Effect of Low and High Viscosity Composites on Temperature Rise of Premolars Restored through the Bulk-Fill and the Incremental Layering Techniques
Abstract
Featured Application
Abstract
1. Introduction
2. Materials and Methods
2.1. Restorative Materials
2.2. Maximum Temperature Rise
2.3. Selection of Teeth
2.4. MOD Cavity Preparation
2.5. Adhesive Protocol and Composite Restoration
2.6. Temperature Measurements
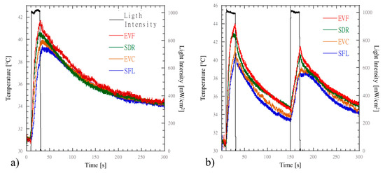
3. Results
4. Discussion
5. Conclusions
- Temperature peaks and temperature rates measured in the core of flowable bulk-fill composites are significantly higher (p < 0.05) than those measured for packable bulk-fill composites.
- The type of initiator system affects both the temperature rise and rate; a significantly higher temperature rate (p < 0.05) has been measured for EVF, suggesting faster polymerization kinetics.
- For the bulk-fill technique, temperature rise levels are below 11 °C; however, no significant difference in the mean values of temperature rise has been observed among the investigated bulk-fill RBCs.
- For the bulk-fill techniques, the light curing modality (1000 mW/cm2 for 20 s) can be considered safe for the integrity of the pulp tissue, if the thickness of the occlusal dentin, spacing the restorative material from the pulp chamber, is not lower than 1 mm.
- For the bulk-fill technique, temperature rise levels are below 13 °C. Temperature rates measured for the flowable RBCs are significantly higher (p < 0.05) than those measured for the packable RBCs. The temperature rise measured for EVF is significantly higher (p < 0.05) than SFL.
- As far as flowable bulk-fill RBCs in conjunction with the incremental layering technique are concerned, a curing modality lower than 1000 mW/cm2 is recommended, especially if the thickness of the occlusal dentin, spacing the restorative material from the pulp chamber, is lower than 1 mm.
- Finally, the results that we have observed with the halogen curing unit may be extendable to the LED curing units incorporating a variety of semiconductors: a blue LED and a violet LED. This approach will be implemented in our future investigations.
- The clinical operator should avoid the use of high level of light intensity for curing flow composites applied through the incremental technique in very deep cavities close to the pulp chamber. In these cases, a reduced light intensity in conjunction with an increased exposure time of the light source is recommended. The bulk-fill technique can be used safely without fear of causing thermal damage to the dental pulp.
Author Contributions
Funding
Acknowledgments
Conflicts of Interest
References
- Braga, R.R.; Ballester, R.Y.; Ferracane, J.L. Factors involved in the development of polymerization shrinkage stress in resin-composites: A systematic review. Dent. Mater. 2005, 21, 962–970. [Google Scholar] [CrossRef]
- De Santis, R.; Gloria, A.; Prisco, D.; Amendola, E.; Puppulin, L.; Pezzotti, G.; Rengo, S.; Ambrosio, L.; Nicolais, L. Fast curing of restorative materials through the soft light energy release. Dent. Mater. 2010, 26, 891–900. [Google Scholar] [CrossRef] [PubMed]
- Pashley, D.H. Clinical considerations of microleakage. J. Endod. 1990, 16, 70–77. [Google Scholar] [CrossRef]
