Contact Efficacy of Different Wood Ashes against Spanish Slug, Arion vulgaris (Gastropoda: Arionidae)
Abstract
1. Introduction
2. Materials and Methods
2.1. Slugs
2.2. Experimental Design
2.2.1. Study of the Contact Efficacy of the Wood Ash (Experiment A)
2.2.2. Study of Wood Ash as a Barrier for Slugs (Experiment B)
2.2.3. Study of Wood Ash in the Semi-Field Trials (Experiment C)
2.3. Geochemical Analysis of Wood Ash
2.4. Statistical Analysis
3. Results
3.1. Analysis of Group of Experiments: Experiment A
3.2. Analysis of Group of Experiments: Experiment B
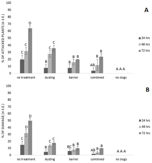
3.3. Analysis of Group of Experiments: Experiment C
4. Discussion
5. Conclusions
Author Contributions
Funding
Acknowledgments
Conflicts of Interest
References
- Rowson, B.; Anderson, R.; Turner, J.A.; Symondson, W.O.C. The slugs of Britain and Ireland: Undetected and undescribed species increase a well-studied, economically important fauna by more than 20%. PLoS ONE 2014, 9, e91907. [Google Scholar] [CrossRef]
- Capinera, J.L. Assessment of barrier materials to protect plants from Florida leatherleaf slug (Mollusca: Gastropoda: Veronicellidae). Florida Entomol. 2018, 101, 373–381. [Google Scholar] [CrossRef]
- Choi, Y.H.; Bohana, D.A.; Potting, R.P.J.; Semenov, M.A.; Glen, D.M. Individual based model of slug population and spatial dynamics. Ecol. Model. 2006, 190, 336–350. [Google Scholar] [CrossRef]
- Douglas, M.R.; Tooker, J.F. Slug (Mollusca: Agriolimacidae, Arionidae) Ecology and Management in No-Till Field Crops, With an Emphasis on the mid-Atlantic Region. J. Integr. Pest Manag. 2012, 3, C1–C9. [Google Scholar] [CrossRef]
- Slotsbo, S.; Damgaard, C.; Hansen, L.M.; Holmstrup, M. The influence of temperature on life history traits in the Iberian slug, Arion lusitanicus. Ann. Appl. Biol. 2013, 162, 80–88. [Google Scholar] [CrossRef]
- Kozłowski, J. The distribution, biology, population dynamics and harmfulness of Arion lusitanicus Mabille, 1868 (Gastropoda: Pulmonata: Arionidae) in Poland. J. Plant Prot. Res. 2007, 47, 219–230. [Google Scholar]
- Santos, M.J.G.; Ferreira, N.G.C.; Soares, A.M.V.M.; Loureiro, S. Toxic effects of molluscicidal baits to the terrestrial isopod Porcellionides pruinosus (Brandt, 1833). J. Soils Sediments 2010, 10, 1335–1343. [Google Scholar] [CrossRef]
- Ross, J.L. Riding the Slime Wave: Gathering Global Data on Slug Control; The Nuffield Farming Scholarships Trust Report; The Nuffield Farming Scholarships Trust: Taunton, UK, 2019. [Google Scholar]
- Bailey, S.E.R. Molluscicidal baits for control of terrestrial gastropods. In Molluscs as Crop Pests; Barker, G.M., Ed.; CABI Publishing: Wallingford, UK, 2002; pp. 33–54. [Google Scholar]
- Purvis, G.; Bannon, J.W. Non-target effects of repeated methiocarb slug pellets application on carabid beetle (Coleoptera, Carabidae) activity in winter-sown cereals. Annal. Appl. Biol. 1992, 121, 215–223. [Google Scholar] [CrossRef]
- GOV. Restrictions on the Use of Metaldehyde to Protect Wildlife; Crown Copyright: London, UK, 2018. Available online: https://www.gov.uk/government/news/restrictions-on-the-use-ofmetaldehyde-to-protect-wildlife (accessed on 21 December 2018).
