Optimal Operation of a Residential Battery Energy Storage System in a Time-of-Use Pricing Environment
Abstract
1. Introduction
2. Residential BESS without RES in ToU Tariff
3. Battery Mathematical Models
3.1. KiBaM Model
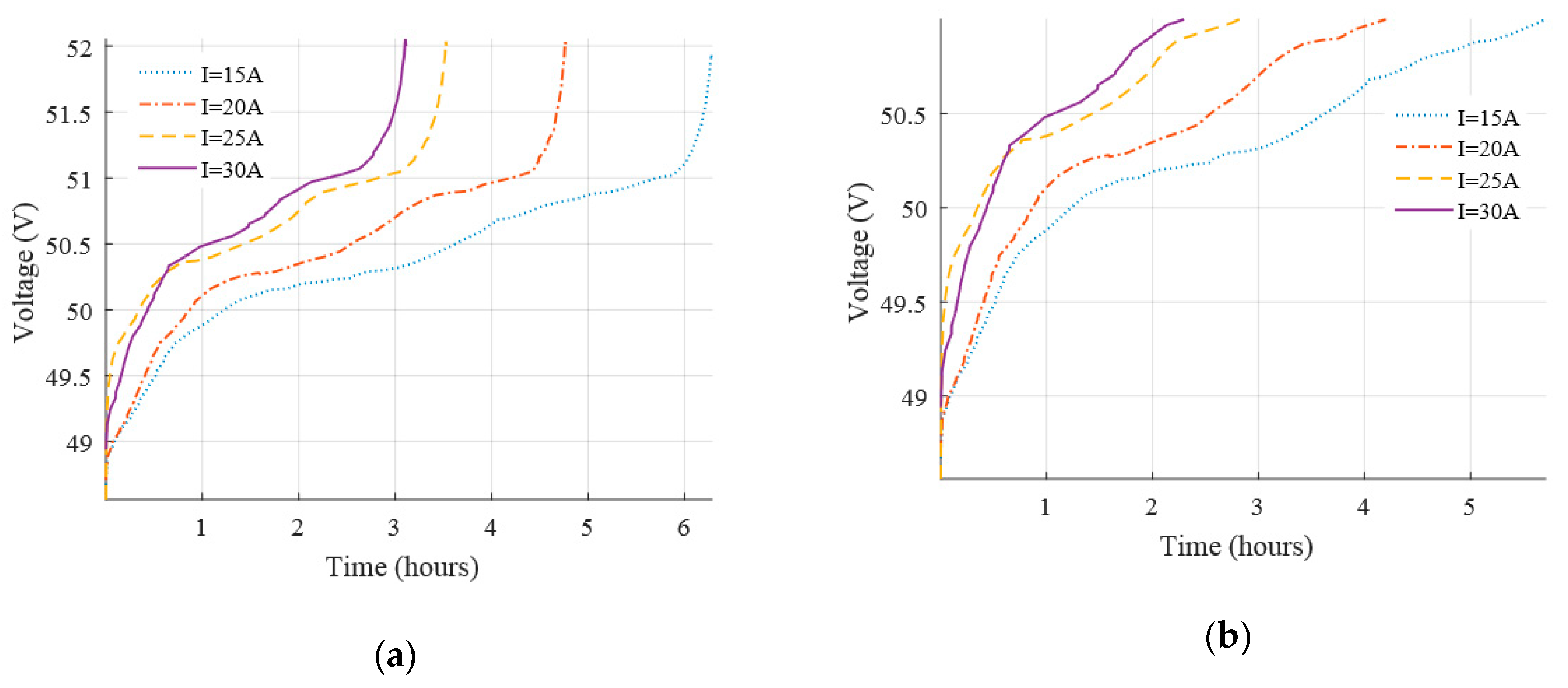
3.2. KiBaM Experimental Validation
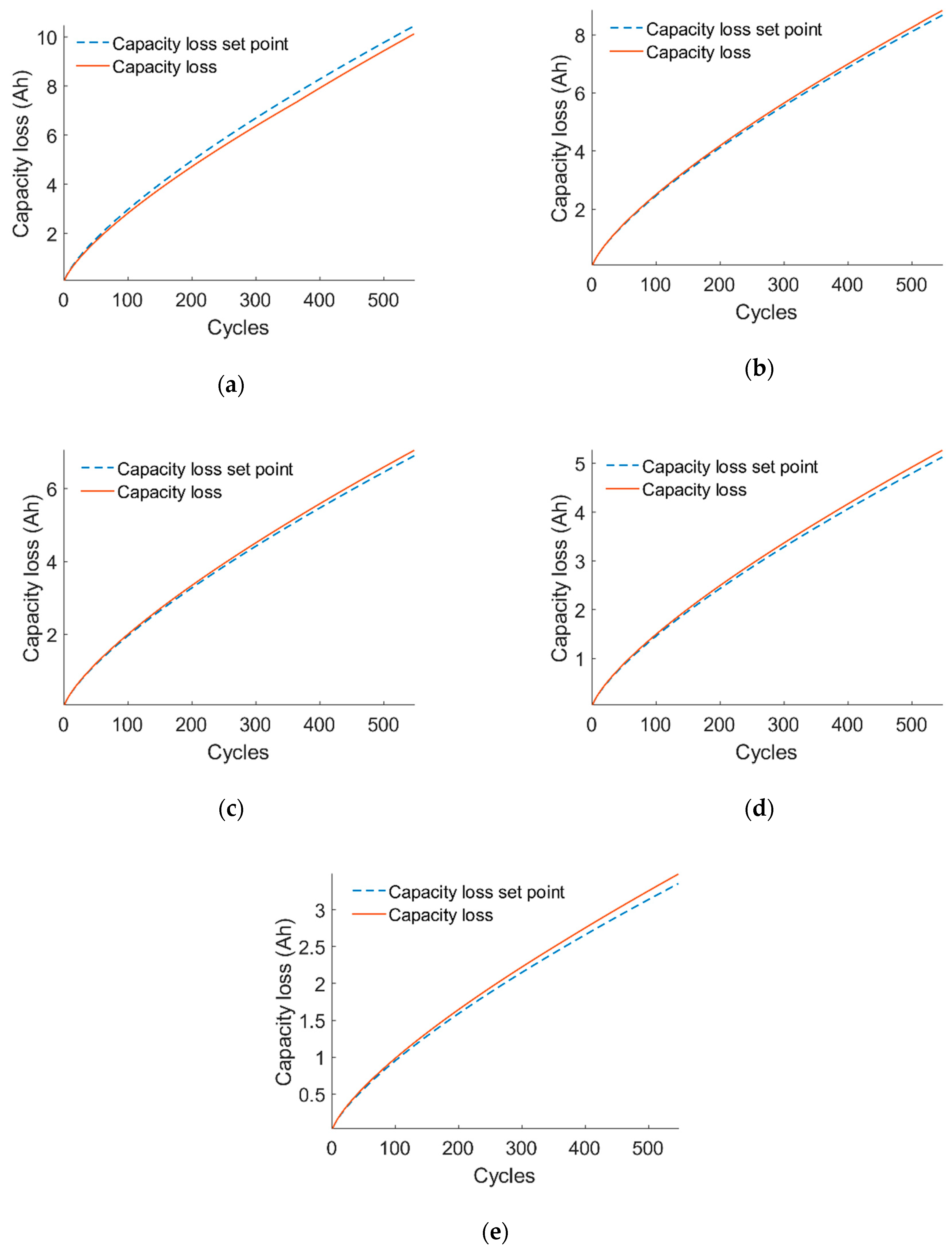
3.3. Battery Degradation Model
3.3.1. Charging/Discharging Rate
3.3.2. Depth of Discharge
3.3.3. Multi Factor Model
4. Energy Management Strategies in Residential BESS without RES
4.1. Energy Management Strategy at Spring/Summer ToU Tariff
4.2. Energy Management Strategy at Autumn/Winter ToU Tariff
4.3. Dynamic Optimization
4.4. End of Day Calculations
5. Analysis of Behavior and Results
5.1. Simulation Results at Spring/Summer ToU Tariff
5.1.1. Spring Day Scenario
5.1.2. Summer Day Scenario
5.2. Simulation Results at Autumn/Winter ToU Tariff
5.2.1. Autumn Day Scenario
5.2.2. Winter Day Scenario
5.3. Multi-Season Simulations
6. Conclusions
Author Contributions
Funding
Acknowledgments
Conflicts of Interest
References
- Bila, M.; Opathella, C.; Venkatesh, B. Grid connected performance of a household lithium-ion battery energy storage system. J. Energy Storage 2016, 6, 178–185. [Google Scholar] [CrossRef]
- Naumann, M.; Karl, R.C.; Truong, C.N.; Jossen, A.; Hesse, H.C. Lithium-ion Battery Cost Analysis in PV-household Application. Energy Procedia 2015, 73, 37–47. [Google Scholar] [CrossRef]
- Raceanu, M.; Bizon, N.; Marinoiu, A.; Varlam, M. Design and Experimental Investigations of an Energy Storage System in Microgrids, Microgrid Architectures. Control. Prot. Methods 2020, 2020, 207–232. [Google Scholar]
- Linssen, J.; Stenzel, P.; Fleer, J. Techno-economic analysis of photovoltaic battery systems and the influence of different consumer load profiles. Appl. Energy 2017, 185, 2019–2025. [Google Scholar] [CrossRef]
- Uddin, K.; Gough, R.; Radcliffe, J.; Marco, J.; Jennings, P. Techno-economic analysis of the viability of residential photovoltaic systems using lithium-ion batteries for energy storage in the United Kingdom. Appl. Energy 2017, 206, 12–21. [Google Scholar] [CrossRef]
