Next Article in Journal
Introduction of Open-Source Engineering Tools for the Structural Modeling of a Multilayer Mountaineering Ski under Operation
Previous Article in Journal
Theoretical Design of a Novel Vibration Energy Absorbing Mechanism for Cables
 
 
Font Type:
Arial Georgia Verdana
Font Size:
Aa Aa Aa
Line Spacing:
Column Width:
Background:
Article

Efficient Malathion Removal in Constructed Wetlands Coupled to UV/H2O2 Pretreatment

by
Cinthia I. G. Cedillo-Herrera
1,
Adriana Roé-Sosa
2,
Aurora M. Pat-Espadas
3,
Karina Ramírez
1,
Jaime Rochín-Medina
1 and
Leonel E. Amabilis-Sosa
4,*
1
Tecnológico Nacional de México/ITCuliacán, División de Estudios de Posgrado e Investigación, Av. Juan de Dios Bátiz 310, Culiacán 80220, Sinaloa, Mexico
2
Universidad Tecnológica de Culiacán, Coordinación de Tecnología Ambiental, Culiacán 80014, Sinaloa, Mexico
3
CONACYT-UNAM Instituto de Geología, Estación Regional del Noroeste, Avenida Luis D. Colosio esquina Madrid, Hermosillo 83000, Sonora, Mexico
4
CONACYT-Tecnológico Nacional de México/ITCuliacán, División de Estudios de Posgrado e Investigación, Av. Juan de Dios Bátiz 310, Culiacán 80220, Sinaloa, Mexico
*
Author to whom correspondence should be addressed.
Appl. Sci. 2020, 10(15), 5306; https://doi.org/10.3390/app10155306
Submission received: 3 July 2020 / Revised: 26 July 2020 / Accepted: 28 July 2020 / Published: 31 July 2020
(This article belongs to the Section Environmental Sciences)

Abstract

Intensive agriculture has led to the increasing application of pesticides, such as malathion, thus generating large volumes of untreated cropland wastewater (CropWW). In this work, a hybrid system constructed wetlands (CW) coupled in continuous with an optimized UV/H2O2 pretreatment was evaluated for the efficient removal of malathion contained in CropWW. In the first stage, 90 min UV irradiation time (UV IR) and 65 mM hydrogen peroxide (H2O2) were identified as optimal operation parameters through a central composite design. The second stage consisted of CW planted with Phragmites australis collected from the agricultural discharge area and operated as a piston flow reactor. Furthermore, CW hydraulic residence times (HRT) of 1, 2 and 3 days, including hydraulic coupling, were evaluated. The removal efficiencies obtained in the first stage (UV/H2O2) were 94 ± 2.5% of malathion and 45 ± 2.5% of total organic carbon (TOC). In stage two (CW) 65 ± 9.6% TOC removal was achieved during the first 17 days, from which around 24% was associated to the biosorption of malathion byproducts. Subsequently, and until the operation ends, CW removed about 80% of TOC for 2 and 3 days HRT, with no significant differences (p > 0.2), which is higher than those reported in several studies involving only advanced oxidation processes (AOP) with UV IR times above 240 min and even for systems using catalysts. The results obtained indicate that the system UV/H2O2-CW is a technically suitable option for the treatment of CropWW with a high content of malathion mainly found in developing countries. Moreover, the hybrid system proposed also represent significant reduction in the size of the treatment plant.