- De Santis, R.; Mollica, F.; Prisco, D.; Rengo, S.; Ambrosio, L.; Nicolais, L. A 3D analysis of mechanically stressed dentin–adhesive–composite interfaces using X-ray micro-CT. Biomaterials 2005, 26, 257–270. [Google Scholar] [CrossRef] [PubMed]
- Kwon, Y.; Ferracane, J.; Lee, I.B. Effect of layering methods, composite type, and flowable liner on the polymerization shrinkage stress of light cured composites. Dent. Mater. 2012, 28, 801–809. [Google Scholar] [CrossRef]
- Kim, R.J.; Son, S.A.; Hwang, J.Y.; Lee, I.B.; Seo, D.G. Comparison of photopolymerization temperature increases in internal and external positions of composite and tooth cavities in real time: Incremental fillings of microhybrid composite vs. bulk filling of bulk fill composite. J. Dent. 2015, 43, 1093–1098. [Google Scholar] [CrossRef]
- Ilie, N.; Bucuta, S.; Draenert, M. Bulk-fill resin-based composites: An in vitro assessment of their mechanical performance. Oper. Dent. 2013, 38, 618–625. [Google Scholar] [CrossRef]
- Chesterman, J.; Jowett, A.; Gallacher, A.; Nixon, P. Bulk-fill resin-based composite restorative materials: A review. Br. Dent. J. 2017, 222, 337. [Google Scholar] [CrossRef]
- Lima, R.B.; Troconis, C.C.; Moreno, M.B.; Murillo-Gomez, F.; De Goes, M.F. Depth of cure of bulk fill resin composites: A systematic review. J. Esthet. Restor. Dent. 2018, 30, 492–501. [Google Scholar] [CrossRef]
- Hirata, R.; Kabbach, W.; De Andrade, O.S.; Bonfante, E.A.; Giannini, M.; Coelho, P.G. Bulk fill composites: An anatomic sculpting technique. J. Esthet. Restor. Dent. 2015, 27, 335–343. [Google Scholar] [CrossRef]
- Al-Ahdal, K.; Silikas, N.; Watts, D.C. Rheological properties of resin composites according to variations in composition and temperature. Dent. Mater. 2014, 30, 517–524. [Google Scholar] [CrossRef] [PubMed]
- El-Safty, S.; Akhtar, R.; Silikas, N.; Watts, D.C. Nanomechanical properties of dental resin-composites. Dent. Mater. 2012, 28, 1292–1300. [Google Scholar] [CrossRef] [PubMed]
- Swift, E.J., Jr. Bulk-fill Composites, Part, I. J. Esthet. Restor. Dent. 2015, 27, 176–179. [Google Scholar] [CrossRef] [PubMed]
- Kim, R.J.; Kim, Y.J.; Choi, N.; Lee, I. Polymerization shrinkage, modulus, and shrinkage stress related to tooth-restoration interfacial debonding in bulk-fill composites. J. Dent. 2015, 43, 430–439. [Google Scholar] [CrossRef]
- Ibarra, E.; Lien, W.; Jeffery Casey, J.; Dixon, S.A.; Vandewalle, K. Physical properties of a new sonically placed composite resin restorative material. Unif. Serv. Univ. Health Sci. Bethesda U. S. 2015, 63, 51–56. [Google Scholar]
- Bouillaguet, S.; Caillot, G.; Forchelet, J.; Cattani-Lorente, M.; Wataha, J.C.; Krejci, I. Thermal risks from LED-and high-intensity QTH-curing units during polymerization of dental resins. J. Biomed. Mater. Res. Part B Appl. Biomater. 2005, 72, 260–267. [Google Scholar] [CrossRef]
- Soares, C.J.; Ferreira, M.S.; Bicalho, A.; Rodrigues, M.; Braga, S.S.L.; Versluis, A. Effect of light activation of pulp-capping materials and resin composite on dentin deformation and the pulp temperature change. Oper. Dent. 2018, 43, 71–80. [Google Scholar] [CrossRef]