- Quoilin, S.; Kavvadias, K.; Mercier, A.; Pappone, I.; Zucker, A. Quantifying self-consumption linked to solar home battery systems: Statistical analysis and economic assessment. Appl. Energy 2016, 182, 58–67. [Google Scholar] [CrossRef]
- Moshövel, J.; Kairies, K.-P.; Magnor, D.; Leuthold, M.; Bost, M.; Gährs, S.; Szczechowicz, E.; Cramer, M.; Sauer, D.U. Analysis of the maximal possible grid relief from PV-peak-power impacts by using storage systems for increased self-consumption. Appl. Energy 2015, 137, 567–575. [Google Scholar] [CrossRef]
- Khalilpour, R.; Vassallo, A. Planning and operation scheduling of PV-battery systems: A novel methodology. Renew. Sustain. Energy Rev. 2016, 53, 194–208. [Google Scholar] [CrossRef]
- Pawel, I. The Cost of Storage—How to Calculate the Levelized Cost of Stored Energy (LCOE) and Applications to Renewable Energy Generation. Energy Procedia 2014, 46, 68–77. [Google Scholar] [CrossRef]
- Galatsopoulos, C.; Papadopoulou, S.; Ziogou, C.; Voutetakis, S. Energy Management Strategy in a Residential Battery Energy Storage System. In Proceedings of the 2018 26th Mediterranean Conference on Control and Automation (MED), Zadar, Croatia, 19–22 June 2018. [Google Scholar]
- Galatsopoulos, C.; Papadopoulou, S.; Ziogou, C.; Trigkas, D.; Yfoulis, C.; Voutetakis, S. Non-Linear Model Predictive Control for Preventing Premature Aging in Battery Energy Storage System. In Proceedings of the 2018 UKACC 12th International Conference on Control (CONTROL), Sheffield, UK, 5–7 September 2018. [Google Scholar]
- Vonsien, S.; Madlener, R. Li-ion battery storage in private households with PV systems: Analyzing the economic impacts of battery aging and pooling. J. Energy Storage 2020, 29, 101407. [Google Scholar] [CrossRef]
- Angenendt, G.; Zurmühlen, S.; Mir-Montazeri, R.; Magnor, D.; Sauer, D.U. Enhancing Battery Lifetime in PV Battery Home Storage System Using Forecast Based Operating Strategies. Energy Procedia 2016, 99, 80–88. [Google Scholar] [CrossRef]
- Iwafune, Y.; Ikegami, T.; da Silva Fonseca, J.G., Jr.; Oozeki, T.; Ogimoto, K. Cooperative home energy management using batteries for a photovoltaic system considering the diversity of households. Energy Convers. Manag. 2015, 96, 322–329. [Google Scholar] [CrossRef]
