Uptake of Potentially Toxic Elements by Four Plant Species Suitable for Phytoremediation of Turin Urban Soils
Abstract
1. Introduction
- Phytoextraction, that uses pollutant-accumulating plants to absorb contaminants from soil by concentrating them in the harvestable biomass;
- Phytodegradation, that is related to the use of plants and associated microorganisms to degrade organic pollutants;
- Rhizofiltration, that utilizes plant roots to absorb pollutants, mainly metals, from water and aqueous waste streams;
- Phytostabilization, that refers to the use of plants to reduce the bioavailability of pollutants in the environment; and
- determination of the metal concentration in plant tissues;
- assessment of the best extracted elements and of the possible selectivity of plant species towards some of them; and
- identification of the main accumulation site in the plant, root or aerial parts, with the latter representing the best condition in the case of an experiment in the field as leaves and stems are the easiest part to collect and dispose of.
2. Materials and Methods
2.1. Apparatus and Reagents
2.2. Soil Sampling and Characterization
2.3. Plants, Growth Conditions and Phytoextraction Assessment
2.4. Data Analysis
3. Results and Discussion
3.1. Soil Characterization
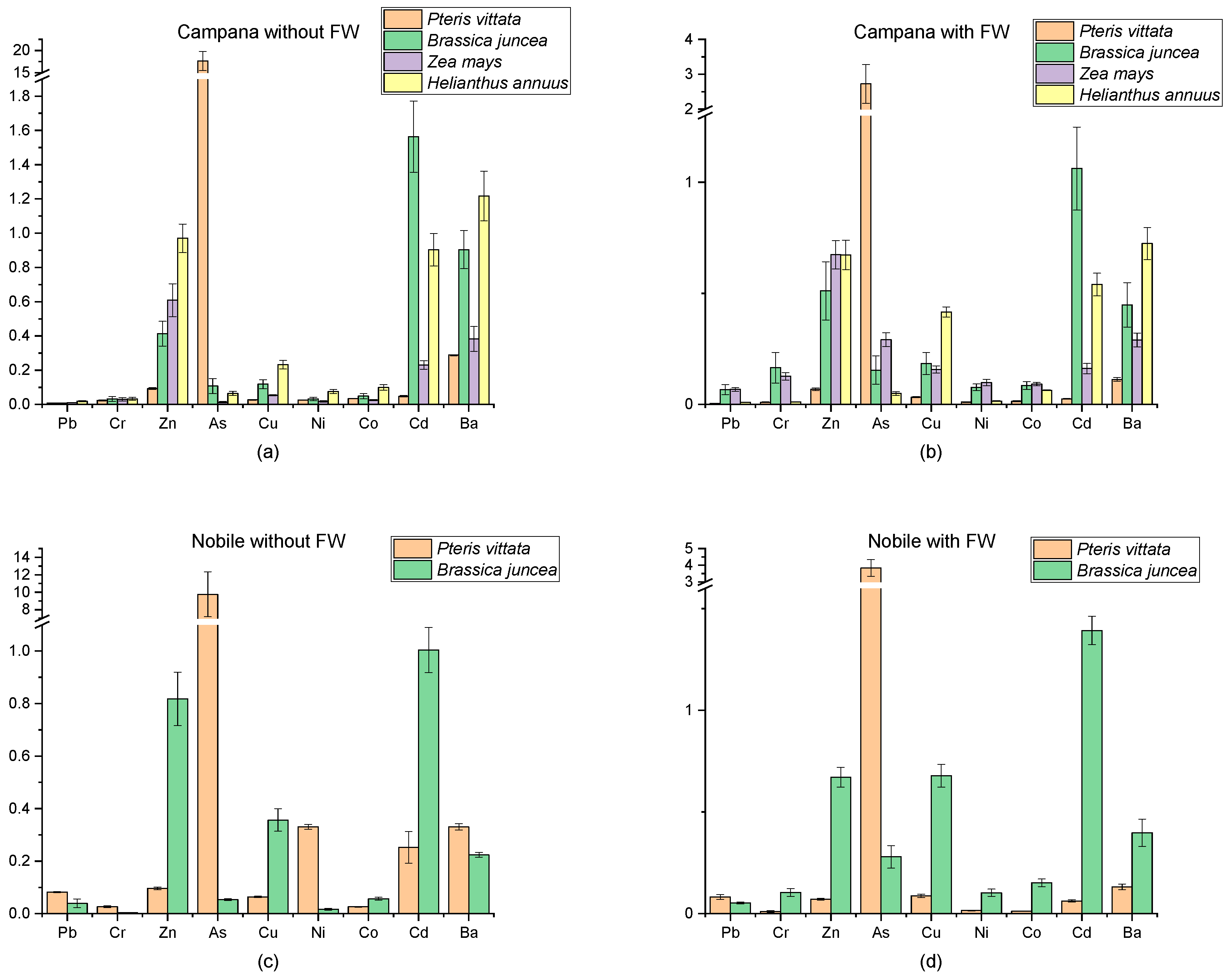
3.2. Pot Experiments
4. Conclusions
Supplementary Materials
Author Contributions
Funding
Acknowledgments
Conflicts of Interest
References
- Orsini, F.; Kahane, R.; Nono-Womdim, R.; Gianquinto, G. Urban agriculture in the developing world: A review. Agron. Sustain. Dev. 2013, 33, 695–720. [Google Scholar] [CrossRef]