- Castle, G.D.; Mills, G.A.; Gravell, A.; Jones, L.; Townsend, I.; Cameron, D.G.; Fones, G.R. Review of the molluscicide metaldehyde in the environment. Environ. Sci. Water Res. Technol. 2017, 3, 415–428. [Google Scholar] [CrossRef]
- Buhl, K.; Bond, C.; Stone, D. Iron Phosphate General Fact Sheet; National Pesticide Information Center, Oregon State University Extension Services: Corvallis, OR, USA, 2013; Available online: http://npic.orst.edu/factsheets/ironphosphategen.html (accessed on 8 January 2019).
- Langan, A.M.; Shaw, E.M. Responses of the earthworm Lumbricus terrestris (L.) to iron phosphate and metaldehyde slug pellet formulations. Appl. Soil Ecol. 2006, 34, 184–189. [Google Scholar] [CrossRef]
- Wilson, M.J.; Glen, D.M.; George, S.K.; Butler, R.C. The rhabditid nematode Phasmarhabditis hermaphrodita, as a potential biocontrol agent for slugs. Biocontrol Sci. Technol. 1993, 3, 503–511. [Google Scholar] [CrossRef]
- Laznik, Ž.; Majić, I.; Trdan, S.; Malan, A.P.; Pieterse, A.; Ross, J.L. Is Phasmarhabditis papillosa (Nematoda: Rhabditidae) a possible biological control agent against the Spanish slug, Arion vulgaris (Gastropoda: Arionidae)? Nematology 2020. [Google Scholar] [CrossRef]
- Laznik, Ž.; Bohinc, T.; Franin, K.; Majić, I.; Trdan, S. Efficacy of invasive alien plants in controlling Arionidae slugs. Span. J. Agric. Res. 2020. [Google Scholar] [CrossRef]
- Schüder, I.; Port, G.; Bennison, J. Barriers, repellents and antifeedants for slug and snail control. Crop Prot. 2003, 22, 1033–1038. [Google Scholar] [CrossRef]
- Bohinc, T.; Horvat, A.; Andrić, G.; Pražić Golić, M.; Kljajić, P.; Trdan, S. Comparison of three different wood ashes and diatomaceous earth in controlling the maize weevil under laboratory conditions. J. Stored Prod. Res. 2018, 79, 1–8. [Google Scholar] [CrossRef]
- Hata, T.Y.; Hara, A.H.; Hu, B.K.S. Molluscicides and mechanical barriers against slugs Vaginula plebeia Fischer and Veronicella cubensis (Pfeiffer) (Stylommatophora:Veronicellidae). Crop Prot. 1997, 16, 501–506. [Google Scholar] [CrossRef]
- Speiser, B.; Kistler, C. Field tests with a molluscicide containing iron phosphate. Crop Prot. 2002, 21, 389–394. [Google Scholar] [CrossRef]
- González-Cruz, D.; San Martín, R. Molluscicidal effects of saponin-rich plant extracts on the grey field slug. Cien. Inv. Agric. 2013, 40, 341–349. [Google Scholar] [CrossRef]
- Nicolopoulou-Stamati, P.; Maipas, S.; Kotampasi, C.; Stamatis, P.; Hens, L. Chemical pesticides and human health: The urgent need for a new concept in agriculture. Front. Public Health 2016, 4, 148. [Google Scholar] [CrossRef]
- Laznik, Ž.; Križaj, D.; Trdan, S. The effectiveness of electrified fencing using copper electrodes for slug (Arion spp.) control with direct electric current and voltage. Span. J. Agric. Res. 2011, 9, 894–900. [Google Scholar] [CrossRef]
- Laznik, Ž.; Trdan, S. Is a combination of different natural substances suitable for slug (Arion spp.) control? Span. J. Agric. Res. 2016, 14, e1004. [Google Scholar] [CrossRef]
