.M.; Tapster, P.R.; Rarity, J.G. A step towards global key distribution. Nature 2002, 419, 450. [Google Scholar] [CrossRef] [PubMed]
- Aspelmeyer, M.; Böhm, H.R.; Gyatso, T.; Jennewein, T.; Kaltenbaek, R.; Lindenthal, M.; Molina-Terriza, G.; Poppe, A.; Resch, K.; Taraba, M.; et al. Long-Distance Free-Space Distribution of Quantum Entanglement. Science 2003, 301, 621. [Google Scholar] [CrossRef]
- Jin, X.M.; Ren, J.G.; Yang, B.; Yi, Z.H.; Zhou, F.; Xu, X.F.; Wang, S.K.; Yang, D.; Hu, Y.F.; Jiang, S.; et al. Experimental free-space quantum teleportation. Nat. Photon. 2010, 4, 376–381. [Google Scholar] [CrossRef]
- Capraro, I.; Tomaello, A.; Dall’Arche, A.; Gerlin, F.; Ursin, R.; Vallone, G.; Villoresi, P. Impact of turbulence in long range quantum and classical communications. Phys. Rev. Lett. 2012, 109, 200502. [Google Scholar]
- Peuntinger, C.; Heim, B.; Mu¨ller, C.R.; Gabriel, C.; Marquardt, C.; Leuchs, G. Distribution of squeezed states through an atmospheric channel. Phys. Rev. Lett. 2014, 113, 060502. [Google Scholar] [CrossRef]
- Vallone, G.; Bacco, D.; Dequal, D.; Gaiarin, S.; Luceri, V.; Bianco, G.; Villoresi, P. Experimental Satellite Quantum Communications. Phys. Rev. Lett. 2015, 115, 040502. [Google Scholar] [CrossRef]
- Carrasco-Casado, A.; Kunimori, H.; Takenaka, H.; Kubo-Oka, T.; Akioka, M.; Fuse, T.; Koyama, Y.; Kolev, D.; Munemasa, Y.; Toyoshima, M. LEO-to-ground polarization measurements aiming for space QKD using Small Optical TrAnsponder (SOTA). Opt. Express 2016, 24, 12254. [Google Scholar] [CrossRef] [PubMed]
- Dequal, D.; Vidarte, L.T.; Rodriguez, V.R.; Vallone, G.; Villoresi, P.; Leverrier, A.; Diamanti, E. Feasibility of satellite-to-ground continuous-variable quantum key distribution. arXiv 2020, arXiv:2002.02002. [Google Scholar]
- Semenov, A.A.; Vogel, W. Quantum light in the turbulent atmosphere. Phys. Rev. A 2009, 80, 021802(R). [Google Scholar] [CrossRef]
- Usenko, V.C.; Heim, B.; Peuntinger, C.; Wittmann, C.; Marquardt, C.; Leuchs, G.; Filip, R. Entanglement of Gaussian states and the applicability to quantum key distribution over fading channels. New J. Phys. 2012, 14, 093048. [Google Scholar] [CrossRef]
- Bohmann, M.; Kruse, R.; Sperling, J.; Silberhorn, C.; Vogel, W. Probing free-space quantum channels with laboratory-based experiments. Phys. Rev. A 2017, 95, 063801. [Google Scholar] [CrossRef]
- Micha´lek, V.; Perina, J., Jr.; Haderka, O. Experimental Quantification of the Entanglement of Noisy Twin Beams. Phys. Rev. Appl. 2020, 14, 024003. [Google Scholar]
- Allevi, A.; Bondani, M. Preserving nonclassical correlations in strongly unbalanced conditions. J. Opt. Soc. Am. B 2019, 36, 3275–3281. [Google Scholar] [CrossRef]
- Straka, I.; Mika, J.; Jezˇek, M. Generator of arbitrary classical photon statistics. Opt. Express 2018, 26, 8998–9010. [Google Scholar] [CrossRef]
- Milonni, P.W.; Carter, J.H.; Peterson, C.G.; Hughes, R.J. Effects of propagation through atmospheric turbulence on photon statistics. J. Opt. B Quantum Semiclass. Opt. 2004, 6, S742–S745. [Google Scholar] [CrossRef]
- Vasylyev, D.; Semenov, A.A.; Vogel, W.; Gu¨nthner, K.; Thurn, A.; Bayraktar, O.; Marquardt, C. Free-space quantum links under diverse weather conditions. Phys. Rev. A 2017, 96, 043856. [Google Scholar]
- Agliati, A.; Bondani, M.; Andreoni, A.; De Cillis, G.; Paris, M.G.A. Quantum and classical correlations of intense beams of light via joint photodetection. J. Opt. B 2005, 7, 652. [Google Scholar] [CrossRef]
- Lee, C.T. Many-photon antibunching in generalized pair coherent states. Phys. Rev. A 1990, 41, 1569. [Google Scholar] [CrossRef] [PubMed]
- Lee, C.T. Nonclassical photon statistics of two-mode squeezed states. Phys. Rev. A 1990, 42, 1608. [Google Scholar] [CrossRef] [PubMed]
- Peres, A. Separability criterion for density matrices. Phys. Rev. Lett. 1996, 77, 1413. [Google Scholar] [CrossRef]
- Simon, R. Peres-Horodecki Separability Criterion for Continuous Variable Systems. Phys. Rev. Lett. 2000, 84, 2726. [Google Scholar] [CrossRef]
- Richter, T.; Vogel, W. Nonclassicality of quantum states: A hierarchy of observable conditions. Phys. Rev. Lett. 2002, 89, 283601. [Google Scholar] [CrossRef]