Graphical Abstract

1. Introduction

Extensive agricultural production implies continuous use of agrochemicals to guarantee pest control and maximize crop yields. Since the 1970s, pesticides have been detected in environmental matrices such as soil, water and in organisms at practically all levels of the food chain due to their bioaccumulative and biomagnifiable characteristics. Even more relevant are their carcinogenic, mutagenic and teratogenic effects [1,2]. Pesticides are classified based on their chemical structure and functional groups as carbamates, organochlorines, organophosphates, pyrethroids and bipyridyls. Currently, organophosphate pesticides are the most widely used insecticides in tropical regions, representing health risks since their mechanism of action inhibits the cholinesterase enzyme [3].
Around seventy percent of the extracted water volume is used for agriculture, hence this economic activity is considered the largest water consumer. In developing countries this volume reaches up to 95%, because irrigation practices do not allow optimal water use [4]. Consequently, a considerable volume of cropland wastewater (CropWW) is generated, which is characterized by low biodegradability and a high concentration of nutrients [5,6]. The CropWW is transported through the infrastructure of agricultural drains to surface water bodies, sometimes ending in the aquifer that supplies water for the population. In both cases, the composition and volume of CropWW discharged generates diffuse discharges difficult to control which causes pollution problems, eutrophication and health risks.
Cereals are one of the primary sources of food around the world. In 2018/19 agricultural cycle, their production amounted to 2653 million tons with an estimated increase of 2.3% for the following cycle [7]. In tropical regions, maize requires between 500 and 800 mm of water layer per cycle [8]. During the cultivation stage, malathion is intensively applied for insect control which is subsequently released into the environment through agricultural drains. Despite its half-life of less than one week, this pesticide has been quantified in agricultural drains and in the vicinity of water bodies and river mouths of neighboring water bodies in concentrations ranging from 0.005 to 3.3 μg/L [9,10].
Chemical formula of malathion is C10H19O6PS2, and it presents chronic and environmental toxicity characteristics; its LC50 for rats by inhalation is 43.8 mg/m3/4 h (PubChem, 2019) [3]. This pesticide class is not as persistent as organochlorines, but its degradation byproducts, such as malaoxon, have a higher bioactivity and toxicity [11,12].
Moreover, CropWWs have a high load of nitrogen and phosphorus from fertilizers, thus causing eutrophication problems in agricultural basins [13]. Therefore, implementation of effective and feasible CropWW treatment is crucial to mitigate water bodies’ pollution.
Ref. [14] reported removal efficiencies of chlorpyrifos, lambda-cyhalothrin and diazinon of 73.3%, 68.9%, 49.1% and 84%, respectively, as chemical oxygen demand (COD) through a photocatalytic process of wastewater from an agrochemical and pesticides company. The authors reported 120 min as optimal irradiation time, and H2O2 and TiO2 concentrations of 1.5 g/L and 2 g/L, respectively.
Ref. [15] measured atrazine degradation (compound with toxicity and application volume similar to malathion) by a UV/ H2O2 system, reaching a complete removal after 30 min of irradiation with 20 mg/L H2O2. However, the concentration of non-biodegradable byproducts increased over time.
Ref. [16] tested organophosphate pesticide removal by different advanced oxidation processes (AOP), such as UV/H2O2, photo-Fenton and ozonation, using concentrations up to 12 and 11 mg/L of malathion and parathion. All treatments tested removed around 100% of both pesticides at 90 min of operation. However, AOP needed high irradiation times (120–300 min) to achieve mineralization, resulting in high operating costs and reagent usage.
On the other hand, constructed wetlands (CWs) are known for their efficiency and versatility in wastewater treatment by the interaction of physical, chemical and biological processes, such as oxidation, reduction, precipitation, sedimentation and adsorption [17]. Recently, these biological treatments have been used for industrial effluents, mine and agricultural drainages as well as the removal of other persistent organic pollutants [18]. Likewise, natural wetlands around cropland drainages have demonstrated to perform a feasible treatment [19].
Because CropWW is characterized by its low biodegradability, conventional CWs are technically limited. Nonetheless, this technology has evolved for treating emerging contaminants by using emerging vegetation and/or local bacterial communities improving their efficiency as bioaugmented CWs [20]. However, this type of CW has not been scaled up mainly because they need high HTR, which implies large land areas.
The technologies available for the treatment of wastewater containing pesticides, for instance AOP and biological systems, offer advantages and some degree of efficiency. Hence, the proper coupling of both technologies would suggest an increase in the removal efficiency and the possible reduction of toxic byproduct formation, as well as reduced area requirements for CWs.
Ref. [6] studied the coupling of CW to photo-Fenton, ferrioxalate and photo-Fenton/TiO2 for the removal of clopyralid contained in synthetic wastewater. Total organic carbon (TOC) removal reached 93, 92 and 87% respectively, almost twice as high as the treatment before the coupling with the biological process. Similarly, [21] coupled a photocatalytic system TiO2-visible light with CW to treat decabromodiphenyl ether. Removal achieved in the combined system (93.6 ± 2.2%) was significantly higher than in the photocatalytic system alone (56.3 ± 2.8%).
The aforementioned, suggest the technical feasibility of treating CropWW using AOP coupled to CWs, since biological systems are characterized by operational robustness to low pH values and byproducts likely to be present in the effluent of AOP. In this context, it is possible to achieve high removal rates, or even mineralization, of organic matter producing an effluent with acceptable characteristics for reuse in the same agricultural areas.
In this study the main objective was to assess technical feasibility of a UV/H2O2-CW coupled system to treat CropWW with high malathion and nutrient loads, which is discharged into agricultural drainages in tropical regions [13]. Before coupling, the AOP was optimized to achieve the highest removal rates as well as a lower energy consumption.

2. Materials and Methods

The hybrid treatment system set up consisted of an UV/H2O2 process coupled to CW. The H2O2 dose and irradiation time were optimized for the AOP. The coupled system was operated in continuous flow, thus the AOP’s effluent was the influent of the CW. Figure 1 shows the general diagram of the coupled treatment system, Section 2.1, Section 2.2 and Section 2.3 give further details of each process including hydraulic coupling.
The influent of hybrid system was synthetic water with the following composition: 41.8 mg/L malathion (commercial malathion), equivalent to 22 mg/L of TOC [16], 2.12 mg/L total phosphorus (TP) (added as KH2PO4) and 0.17 mg/L of total nitrogen (TN) (added as KNO3). The concentrations used were established according to the the maximum effluent concentrations found in crop areas where malathion and fertilizers are widely used [22].

2.1. Pretreatment UV/H2O2 Optimization

The AOP UV/ H2O2 pretreatment was carried out in a stainless-steel recirculation chamber with a diameter of 7 cm and 30 cm length. A 10 W UV mercury lamp at 254 nm coated with optical grade quartz, was installed inside the chamber (Figure 2). Into the UV chamber, H2O2 (30% w/w, industrial grade) was dosed using a peristaltic pump, Kaomer 5V. In order to optimize the system, 10, 30, 60, 90, 120 and 150 min of UV irradiation and H2O2 dosages of 49, 65 and 82 mM were evaluated, considering previous studies on recalcitrant compounds removal by AOPs, in which the kinetics of hydroxyl radicals (●OH) generation were studied [16,23]. The relationship between irradiation time and H2O2 dose was analyzed through the Response Surface methodology with a central composite design using malathion and TOC concentrations as a response variable and desirability function using all quadratic effects interactions.

2.2. Design and Operation of CW

The biological treatment was performed at laboratory scale in subsurface horizontal flow constructed wetlands (SSHFCW). Bioreactors were constructed of acrylic with 0.55 m length, 0.20 m width and 0.35 m total height (Figure 3), with a length-to-width ratio of 2.7:1, proportion suggested in several studies to set up piston flow [24].
The support medium consisted of gravel with a particle diameter of 1.0 cm, equal to 43.33% of porosity [25]. Therefore, the effective volume was 11.37 L. The water inlet was positioned 5 cm below the top surface layer of the support medium and distilled water was added to maintain the operating volume to avoid the increase of dissolved organic matter concentration due to water losses by evapotranspiration.
CWs were planted with Phragmites australis, an adaptable specie to climatic and operational conditions [26]. Morevover, this is the most common vegetation growing in the vicinity of cropland drainages. One stem was planted considering the superficial area as per the recommendations by [20] (see Table 1).
Previous to the coupling of the processes, the biological system was adapted in two phases. The first phase involved hydroponic cultivation of transplanted vegetation from an agricultural drainage. In the second stage vegetation was planted in CW and fed with municipal wastewater collected from the primary sedimentation tanks of a local treatment plant. The influent to the CW was changed to CropWW when the volatile suspended solids concentration was steady [27]. Table 1 shows the main design and operational parameters of the CW system.