- Ryder, T.A.; Bowen, I.D. The slug foot as a site of uptake of copper molluscicide. J. Invertebr. Pathol. 1977, 30, 381–386. [Google Scholar] [CrossRef]
- Berger, B.; Dallinger, R. Accumulation of cadmium and copper by the terrestrial snail Arianta arbustorum L.: Kinetics and budgets. Oecologia 1989, 79, 60–65. [Google Scholar] [CrossRef] [PubMed]
- Prior, D.J. Water regulatory behaviour in terrestrial gastropods. Biol. Rev. 1985, 60, 403–425. [Google Scholar] [CrossRef]
- Dvorak, M.; Schnegg, R.; Salvenmoser, W.; Palacios, Ò.; Lindner, H.; Zerbe, O.; Hansel, A.; Leiminger, M.; Steiner, G.; Dallinger, R.; et al. Distinct pathways for zinc metabolism in the terrestrial slug Arion vulgaris. Sci. Rep. 2019. [Google Scholar] [CrossRef]
- Capinera, J.L. Evaluation of copper hydroxide as a repellent and feeding deterrent for Cuban brown snail (Mollusca: Gastropoda: Pleurodontidae). Fla. Entomol. 2018, 101, 369–372. [Google Scholar] [CrossRef]
- Simkiss, K.; Watkins, B. The influence of gut microorganisms on zinc uptake in Helix aspersa. Environ. Pollut. 1990, 66, 263–271. [Google Scholar] [CrossRef]
- Ireland, M.P. Interaction and effects of molybdenum compounds on growth and mineral content of Achatina fulica and Arion ater (Gastropoda: Pulmonata). Comp. Biochem. Physiol. C Pharmacol. Toxicol. Endocrinol. 1994, 107, 441–446. [Google Scholar] [CrossRef]
- Nechev, J.; Stefanov, K.; Popov, S. Effect of cobalt ions on lipid and sterol metabolism in the marine invertebrates Mytilus galloprovincialis and Actinia equina. Comp. Biochem. Physiol. Part A Mol. Integr. Physiol. 2006, 144, 112–118. [Google Scholar] [CrossRef]
- Demeyer, A.; Nkana, J.V.; Verloo, M.G. Characteristics of wood ash and influence on soil properties and nutrient uptake: An overview. Bioresour. Technol. 2001, 77, 287–295. [Google Scholar] [CrossRef]
- Perkiömäki, J.; Fritze, H. Short and long-term effects of wood ash on the boreal forest humus microbial community. Soil Biol. Biochem. 2002, 34, 1343–1353. [Google Scholar] [CrossRef]
- Reid, C.; Watmough, S.A. Evaluating the effects of liming and wood-ash treatment on forest ecosystems through systematic meta-analysis. Can. J. For. Res. 2014, 44, 867–885. [Google Scholar] [CrossRef]




| Chemical Compounds/Element | Unit | Fagus sylvatica | Quercus petraea | Carpinus betulus | Abies alba | Picea abies | Alnus glutinous | Castanea sativa |
|---|---|---|---|---|---|---|---|---|
| SiO2 | % | 6.87 | 4.94 | 1.02 | 11.53 | 7.46 | 3.04 | 2.78 |
| Al2O3 | % | 1.61 | 1.53 | 0.49 | 2.95 | 2.48 | 0.73 | 1.03 |
| Fe2O3 | % | 0.41 | 1.5 | 0.31 | 1.87 | 1.74 | 0.87 | 0.59 |
| MgO | % | 7.36 | 3.4 | 1.87 | 6.83 | 4.44 | 2.34 | 1.92 |
| CaO | % | 31.09 | 37.23 | 55.12 | 52.96 | 39.55 | 42.01 | 48.52 |
| Na2O | % | 0.08 | 0.17 | 0.03 | 0.21 | 0.21 | 0.09 | 0.13 |
| K2O | % | 12.6 | 11.11 | 6.23 | 4.98 | 7.54 | 5.14 | 3.24 |