- Manwell, J.F.; McGowan, J.G. Lead acid battery storage model for hybrid energy systems. Sol. Energy 1993, 50, 399–405. [Google Scholar] [CrossRef]
- Barré, A.; Deguilhem, B.; Grolleau, S.; Gérard, M.; Suard, F.; Riu, D. A review on lithium-ion battery ageing mechanisms and estimations for automotive applications. J. Power Sources 2013, 241, 680–689. [Google Scholar] [CrossRef]
- Stamps, A.T.; Holland, C.E.; White, R.E.; Gatzke, E.P. Analysis of capacity fade in a lithium ion battery. J. Power Sources 2005, 150, 229–239. [Google Scholar] [CrossRef]
- Rezvanizaniani, S.M.; Liu, Z.; Chen, Y.; Lee, J. Review and recent advances in battery health monitoring and prognostics technologies for electric vehicle (EV) safety and mobility. J. Power Sources 2014, 256, 110–124. [Google Scholar] [CrossRef]
- Wenzl, H.; Baring-Gould, I.; Kaiser, R.; Liaw, B.Y.; Lundsager, P.; Manwell, J.; Ruddell, A.; Svoboda, V. Life prediction of batteries for selecting the technically most suitable and cost effective battery. J. Power Sources 2005, 144, 373–384. [Google Scholar] [CrossRef]
- Bloom, I.; Cole, B.W.; Sohn, J.J.; Jones, S.A.; Polzin, E.G.; Battaglia, V.S.; Henriksen, G.L.; Motloch, C.; Richardson, R.; Unkelhaeuser, T.; et al. An accelerated calendar and cycle life study of Li-ion cells. J. Power Sources 2001, 101, 238–247. [Google Scholar] [CrossRef]
- Cui, Y.; Du, C.; Yin, G.; Gao, Y.; Zhang, L.; Guan, T.; Yang, L.; Wang, F. Multi-stress factor model for cycle lifetime prediction of lithium ion batteries with shallow-depth discharge. J. Power Sources 2015, 279, 123–132. [Google Scholar] [CrossRef]
- Wang, J.; Liu, P.; Hicks-Garner, J.; Sherman, E.; Soukiazian, S.; Verbrugge, M.; Tataria, H.; Musser, J.; Finamore, P. Cycle-life model for graphite-LiFePO4 cells. J. Power Sources 2011, 196, 3942–3948. [Google Scholar] [CrossRef]
- Georg Bock, H.; Diehl, M.; Schlöder, J.P.; Allgöwer, F.; Findeisen, R.; Nagy, Z. Real-Time Optimization and Nonlinear Model Predictive Control of Processes Governed by Differential-Algebraic Equations. J. Process. Control. 2000, 12, 577–5851. [Google Scholar] [CrossRef]


















| Variable | Description | Unit |
|---|---|---|
| Qloss | Capacity loss | Ah |
| A | Pre-exponential factor | Ah |