2.3. UV/H2O2-CW System Coupling and Analytical Procedures

The flow rate of pre-treatment UV/H2O2 was 18.47 L/d, considering the optimum irradiation time and the photo-reactor volume (1.154 L). Afterward, the UV/H2O2 effluent was conducted to a 143 L homogenization tank, connected to CW (See Figure 1). The effective volume of CW was 11.37 L and hydraulic residence times (HRT) of 1, 2 and 3 days were evaluated. Hence, the removal was calculated according to the total UV/H2O2-CW coupled systems. Every system evaluated was integrated with the same AOP pretreatment, but the CW was operated at different HRT values.
Synthetic CropWW was conducted through the system by a digital filling peristaltic pump CR BT100FJ with silicone tubing with inner diameter 0.76 mm. The hybrid system was operated for 60 days to achieve stable organic matter removal efficiencies, which must be observed in CW operated under continuous flow [27,28].
Malathion concentration was measured with an Agilent 7890A gas chromatography equipped with an HP-5 capillary gas chromatographic column and a Flame Photometric Detector. Nitrogen gas used as a carrier and operation parameters such as a temperature of 300 °C during the chromatographic cycle, a purge time of 0.75 min and injection volumes of 4 µL were according to [29].
Total organic carbon (TOC) was quantified according to American Public Health Association [30] with a LECO CR-412 analyzer TOC-L equipment. The pH and oxidation–reduction potential (ORP) in the water samples were measured using a multi-parameter tester (Hanna HI9828). These water quality parameters were monitored during the different stages of the hybrid system.

2.4. Statistical Analysis

The AOP optimization tests were run with five replicates, and the coupled system UV/H2O2-CW was performed in triplicate. The data obtained from the coupled systems were compared using repeated measures analysis of variance (ANOVA) followed by a Tukey test (α = 0.05).
Response variables were TOC and malathion concentration. Previously, data were evaluated for normality and homoscedasticity with the Anderson–Darling test. The entire statistical analysis was performed using Stat Graphic Centurion XVI.

3. Results and Discussion

3.1. Advanced Oxidation Process UV/H2O2

3.1.1. Malathion and TOC Removal

Figure 4 and Figure 5 show the behavior of malathion and TOC concentration in the AOP. For the three H2O2 doses, malathion removal reaches its highest level, 95 ± 3.2%, with an asymptotic tendency after 90 min of irradiation. However, TOC removal around 50%–60% at 90 and 120 min of irradiation, with H2O2 doses of 82 and 65 mM, respectively, were obtained. The tendency of high malathion removal but low TOC removal (22%–40%) was also observed for the 49 mM H2O2.
The differences between malathion and TOC removal behavior is related to the degradation of pesticide to less complex organic molecules, in terms of chemical structure, but together contributes to the same organic carbon concentration [31]. Regarding TOC removal, it is only observed if the degradation product is CO2, equivalent to mineralization. Results showed that the malathion molecule was practically not detected (Figure 4) at 90 min for 65 and 82 mM H2O2 doses, but the degradation byproducts were quantified as 40 ± 3.2% of TOC initial concentration (Figure 5). Organic byproducts of malathion degradation by AOP are maloxon, malathion dicarboxylate, dimethyl dithiophosphate, dimethyl thiophosphate and methyl thiophosphate, which are quantified as TOC [32].
The formation of the aforementioned byproducts depends on the hydroxyl radicals (●OH), which in photolysis are correlated to the initial concentration of the oxidant reagent, in this case H2O2 [33]. According to the results shown in Figure 4 and Figure 5 the removal tendency for malathion and TOC is remarkably similar for 65 and 82 mM H2O2 (p = 0.09), particularly, after 90 min of irradiation. The results for both doses of H2O2 did not show significant differences (p = 0.13).
Results from the lower dose tested of 49 mM H2O2 demonstrated that 100% of malathion removal can be achieved but it requires 150 min of irradiation (Figure 4). However, this condition exhibited the highest TOC removal at 120 min (p = 0.009), which is associated to H2O2 depletion, since the production of ●OH is limited when consumed completely.
The UV/ H2O2 system achieves its highest removal efficiency at 130 min of irradiation, suggesting consumption of most of the reagent; therefore, a longer HRT does not increase its removal rate (Figure 4 and Figure 5).
The optimal H2O2 dose is in a range 65–82 mM. Thus, addition of H2O2 generates ●OH that enhances the efficiency of dissolved organic matter oxidation [34,35]. Nevertheless, increase reagent amount may affect degradation, since excess peroxide molecules cause competing reactions with organic matter by ●OH, and thus their depletion [36].

3.1.2. Behavior of Physicochemical Parameters

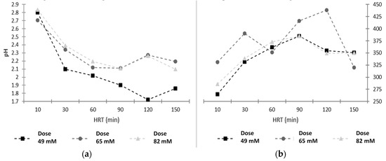
The pH levels in the system remained in acidic condition, below 2.5 units during the AOP (Figure 6a). Such conditions enhance organophosphate pesticides degradation through advanced oxidation processes [37]. The H2O2 oxidation generates ●OH, and in turn releases hydronium ions, responsible for the medium acidification. According to the study results, pH and TOC removal decrease over time (Figure 4, Figure 5 and Figure 6a).
Figure 6b indicates that oxidative conditions were maintained throughout the treatment. Although ORP values did not show a clear trend linked to irradiation time, higher ORP values were observed for the 65 mM of H2O2, which is mainly because H2O2 determines oxidative conditions of the treatment regardless organic matter degradation and/or oxidation of dissolved solids [38,39]. Indeed, efficiencies of malathion and TOC removal with 65 mM were higher than with 82 mM H2O2, despite no statistical difference (p = 0.11). Ref. [40] have evaluated the doses of peroxide in advanced oxidation processes, finding that when the kinetics of decomposition, manifested as a greater amount of ●OH, are greater than degradation kinetics, there is competition for UV light.