- Degiovanni, I.P.; Genovese, M.; Schettini, V.; Bondani, M.; Andreoni, A.; Paris, M.G.A. Monitoring the quantum-classical transition in thermally seeded parametric down-conversion by intensity measurements. Phys. Rev. A 2009, 79, 063836. [Google Scholar] [CrossRef]
- Allevi, A.; Olivares, S.; Bondani, M. Measuring high-order photon-number correlations in experiments with multimode pulsed quantum states. Phys. Rev. A 2012, 85, 063835. [Google Scholar] [CrossRef]
- Brida, G.; Genovese, M.; Ruo Berchera, I. Experimental realization of sub-shot-noise quantum imaging. Nat. Photon. 2010, 4, 227–230. [Google Scholar]
- Chan, K.W.; O’Sullivan, M.N.; Boyd, R.W. High-order thermal ghost imaging. Opt. Lett. 2009, 34, 3343–3345. [Google Scholar] [CrossRef]
- Bondani, M.; Allevi, A.; Andreoni, A. Ghost imaging by intense multimode twin beam. Eur. Phys. J. Spec. Top. 2012, 203, 151–161. [Google Scholar] [CrossRef]
- Allevi, A.; Bondani, M. Can nonclassical correlations survive in the presence of asymmetric lossy channels? Eur. Phys. J. D 2018, 72, 178. [Google Scholar] [CrossRef]
- Allevi, A.; Bondani, M. Nonlinear and Quantum Optical Properties and Applications of Intense Twin-Beams. Adv. At. Mol. Opt. Phys. 2017, 66, 49–110. [Google Scholar]
- Bondani, M.; Allevi, A.; Agliati, A.; Andreoni, A. Self-consistent characterization of light statistics. J. Mod. Opt. 2009, 56, 226–231. [Google Scholar] [CrossRef]
- Allevi, A.; Lamperti, M.; Bondani, M.; Perˇina, J., Jr.; Micha´lek, V.; Haderka, O.; Machulka, R. Characterizing the nonclassicality of mesoscopic optical twin-beam states. Phys. Rev. A 2013, 88, 063807. [Google Scholar] [CrossRef]
- Lamperti, M.; Allevi, A.; Bondani, M.; Machulka, R.; Micha´lek, V.; Haderka, O.; Perˇina, J., Jr. Optimal sub-Poissonian light generation from twin beams by photon-number resolving detectors. J. Opt. Soc. Am. B 2014, 31, 20–25. [Google Scholar]
- Allevi, A.; Bondani, M. Statistics of twin-beam states by photon-number resolving detectors up to pump depletion. J. Opt. Soc. Am. B 2014, 31, B14–B19. [Google Scholar] [CrossRef]
- Arkhipov, I.I.; Perˇina, J., Jr.; Perˇina, J.; Miranowicz, A. Comparative study of nonclassicality, entanglement, and dimensionality of multimode noisy twin beams. Phys. Rev. A 2015, 91, 033837. [Google Scholar] [CrossRef]







| 0.4 | 0.460 ± 0.002 | 0.2171 ± 0.0007 | 0.018 |
| 0.5 | 0.523 ± 0.002 | 0.2115 ± 0.0007 | 0.060 |
| 0.6 | 0.616 ± 0.002 | 0.2115 ± 0.0008 | 0.054 |
| 0.7 | 0.721 ± 0.002 | 0.213 ± 0.001 | 0.118 |
| 0.8 | 0.839 ± 0.003 | 0.217 ± 0.002 | 0.198 |
| 0.9 | 0.964 ± 0.003 | 0.226 ± 0.002 | 0.463 |
| 0.4 | 0.369 ± 0.007 | 0.077 ± 0.004 | 0.418 |
| 0.5 | 0.508 ± 0.007 | 0.126 ± 0.006 | 0.784 |
| 0.6 | 0.618 ± 0.004 | 0.161 ± 0.005 | 0.423 |
| 0.7 | 0.734 ± 0.002 | 0.189 ± 0.003 | 0.309 |
| 0.8 | 0.852 ± 0.002 | 0.213 ± 0.003 | 0.346 |
| 0.9 | 0.964 ± 0.003 | 0.226 ± 0.006 | 0.697 |
Publisher’s Note: MDPI stays neutral with regard to jurisdictional claims in published maps and institutional affiliations. |
© 2020 by the authors. Licensee MDPI, Basel, Switzerland. This article is an open access article distributed under the terms and conditions of the Creative Commons Attribution (CC BY) license (http://creativecommons.org/licenses/by/4.0/).
Share and Cite
Allevi, A.; Bondani, M. Tailoring Asymmetric Lossy Channels to Test the Robustness of Mesoscopic Quantum States of Light. Appl. Sci. 2020, 10, 9094. https://doi.org/10.3390/app10249094
Allevi A, Bondani M. Tailoring Asymmetric Lossy Channels to Test the Robustness of Mesoscopic Quantum States of Light. Applied Sciences. 2020; 10(24):9094. https://doi.org/10.3390/app10249094
Chicago/Turabian StyleAllevi, Alessia, and Maria Bondani. 2020. "Tailoring Asymmetric Lossy Channels to Test the Robustness of Mesoscopic Quantum States of Light" Applied Sciences 10, no. 24: 9094. https://doi.org/10.3390/app10249094
APA StyleAllevi, A., & Bondani, M. (2020). Tailoring Asymmetric Lossy Channels to Test the Robustness of Mesoscopic Quantum States of Light. Applied Sciences, 10(24), 9094. https://doi.org/10.3390/app10249094