- De Santis, R.; Gloria, A.; Maietta, S.; Martorelli, M.; De Luca, A.; Spagnuolo, G.; Riccitiello, F.; Rengo, S. Mechanical and thermal properties of dental composites cured with CAD/CAM assisted solid-state laser. Materials 2018, 11, 504. [Google Scholar] [CrossRef]
- Braga, S.; Oliveira, L.; Ribeiro, M.; Vilela, A.B.F.; da Silva, G.R.; Price, R.B.; Soares, C.J. Effect of Simulated Pulpal Microcirculation on Temperature When Light Curing Bulk Fill Composites. Oper. Dent. 2019, 44, 289–301. [Google Scholar] [CrossRef]
- Runnacles, P.; Arrais, C.A.; Pochapski, M.T.; Dos Santos, F.A.; Coelho, U.; Gomes, J.C.; De Goes, M.F.; Mongruel Gomes, O.M.; Rueggeberg, F.A. In vivo temperature rise in anesthetized human pulp during exposure to a polywave LED light curing unit. Dent. Mater. 2015, 31, 505–513. [Google Scholar] [CrossRef]
- Zarpellon, D.C.; Runnacles, P.; Maucoski, C.; Coelho, U.; Rueggeberg, F.A.; Arrais, C. Controlling In Vivo, Human Pulp Temperature Rise Caused by LED Curing Light Exposure. Oper. Dent. 2019, 44, 235–241. [Google Scholar] [CrossRef] [PubMed]
- Airoldi, G.; Riva, G.; Vanelli, M.; Filippi, V.; Garattini, G. Oral environment temperature changes induced by cold/hot liquid intake. Am. J. Orthod. Dentofac. Orthop. 1997, 112, 58–63. [Google Scholar] [CrossRef]
- Simeone, M.; De Santis, R.; Ametrano, G.; Prisco, D.; Borrelli, M.; Paduano, S.; Riccitiello, F.; Spagnuolo, G. Temperature Profiles Along the Root with Gutta-percha Warmed through Different Heat Sources. Open Dent. J. 2014, 8, 229–235. [Google Scholar] [CrossRef] [PubMed][Green Version]
- Karacan, A.O.; Ozyurt, P. Effect of preheated bulk-fill composite temperature on intrapulpal temperature increase in vitro. J. Esthet. Restor. Dent. 2019, 31, 583–588. [Google Scholar] [CrossRef]
- Hamze, F.; Nasab, S.A.G.; Eskandarizadeh, A.; Shahravan, A.; Fard, F.A.; Sinaee, N. Thermal Scanning of Dental Pulp Chamber by Thermocouple System and Infrared Camera during Photo Curing of Resin Composites. Iran. Endod. J. 2018, 13, 195. [Google Scholar] [CrossRef]
- Santini, A.; Watterson, C.; Miletic, V. Temperature rise within the pulp chamber during composite resin polymerisation using three different light sources. Open Dent. J. 2008, 2, 137. [Google Scholar] [CrossRef]
- De Santis, R.; Gloria, A.; Sano, H.; Amendola, E.; Prisco, D.; Mangani, F.; Rengo, S.; Ambrosio, L.; Nicolais, L. Effect of light curing and dark reaction phases on the thermomechanical properties of a Bis-GMA based dental restorative material. J. Appl. Biomater. Biomech. 2009, 7, 132–140. [Google Scholar]
- Vinagre, A.; Ramos, J.; Alves, S.; Messias, A.; Alberto, N.; Nogueira, R. Cuspal displacement induced by bulk fill resin composite polymerization: Biomechanical evaluation using fiber Bragg grating sensors. Int. J. Biomater. 2016, 1–9. [Google Scholar] [CrossRef]
- Craig, R.G.; Peyton, F.A. Thermal conductivity of tooth structure, dental cements, and amalgam. J. Dent. Res. 1961, 40, 411–418. [Google Scholar] [CrossRef]
- de Magalhaes, M.F.; Ferreira, R.A.; Grossi, P.A.; de Andrade, R.M. Measurement of thermophysical properties of human dentin: Effect of open porosity. J. Dent. 2008, 36, 588–594. [Google Scholar] [CrossRef]