3.1.3. Selection of Pretreatment UV/H2O2 Operation Parameters

Figure 7, based on the results of Section 3.1, shows the interaction effects of irradiation time and H2O2 dose on the organic matter removal for optimization. In terms of energy and oxidant reagent consumption, the combination that allows a shorter irradiation time and lower consumption of reagent without compromising the pretreatment removal efficiency was considered.
Hence, 75 and 120 min of UV irradiation and H2O2 dosage between 49 and 65 mM were the optimal conditions to achieve satisfactory removal efficiencies for the subsequent treatment stage. Table 2 describes the more favorable treatment configurations, which were selected to be 90 min with 65 mM, since same removal efficiencies are achieved with higher irradiation time and/or concentration of H2O2. The second option, 90 min and 57 mM, was excluded because TOC and malathion removal efficiencies are lower in comparison with the third option (p = 0.008). Furthermore, such efficiencies are practically equal to the first option, which use shorter irradiation time and reagent volume (Table 2). The third option was selected over the first one, despite the longer irradiation time, because removal efficiency was 50% higher for both malathion and TOC. In this regard, the lowest concentrations of TOC and malathion to be treated in the biological systems were considered in order to reduce the organic load to the CWs which have better performance at low organic loads [5,39].

3.2. UV/H2O2-SSHFCW System

The synthetic CropWW initial concentration (C0), for configurations of the hybrid system, was 41.8 mg/L of malathion and 22 mg/L of TOC. In this section, the only difference between the three UV/H2O2-CW systems evaluated was the HRT in the CW, as it was described in Section 2.3. Figure 8 shows the removal rates in the UV/H2O2-CW systems.
Malathion removal in the hybrid system was 94.7 ± 4, 97.9 ± 2 and 98.3 ± 3% for the wetland HRTs of 1, 2 and 3 days, respectively. Although higher pesticide removal was observed at longer HRT in CW, there was not significant difference (p = 1.2), since removal mainly occurred in the AOP pretreatment which was the same for all three systems. In fact, this pretreatment achieved between 95% and 100% of malathion removal with the operational parameters selected.
Regarding TOC, the three CW configurations coupled to UV/H2O2 pretreatment achieved 65 ± 8.3% TOC removal at 17 operation days, which is 15% more than the AOP as the unique treatment. The results obtained suggest that a portion of malathion by-products, generated during the AOP, were removed in CW by some mechanism other than biodegradation, since HRT would influence the removal efficiency in biological systems (time contact microorganisms-contaminant). Some authors have reported that particles or surfaces of organic–inorganic nature can adsorb organic persistent molecules such as pesticides, drugs and their cyclic byproducts by Van Der Waals forces and/or physisorption, as occurs in soils and sediments [42,43]. In CWs, sorption processes can occur in support media, due to occluded and interstitial porosity. In addition, sorption also occurs on hydroxyalkanoates and hydroxybutyrates, main compounds of microbial biofilm [44,45] and onto the root exudates of vegetation rhizomes [44,46].
Regarding TOC removal, the performance of the UV/H2O2-CW operated with 1 d HRT was significantly lower than the other two systems (p = 0.0015), which is mainly because the recommended HRT for CW range from 1.5 to 4 days.
In fact, in a non-aerated attached-biomass reactor, catabolic processes are not observed before one day HRT [18,47]. Furthermore, this hybrid system did not show any trend throughout the experiment (Figure 8), so it is likely that the removal achieved in the CW was due to sorption and biosorption.
The UV/H2O2-CW operated with 2 and 3 d HRT have no significant differences between removals (p = 0.2). Both systems were stable before 40 days of operation when the maximum variation is ±10%, acceptable for secondary wastewater treatment systems [18]. TOC removal efficiency achieved in both systems was 80 ± 6.9%, which is higher than the value reported for biological systems treating pesticides [48] and similar to that reported for AOP operated with high irradiation times of 150–300 min [16,17,18,19,20,21,22,23,24,25,26,27,28,29,30,31,32,33,34,35,36,37,38,39,40,41,42,43,44,45,46,47,48,49].
The similar results obtained for systems operated with 2 and 3d HRT during the second stage, was probably due to the recalcitrant nature of some pesticide byproducts. Therefore, microorganisms can no longer degrade or mineralize the compounds even after a long time contact, thus TOC concentration does not decrease with higher HRT. Some studies have suggested the degradation of malathion to phosphorylated thiol groups before mineralization [11,12], but these compounds are barely biodegradable due to their bactericidal effect [50].
On the other hand, authors have highlighted that the importance of vegetation in CW resides in the rhizosphere, especially in rhizospheric bacterial strains [51,52]. The vegetation planted in the CWs was collected from agricultural drains where organophosphate pesticides and traces of organochlorines have been reported [22]. This suggests that rhizospheric bacteria could be tolerant to pesticides and even assimilate them, as it has been demonstrated for in vitro studies [53] and bioreactors [54] that the adapted bacteria promoted higher removal rates and, therefore, lower HRT requirements. Nonetheless, this fact requires evaluation in future research.

4. Conclusions

A sequentially coupled UV/H2O2-CW was successfully used for the treatment of synthetic cropland wastewater containing malathion. Based on the results, the following points are concluded:
  • In the first stage, the UV/H2O2 system optimization resulted in the removal of most malathion content in a shorter time of period than the reported for other AOP, including those using catalysts. The TOC remaining after this stage was mainly attributed to the formation of byproducts.
  • The UV/H2O2-CW system removed an average of 65% TOC during the first 17 operation days without significant difference (p > 0.05) among the HRTs used in constructed wetlands related to biosorption processes. Nevertheless, the system with the lower HRT value did not increase its efficiency or reach stability over time.
  • The UV/H2O2-CW system operated with 2 and 3 d HRT in CW, reached 80 ± 6.9% TOC removal, which is equivalent to value achieved by novelty prototypes based on the combination of two or more AOP.
  • The overall results demonstrated that CWs planted with native vegetation from cropland and coupled in continuous flow to UV/H2O2 pretreatment is a technically feasible option to treat CropWW containing malathion.
  • Future research efforts regarding toxicity, degradation pathways and quantification of other recalcitrant compounds, even at trace levels, are needed to better understand the treatment process.
  • Long term evaluation of in situ pilot-scale systems treating real wastewater would be necessary to evaluate the economic feasibility of the large-scale system. An economic comparison between the proposed hybrid system and the conventional advanced oxidation will help to confirm if the one proposed in this research is less costly as is expected.