| Ea | Activation energy | J*mol−1 |
| R | Gas constant | J*mol−1K−1 |
| T | Temperature | K |
| n | Number of cycles | |
| z | Cycles exponent |
| ξ1 | ξ2 | ξ3 | ξ4 | ξ5 | ξ6 | ξ7 | ξ8 | ξ9 | ξ10 | ξ11 | ξ12 | ξ13 |
|---|---|---|---|---|---|---|---|---|---|---|---|---|
| 2330 | 1337 | 13,530 | 433 | 337 | 503 | 2223 | 3138 | 15,767 | 3624 | 1419 | 2721 | 11 |
| DOD | Profit during Autumn | Profit during Winter | Profit during Spring | Profit during Summer | Overall Profit (1 Year) | Capacity Loss (1 Year) |
|---|---|---|---|---|---|---|
| 80% | 20.9 € | 20.9 € | 10.75 € | 10.87 € | 63.42 € | 10.12 Ah |
| 70% | 19.25 € | 19.25 € | 9.38 € | 9.53 € | 57.41 € | 8.84 Ah |
| 60% | 16.25 € | 16.25 € | 7.99 € | 8.08 € | 48.57 € | 7.05 Ah |
| 50% | 13.78 € | 13.78 € | 6.58 € | 6.65 € | 40.79 € | 5.26 Ah |
| 40% | 10.98 € | 10.98 € | 5.16 € | 5.22 € | 32.34 € | 3.48 Ah |
© 2020 by the authors. Licensee MDPI, Basel, Switzerland. This article is an open access article distributed under the terms and conditions of the Creative Commons Attribution (CC BY) license (http://creativecommons.org/licenses/by/4.0/).
Share and Cite
Galatsopoulos, C.; Papadopoulou, S.; Ziogou, C.; Trigkas, D.; Voutetakis, S. Optimal Operation of a Residential Battery Energy Storage System in a Time-of-Use Pricing Environment. Appl. Sci. 2020, 10, 5997. https://doi.org/10.3390/app10175997
Galatsopoulos C, Papadopoulou S, Ziogou C, Trigkas D, Voutetakis S. Optimal Operation of a Residential Battery Energy Storage System in a Time-of-Use Pricing Environment. Applied Sciences. 2020; 10(17):5997. https://doi.org/10.3390/app10175997
Chicago/Turabian StyleGalatsopoulos, Charalampos, Simira Papadopoulou, Chrysovalantou Ziogou, Dimitris Trigkas, and Spyros Voutetakis. 2020. "Optimal Operation of a Residential Battery Energy Storage System in a Time-of-Use Pricing Environment" Applied Sciences 10, no. 17: 5997. https://doi.org/10.3390/app10175997
APA StyleGalatsopoulos, C., Papadopoulou, S., Ziogou, C., Trigkas, D., & Voutetakis, S. (2020). Optimal Operation of a Residential Battery Energy Storage System in a Time-of-Use Pricing Environment. Applied Sciences, 10(17), 5997. https://doi.org/10.3390/app10175997