- Yasa, E.; Atalayin, C.; Karacolak, G.; Sari, T.; Turkun, L.S. Intrapulpal temperature changes during curing of different bulk-fill restorative materials. Dent. Mater. J. 2017, 36, 566–572. [Google Scholar] [CrossRef] [PubMed]



| Material | Manufacturer | Matrix | Filler | Initiator | Shade | Acronym |
|---|---|---|---|---|---|---|
| Tetric EvoFlow Bulk-fill | Ivoclar Vivadent, Schaan, Liechtenstein | Bis-GMA, EBPADMA | 68.2 wt%: Barium glass, ytterbium trifluoride | CQ, IV | Universal A | EVF |
| SDR flow + | Sirona Dentsply, Konstantz, Germany | UDMA, TEGDMA, EBPDMA | 68 wt%: Ba-Al-F-B-Si glass and St-Al-F-Si glass | CQ | Universal | SDR |
| Tetric EvoCeram Bulk-fill | Ivoclar Vivadent, Schaan, Liechtenstein | bis-GMA, UDMA | 79.5 wt%: Barium glass filler, Ytterbium trifluoride, Mixed oxide, prepolymer | CQ, IV | Universal A | EVC |
| SonicFill 2 | Kerr Corporation, Orange, California | Bis-GMA, TEGDMA, EBPDMA | 83.5 wt%: SiO2, glass, oxide, prepolymer | CQ | A2 | SFL |
| Bulk-Fill Technique | Incremental Layering Technique | |||||
|---|---|---|---|---|---|---|
| First Increment | Second Increment | |||||
| ∆T [°C] | Temperature Rate [°C/s] | ∆T [°C] | Temperature Rate [°C/s] | ∆T [°C] | Temperature Rate [°C/s] | |
| EVF | 10.6 (1.9) a | 0.72 (0.09) a | 12.9 (1.8) a | 1.69 (0.18) a | 7.0 (1.3) a | 0.33 (0.07) a |
| SDR | 9.5 (1.7) a | 0.57 (0.07) a,b | 11.9 (1.7) a,b | 1.54 (0.15) a | 6.5 (1.1) a | 0.27 (0.05) a,b |
| EVC | 8.7 (1.3) a | 0.53 (0.06) b | 10.1 (1.4) a,b | 0.72 (0.09) b | 5.3 (1.0) a | 0.23 (0.05) a,b |
| SFL | 8.2 (1.6) a | 0.45 (0.07) b | 9.5 (1.4) b | 0.69 (0.10) b | 5.1 (1.1) a | 0.21 (0.04) b |
Publisher’s Note: MDPI stays neutral with regard to jurisdictional claims in published maps and institutional affiliations. |
© 2020 by the authors. Licensee MDPI, Basel, Switzerland. This article is an open access article distributed under the terms and conditions of the Creative Commons Attribution (CC BY) license (http://creativecommons.org/licenses/by/4.0/).
Share and Cite
De Santis, R.; Gallicchio, V.; Lodato, V.; Rengo, S.; Valletta, A.; Rengo, C. Effect of Low and High Viscosity Composites on Temperature Rise of Premolars Restored through the Bulk-Fill and the Incremental Layering Techniques. Appl. Sci. 2020, 10, 8041. https://doi.org/10.3390/app10228041
De Santis R, Gallicchio V, Lodato V, Rengo S, Valletta A, Rengo C. Effect of Low and High Viscosity Composites on Temperature Rise of Premolars Restored through the Bulk-Fill and the Incremental Layering Techniques. Applied Sciences. 2020; 10(22):8041. https://doi.org/10.3390/app10228041
Chicago/Turabian StyleDe Santis, Roberto, Vito Gallicchio, Vincenzo Lodato, Sandro Rengo, Alessandra Valletta, and Carlo Rengo. 2020. "Effect of Low and High Viscosity Composites on Temperature Rise of Premolars Restored through the Bulk-Fill and the Incremental Layering Techniques" Applied Sciences 10, no. 22: 8041. https://doi.org/10.3390/app10228041
APA StyleDe Santis, R., Gallicchio, V., Lodato, V., Rengo, S., Valletta, A., & Rengo, C. (2020). Effect of Low and High Viscosity Composites on Temperature Rise of Premolars Restored through the Bulk-Fill and the Incremental Layering Techniques. Applied Sciences, 10(22), 8041. https://doi.org/10.3390/app10228041