Supplementary Materials

Supplementary File 1

Author Contributions

C.I.G.C.-H.: Data curation and writing original draft. A.R.-S.: Data curation and conceptualization. A.M.P.-E.: Writing, review and editing. K.R.: Writing, review and editing. J.R.-M.: Data curation and methodology. L.E.A.-S.: Conceptualization, methodology, writing-original draft and project administration. All authors have read and agreed to the published version of the manuscript.

Funding

This research was financially supported by CONACYT projects Problemas Nacionales 2017-1 ID 5020 and is part of Cátedras CONACYT Ref. 2572.

Acknowledgments

The first and second authors acknowledge the technical facilities provided through to Proyecto interno de la Universidad Tecnológica de Culiacán 2019–2020. Likewise, all authors are grateful for the support given by Asociación de Usuarios Productores Agrícolas El Grande Módulo II-3.

Conflicts of Interest

The authors declare no conflict of interest.

References

  1. Abraham, J.; Silambarasan, S.; Logeswari, P. Simultaneous degradation of organophosphorus and organochlorine pesticides by bacterial consortium. J. Taiwan Inst. Chem. Eng. 2014, 45, 2590–2596. [Google Scholar] [CrossRef]
  2. Adak, A.; Das, I.; Mondal, B.; Koner, S.; Datta, P.; Blaney, L. Degradation of 2, 4-dichlorophenoxyacetic acid by UV 253.7 and UV-H2O2: Reaction kinetics and effects of interfering substances. Emerg. Contam. 2019, 5, 53–60. [Google Scholar] [CrossRef]
  3. Alalm, M.; Tawfik, A.; Ookawara, S. Comparison of solar TiO2 photocatalysis and solar photo-Fenton for treatment of pesticides industry wastewater: Operational conditions, kinetics, and costs. J. Water Process Eng. 2015, 8, 55–63. [Google Scholar] [CrossRef]
  4. Amabilis-Sosa, L.E.; Moeller-Chávez, G.; Siebe, C.; Durán-Domínguez-de-Bazúa, M.C. Accumulation and distribution of lead and chromium in laboratory-scale constructed wetlands inoculated with metal-tolerant bacteria. Int. J. Phytoremediat. 2015, 17, 1090–1096. [Google Scholar] [CrossRef] [PubMed]
  5. APHA. American Public Health Association. Standard Methods for the Examination of Water and Wastewater, 4th ed.; Cambridge Scholars Publishing: Cambridge, UK, 2009; ISBN 1151367729. [Google Scholar]
  6. Azarian, G.; Rahmani, A.; Atashzaban, Z.; Nematollahi, D. New batch electro-coagulation process for treatment and recovery of high organic load and low volume egg processing industry wastewater. Process Saf. Environ. Prot. 2018, 119, 96–103. [Google Scholar] [CrossRef]
  7. Benito, A.; Penadés, A.; Lliberia, J.L.; Gonzalez-Olmos, R. Degradation pathways of aniline in aqueous solutions during electrooxidation with BDD electrodes and UV/H2O2 treatment. Chemosphere 2017, 166, 230–237. [Google Scholar] [CrossRef]
  8. Berberidou, C.; Kitsiou, V.; Lambropoulou, D.; Antoniadis, A.; Ntonou, E.; Zalidis, G.; Poulios, I. Evaluation of an alternative method for wastewater treatment containing pesticides using solar photocatalytic oxidation and constructed wetlands. J. Environ. Manag. 2017, 195, 133–139. [Google Scholar] [CrossRef]
  9. Berlanga, M.; Guerrero, R. Living together in biofilms: The microbial cell factory and its biotechnological implications. Microb. Cell Factories 2016, 15, 165–175. [Google Scholar] [CrossRef]
  10. Changotra, R.; Rajput, H.; Dhir, A. Treatment of real pharmaceutical wastewater using combined approach of Fenton applications and aerobic biological treatment. J. Photochem. Photobiol. A 2019, 374, 175–184. [Google Scholar] [CrossRef]
  11. Choi, H.; Kim, D.; Lee, T. Photochemical degradation of atrazine in UV and UV/H2O2 process: Pathways and toxic effects of products. J. Environ. Sci. Health B 2013, 48, 927–934. [Google Scholar] [CrossRef] [PubMed]
  12. Chow, K.; Man, Y.; Tam, N.; Liang, Y.; Wong, M. Removal of decabromodiphenyl ether (BDE-209) using a combined system involving TiO2 photocatalysis and wetland plants. J. Hazard. Mater. 2017, 322, 263–269. [Google Scholar] [CrossRef] [PubMed]
  13. Dan, A.; Fujii, D.; Soda, S.; Machimura, T.; Ike, M. Removal of phenol, bisphenol A, and 4-tert-butylphenol from synthetic landfill leachate by vertical flow constructed wetlands. Sci. Total Environ. 2017, 578, 566–576. [Google Scholar] [CrossRef]
  14. FAO. Food and Agriculture Organization of the United Nations. In Specifications and Evaluations from Agricultural Pesticides; WHO Press: Geneva, Switzerland, 2013. [Google Scholar]
  15. FAO. Food and Agriculture Organization of the United Nations. 2020. Available online: http://www.fao.org/worldfoodsituation/csdb/es/ (accessed on 10 May 2020).
  16. Femia, J.; Mariani, M.; Zalazar, C.; Tiscornia, I. Photodegradation of chlorpyrifos in water by UV/H2O2 treatment: Toxicity evaluation. Water Sci. Technol. 2013, 68, 2279–2286. [Google Scholar] [CrossRef] [PubMed]
  17. Geed, S.; Kureel, M.; Giri, B.; Singh, R.; Rai, B. Performance evaluation of Malathion biodegradation in batch and continuous packed bed bioreactor (PBBR). Bioresour. Technol. 2017, 227, 56–65. [Google Scholar] [CrossRef]
  18. Giannakis, S.; Vives, F.; Grandjean, D.; Magnet, A.; De Alencastro, L.; Pulgarin, C. Effect of advanced oxidation processes on the micropollutants and the effluent organic matter contained in municipal wastewater previously treated by three different secondary methods. Water Res. 2015, 84, 295–306. [Google Scholar] [CrossRef]
  19. Gilden, R.; Huffling, K.; Sattler, B. Pesticides and health risks. J. Obstet. Gynecol. Neonatal Nurs. 2010, 39, 103–110. [Google Scholar] [CrossRef]
  20. Grant, J.; Hofmann, R. A comparative study of the hydroxyl radical scavenging capacity of activated sludge and membrane bioreactor wastewater effluents. Water Sci. Technol. 2016, 73, 2067–2073. [Google Scholar] [CrossRef]
  21. Guo, C.; Dong, B.; Liu, J.; Liu, F. The best indicator of hydraulic short-circuiting and mixing of constructed wetlands. Water Pract. Technol. 2015, 10, 505–516. [Google Scholar] [CrossRef]
  22. Huang, X.; Liu, C.; Li, K.; Su, J.; Zhu, G.; Liu, L. Performance of vertical up-flow constructed wetlands on swine wastewater containing tetracyclines and tet genes. Water Res. 2015, 70, 109–117. [Google Scholar] [CrossRef]
  23. Kadlec, R.H.; Knight, R.; Vymazal, J.; Brix, H.; Cooper, P.; Haberl, R. Constructed Wetlands for Pollution Control; Process, Performance, Design and Operation; IWA Publishing in Scientific and Technical Report Series: London, UK, 2017. [Google Scholar]
  24. Kanakaraju, D.; Glass, B.; Oelgemöller, M. Advanced oxidation process-mediated removal of pharmaceuticals from water: A review. J. Environ. Manag. 2018, 219, 189–207. [Google Scholar] [CrossRef]