| TiO2 | % | 0.09 | 0.13 | 0.02 | 0.21 | 0.16 | 0.04 | 0.19 |
| P2O5 | % | 1.86 | 2.12 | 1.77 | 2.24 | 2.36 | 1.07 | 2.03 |
| MnO | % | 0.38 | 0.99 | 0.08 | 1.17 | 1.26 | 0.16 | 1.03 |
| Cr2O3 | % | <0.002 | 0.014 | <0.002 | 0.009 | <0.002 | <0.002 | <0.002 |
| Ba | % | 0,1371 | 0,26 | 0.089 | 0.1907 | 0.2736 | 0.0712 | 0.0982 |
| Ni | % | <0.002 | 0.0032 | <0.002 | 0.0039 | 0.005 | <0.002 | <0.002 |
| Co | % | 0.00021 | 0.00081 | 0.00003 | 0.00117 | 0.0012 | 0.00006 | 0.00009 |
| Cs | % | 0.00017 | 0.0001 | 0.00002 | 0.00009 | 0.0002 | 0.00003 | 0.00005 |
| Ga | % | 0.00012 | 0.00019 | <0.00005 | 0.00038 | 0.0004 | <0.00005 | <0.00005 |
| Sr | % | 0.03252 | 0.04565 | 0.05365 | 0.07348 | 0.0668 | 0.02165 | 0.03265 |
| Mo | % | 0.00034 | 0.00023 | 0.00106 | 0.00023 | 0.0002 | 0.00083 | 0.00093 |
| Cu | % | 0.00914 | 0.01786 | 0.00615 | 0.0135 | 0.0163 | 0.00725 | 0.00623 |
| Pb | % | 0.00603 | 0.00393 | 0.00023 | 0.00101 | 0.0029 | 0.00043 | 0.00067 |
| Zn | % | 0.0294 | 0.0370 | 0.0072 | 0.0157 | 0.1145 | 0.00089 | 0.000971 |
| Source | Slug Mortality | Feeding Ability | |||||
| F | df | p | F | df | p | ||
| Exp. A | Treatment (T) | 87.59 | 7 | <0.0001 | 75.43 | 7 | <0.0001 |
| Exposure time (DAT) | 66.61 | 2 | <0.0001 | 69.33 | 2 | <0.0001 | |
| Source | Barrier crossing | ||||||
| F | df | p | |||||
| Exp. B | Treatment (T) | 16.27 | 7 | <0.0001 | |||
| Exposure time (DAT) | 87.04 | 2 | <0.0001 | ||||
| Source | % damaged plants | % damaged leaves | |||||
| F | df | p | F | df | p | ||
| Exp. C | Treatment (T) | 33.84 | 4 | <0.0001 | 62.25 | 4 | <0.0001 |
| Exposure time (DAT) | 29.82 | 2 | <0.0001 | 24.21 | 2 | <0.0001 | |
Publisher’s Note: MDPI stays neutral with regard to jurisdictional claims in published maps and institutional affiliations. |
© 2020 by the authors. Licensee MDPI, Basel, Switzerland. This article is an open access article distributed under the terms and conditions of the Creative Commons Attribution (CC BY) license (http://creativecommons.org/licenses/by/4.0/).
Share and Cite
Laznik, Ž.; Majić, I.; Horvat, A.; Trdan, S. Contact Efficacy of Different Wood Ashes against Spanish Slug, Arion vulgaris (Gastropoda: Arionidae). Appl. Sci. 2020, 10, 8564. https://doi.org/10.3390/app10238564
Laznik Ž, Majić I, Horvat A, Trdan S. Contact Efficacy of Different Wood Ashes against Spanish Slug, Arion vulgaris (Gastropoda: Arionidae). Applied Sciences. 2020; 10(23):8564. https://doi.org/10.3390/app10238564
Chicago/Turabian StyleLaznik, Žiga, Ivana Majić, Aleksander Horvat, and Stanislav Trdan. 2020. "Contact Efficacy of Different Wood Ashes against Spanish Slug, Arion vulgaris (Gastropoda: Arionidae)" Applied Sciences 10, no. 23: 8564. https://doi.org/10.3390/app10238564
APA StyleLaznik, Ž., Majić, I., Horvat, A., & Trdan, S. (2020). Contact Efficacy of Different Wood Ashes against Spanish Slug, Arion vulgaris (Gastropoda: Arionidae). Applied Sciences, 10(23), 8564. https://doi.org/10.3390/app10238564