  25. Lehl, H.; Ong, S.; Ho, L.; Wong, Y.; Saad, F.; Oon, Y.L.; Oon, Y.S.; Thung, W.E.; Yong, C. Decolorization and mineralization of Amaranth dye using multiple zoned aerobic and anaerobic baffled constructed wetland. Int. J. Phytoremediat. 2017, 19, 725–731. [Google Scholar] [CrossRef] [PubMed]
  26. Bejarano González, F. Los Plaguicidas Altamente Peligrosos En México; Red de Acción sobre Plaguicidas y Alternativas en México, AC (RAPAM): Texcoco, México, 2018; pp. 197–207. [Google Scholar]
  27. Li, W.; Zhao, Y.; Yan, X.; Duan, J.; Saint, C.; Beecham, S. Pathway and toxicity assessment of malathion in aqueous solution during UV photolysis and photocatalysis. Chemosphere 2019, 234, 204–214. [Google Scholar] [CrossRef]
  28. Liu, T.; Xu, S.; Lu, S.; Qin, P.; Bi, B.; Ding, H.; Liu, Y.; Guo, X.; Liu, X. A review on removal of organophosphorus pesticides in constructed wetland: Performance, mechanism and influencing factors. Sci. Total Environ. 2019, 651, 2247–2268. [Google Scholar] [CrossRef] [PubMed]
  29. Lv, T.; Carvalho, P.N.; Zhang, L.; Zhang, Y.; Button, M.; Arias, C.A.; Weber, K.P.; Brix, H. Functionality of microbial communities in constructed wetlands used for pesticide remediation: Influence of system design and sampling strategy. Water Res. 2017, 110, 241–251. [Google Scholar] [CrossRef] [PubMed]
  30. Machado, A.; Dordio, A.; Fragoso, R.; Leitão, A.; Duarte, E. Furosemide removal in constructed wetlands: Comparative efficiency of LECA and Cork granulates as support matrix. J. Environ. Manag. 2017, 203, 422–428. [Google Scholar] [CrossRef]
  31. Martini, J.; Orge, C.A.; Faria, J.L.; Pereira, M.F.R.; Soares, O.S.G.P. Catalytic Advanced Oxidation Processes for Sulfamethoxazole Degradation. Appl. Sci. 2019, 9, 2652. [Google Scholar] [CrossRef]
  32. Mendivil-García, K.; Amabilis-Sosa, L.E.; Rodríguez-Mata, A.E.; Rangel-Peraza, J.G.; Gonzalez-Huitron, V.; Cedillo-Herrera, C.I.G. Assessment of intensive agriculture on water quality in the Culiacán river basin, Sinaloa, México. Environ. Sci. Pollut. Res. 2020, 1–13. [Google Scholar] [CrossRef]
  33. Menon, R.; Jackson, C.; Holland, M. The influence of vegetation on microbial enzyme activity and bacterial community structure in freshwater constructed wetland sediments. Wetlands 2013, 33, 365–378. [Google Scholar] [CrossRef]
  34. Miklos, D.; Remy, C.; Jekel, M.; Linden, K.; Drewes, J.; Hübner, U. Evaluation of advanced oxidation processes for water and wastewater treatment—A critical review. Water Res. 2018, 139, 118–131. [Google Scholar] [CrossRef]
  35. Mohapatra, D.P.; Brar, S.K.; Tyagi, R.D.; Picard, P.; Surampalli, R.Y. Analysis and advanced oxidation treatment of a persistent pharmaceutical compound in wastewater and wastewater sludge-carbamazepine. Sci. Total Environ. 2014, 470, 58–75. [Google Scholar] [CrossRef]
  36. Mostafalou, S.; Abdollahi, M. Pesticides and human chronic diseases: Evidences, mechanisms, and perspectives. Toxicol. Appl. Pharmacol. 2013, 268, 157–177. [Google Scholar] [CrossRef] [PubMed]
  37. Nasseri, S.; Borna, M.O.; Esrafili, A.; Kalantary, R.R.; Kakavandi, B.; Sillanpää, M.; Asadi, A. Photocatalytic degradation of malathion using Zn 2+-doped TiO 2 nanoparticles: Statistical analysis and optimization of operating parameters. Appl. Phys. A 2018, 124, 175. [Google Scholar] [CrossRef]
  38. Ortiz-Marin, A.D.; Amabilis-Sosa, L.E.; Bandala, E.R.; Guillén-Garcés, R.A.; Treviño-Quintanilla, L.G.; Roé-Sosa, A.; Moeller-Chávez, G.E. Using sequentially coupled UV/H2O2-biologic systems to treat industrial wastewater with high carbon and nitrogen contents. Process Saf. Environ. Prot. 2020, 137, 192–199. [Google Scholar] [CrossRef]
  39. Pat-Espadas, A.M.; Loredo Portales, R.; Amabilis-Sosa, L.E.; Gómez, G.; Vidal, G. Review of Constructed Wetlands for Acid Mine Drainage Treatment. Water 2018, 10, 1685. [Google Scholar] [CrossRef]
  40. PubChem. National Center for Biotechnology Information. 2019. Available online: https://pubchem.ncbi.nlm.nih.gov/compound/Malathion (accessed on 2 April 2020).
  41. Rezania, S.; Park, J.; Rupani, P.F.; Darajeh, N.; Xu, X.; Shahrokhishahraki, R. Phytoremediation potential and control of Phragmites australis as a green phytomass: An overview. Environ. Sci. Pollut. Res. 2019, 26, 7428–7441. [Google Scholar] [CrossRef]
  42. Rodríguez-Mata, A.E.; Amabilis-Sosa, L.E.; Roé-Sosa, A.; Barrera-Andrade, J.M.; Rangel-Peraza, J.G.; Salinas-Juárez, M.G. Quantification of recalcitrant organic compounds during their removal test by a novel and economical method based on chemical oxygen demand analysis. Korean J. Chem. Eng. 2019, 36, 423–432. [Google Scholar] [CrossRef]
  43. Savva, A.; Frenken, K. Crop Water Requirements and Irrigation Scheduling; FAO Food and Agriculture Organization of the United Nations: Harare, Zimbabwe, 2020. [Google Scholar]
  44. Senoro, D.B.; Maravillas, S.L.; Ghafari, N.; Rivera, C.C.; Quiambao, E.C.; Lorenzo, M.C. Modeling of the residue transport of lambda cyhalothrin, cypermethrin, malathion and endosulfan in three different environmental compartments in the Philippines. Sustain. Environ. Res. 2016, 26, 168–176. [Google Scholar] [CrossRef]
  45. Sgroi, M.; Pelissari, C.; Roccaro, P.; Sezerino, P.H.; García, J.; Vagliasindi, F.G.; Ávila, C. Removal of organic carbon, nitrogen, emerging contaminants and fluorescing organic matter in different constructed wetland configurations. Chem. Eng. J. 2018, 332, 619–627. [Google Scholar] [CrossRef]
  46. Siebert, S.; Henrich, V.; Frenken, K.; Burke, J. Update of the Digital Global Map of Irrigation Areas to Version 5; Rheinische Friedrich-Wilhelms-Universität, Bonn, Germany and Food and Agriculture Organization of the United Nations: Roma, Italy, 2013. [Google Scholar]
  47. Singh, B.; Kaur, J.; Singh, K. Microbial degradation of an organophosphate pesticide, malathion. Crit. Rev. Microbiol. 2014, 40, 146–154. [Google Scholar] [CrossRef]
  48. Singh, T.; Singh, D. Lindane degradation by root epiphytic bacterium Achromobacter sp. strain A3 from Acorus calamus and characterization of associated proteins. Int. J. Phytoremediat. 2019, 21, 419–424. [Google Scholar] [CrossRef]
  49. USEPA. US Environmental Protection Agency. Hazardous Waste Test Methods /SW-846. 2007. Available online: https://www.epa.gov/hw-sw846/sw-846-test-method-8141b-organophosphorus-compounds-gas-chromatography (accessed on 11 April 2020).
  50. Vandermaesen, J.H.; Horemans, B.; Bers, K.; Vandermeeren, P.; Herrmann, S.; Sekhar, A.; Seuntjens, P.; Springael, D. Application of biodegradation in mitigating and remediating pesticide contamination of freshwater resources: State of the art and challenges for optimization. Appl. Microbiol. Biotechnol. 2016, 100, 7361–7376. [Google Scholar] [CrossRef] [PubMed]
  51. Wang, C.; Liu, B.; Xu, D.; Zhang, D.; He, F.; Zhou, Q.; Wu, Z. Mitigation Wastewater-Borne Chlorpyrifos in Constructed Wetlands: The Role of Vegetation on Partitioning. Pol. J. Environ. Stud. 2017, 26, 347–354. [Google Scholar] [CrossRef]
  52. Wang, C.; Liu, B.; Xu, D.; Zhang, L.; He, F.; Zhou, Q.; Wu, Z. Mitigation of wastewater-borne chorpyrifos in constructed wetlands: An ecological suitability assessment by macrophyte and microbial responses. Pol. J. Environ. Stud. 2017, 26, 1279–1287. [Google Scholar] [CrossRef]
  53. Weber, K.; Legge, R. Comparison of the catabolic activity and catabolic profiles of rhizospheric, gravel-associated and interstitial microbial communities in treatment wetlands. Water Sci. Technol. 2013, 67, 886–893. [Google Scholar] [CrossRef] [PubMed]
  54. WEF Water Environment Federation; Environmental and Water Resource Institute. Biological Nutrient Removal (BNR) Operation in Wastewater Treatment Plants; American Society of Civil Engineers: Reston, VA, USA; McGraw-Hill: New York, NY, USA, 2018. [Google Scholar]
Figure 1. Hybrid system general diagram during experimental setup and operation. Q = volumetric flow and HRT = hydraulic residence time.
Figure 1. Hybrid system general diagram during experimental setup and operation. Q = volumetric flow and HRT = hydraulic residence time.
Applsci 10 05306 g001
Figure 2. Advanced oxidation process UV/H2O2 used as constructed wetland system pretreatment. HP = peroxide hydrogen and SSHFCW = subsurface horizontal flow constructed wetland.
Figure 2. Advanced oxidation process UV/H2O2 used as constructed wetland system pretreatment. HP = peroxide hydrogen and SSHFCW = subsurface horizontal flow constructed wetland.
Applsci 10 05306 g002
Figure 3. Schematic diagram of experimental subsurface horizontal flow constructed wetlands.
Figure 3. Schematic diagram of experimental subsurface horizontal flow constructed wetlands.
Applsci 10 05306 g003
Figure 4. Removal of malathion by UV/H2O2-advanced oxidation process at three different H2O2 dosage. The values represent the mean values of five replicates with their standard deviation. Ce = malathion concentration at time t (0, 10, 30, 60, 90, 120 or 150 min), C0 = initial malathion concentration (In this research = 22 mg/L).
Figure 4. Removal of malathion by UV/H2O2-advanced oxidation process at three different H2O2 dosage. The values represent the mean values of five replicates with their standard deviation. Ce = malathion concentration at time t (0, 10, 30, 60, 90, 120 or 150 min), C0 = initial malathion concentration (In this research = 22 mg/L).
Applsci 10 05306 g004
Figure 5. Total organic carbon (TOC) behavior during malathion removal by UV/H2O2-advanced oxidation process at three different H2O2 dosage. The values represent the mean values of five replicates with their standard deviation. Ce = TOC concentration at time t (0, 10, 30, 60, 90, 120 or 150 min), C0 = initial TOC concentration (In this research = 41.8 mg/L).
Figure 5. Total organic carbon (TOC) behavior during malathion removal by UV/H2O2-advanced oxidation process at three different H2O2 dosage. The values represent the mean values of five replicates with their standard deviation. Ce = TOC concentration at time t (0, 10, 30, 60, 90, 120 or 150 min), C0 = initial TOC concentration (In this research = 41.8 mg/L).
Applsci 10 05306 g005
Figure 6. Pshysicochemical parameters behavior in UV/H2O2-advanced oxidation process at three different H2O2 dosage during malathion removal. The values represent the mean values of five replicates. (a) pH and (b) oxidation–reduction potential.
Figure 6. Pshysicochemical parameters behavior in UV/H2O2-advanced oxidation process at three different H2O2 dosage during malathion removal. The values represent the mean values of five replicates. (a) pH and (b) oxidation–reduction potential.
Applsci 10 05306 g006
Figure 7. Effect of the combination of H2O2 doses and different UV irradiation times over the concentration of (a) TOC and (b) malathion. The dotted line box indicates the region with high removal but takes into consideration the shortest possible irradiation times and peroxides dosage.
Figure 7. Effect of the combination of H2O2 doses and different UV irradiation times over the concentration of (a) TOC and (b) malathion. The dotted line box indicates the region with high removal but takes into consideration the shortest possible irradiation times and peroxides dosage.
Applsci 10 05306 g007
Figure 8. TOC behavior dosage during malathion removal in hybrid UV/H2O2-CW system at three hydraulic retention times used for the CW stage. The values represent the mean values of three replicates. Ce = TOC concentration at time t (operation days), C0 = initial TOC concentration (the value corresponds to the AOP effluent).
Figure 8. TOC behavior dosage during malathion removal in hybrid UV/H2O2-CW system at three hydraulic retention times used for the CW stage. The values represent the mean values of three replicates. Ce = TOC concentration at time t (operation days), C0 = initial TOC concentration (the value corresponds to the AOP effluent).
Applsci 10 05306 g008
Table 1. Constructed wetland (CW) operational conditions. In vegetation density, 9 stem/m2 is resulted of planting one stem in the 0.11 m2 of superficial area.
Table 1. Constructed wetland (CW) operational conditions. In vegetation density, 9 stem/m2 is resulted of planting one stem in the 0.11 m2 of superficial area.
FeaturesUnitsBioreactor 1Bioreactor 2Bioreactor 3
Cross section aream20.070.070.07
Vegetation densityStem/m2999
Hydraulic residence timedays123
Organic loadgCOD/(m2 d)12.226.114.07
Table 2. Potential combinations of irradiation time and H2O2 dose during the pretreatment operation, considering both malathion and TOC removal. Note: This table is modified from the result of the response surface design analysis, where the confidence intervals are bilateral to estimate the effect of higher and lower levels.
Table 2. Potential combinations of irradiation time and H2O2 dose during the pretreatment operation, considering both malathion and TOC removal. Note: This table is modified from the result of the response surface design analysis, where the confidence intervals are bilateral to estimate the effect of higher and lower levels.
Pretreatment OptionIrradiation Time, MinHydrogen Peroxide, mMTOC Removal, %Malathion Removal, %
1754930–4070–80
2905740–5070–80
3906550–6090–100
41206550–6090–100

Share and Cite

MDPI and ACS Style

Cedillo-Herrera, C.I.G.; Roé-Sosa, A.; Pat-Espadas, A.M.; Ramírez, K.; Rochín-Medina, J.; Amabilis-Sosa, L.E. Efficient Malathion Removal in Constructed Wetlands Coupled to UV/H2O2 Pretreatment. Appl. Sci. 2020, 10, 5306. https://doi.org/10.3390/app10155306

AMA Style

Cedillo-Herrera CIG, Roé-Sosa A, Pat-Espadas AM, Ramírez K, Rochín-Medina J, Amabilis-Sosa LE. Efficient Malathion Removal in Constructed Wetlands Coupled to UV/H2O2 Pretreatment. Applied Sciences. 2020; 10(15):5306. https://doi.org/10.3390/app10155306

Chicago/Turabian Style

Cedillo-Herrera, Cinthia I. G., Adriana Roé-Sosa, Aurora M. Pat-Espadas, Karina Ramírez, Jaime Rochín-Medina, and Leonel E. Amabilis-Sosa. 2020. "Efficient Malathion Removal in Constructed Wetlands Coupled to UV/H2O2 Pretreatment" Applied Sciences 10, no. 15: 5306. https://doi.org/10.3390/app10155306

APA Style

Cedillo-Herrera, C. I. G., Roé-Sosa, A., Pat-Espadas, A. M., Ramírez, K., Rochín-Medina, J., & Amabilis-Sosa, L. E. (2020). Efficient Malathion Removal in Constructed Wetlands Coupled to UV/H2O2 Pretreatment. Applied Sciences, 10(15), 5306. https://doi.org/10.3390/app10155306

Note that from the first issue of 2016, this journal uses article numbers instead of page numbers. See further details here.

Article Metrics

Back to TopTop