- Szolnoki, Z.; Farsang, A.; Puskas, I. Cumulative impacts of human activities on urban garden soils: Origin and accumulation of metals. Environ. Pollut. 2013, 177, 106–115. [Google Scholar] [CrossRef]
- Mitchell, R.G.; Spliethoff, H.M.; Ribaudo, L.N.; Lopp, D.M.; Shayler, H.A.; Marquez-Bravo, L.G.; Lambert, V.T.; Ferenz, G.S.; Russell-Anelli, J.M.; Stone, E.B.; et al. Lead (Pb) and other metals in New York City community garden soils: Factors influencing contaminant distributions. Environ. Pollut. 2014, 187, 162–169. [Google Scholar] [CrossRef]
- Norra, S.; Weber, A.; Kramar, U.; Stuben, D. Mapping of trace metals in urban soils. J. Soils Sediments 2001, 1, 77–97. [Google Scholar]
- Wong, C.S.C.; Li, X.; Thornton, I. Urban environmental geochemistry of trace metals. Environ. Pollut. 2006, 142. [Google Scholar] [CrossRef] [PubMed]
- Samsøe-Petersen, L.; Larsen, E.H.; Larsen, P.B.; Bruun, P. Uptake of Trace Elements and PAHs by Fruit and Vegetables from Contaminated Soils. Environ. Sci. Technol. 2002, 36, 3057–3063. [Google Scholar] [CrossRef]
- Bhargava, A.; Carmona, F.F.; Bhargava, M.; Srivastava, S. Approaches for enhanced phytoextraction of heavy metals. J. Environ. Manag. 2012, 105, 103–120. [Google Scholar] [CrossRef]
- Seth, C.S.; Misra, V.; Chauhan, L.K.S. Accumulation, detoxification, and genotoxicity of heavy metals in Indian mustard (Brassica juncea L.). Int. J. Phytorem. 2012, 14. [Google Scholar] [CrossRef]
- Ali, H.; Khan, E.; Sajad, M.A. Phytoremediation of heavy metals—Concepts and applications. Chemosphere 2013, 91, 869–881. [Google Scholar] [CrossRef]
- Greipsson, S. Phytoremediation. Nat. Educ. Knowl. 2011, 3, 7. [Google Scholar]
- Subhashini, V.; Swamy, A.V.V.S. Phytoremediation of Pb and Ni Contaminated Soils Using Catharanthus roseus (L.). Univers. J. Environ. Res. Technol. 2013, 3, 465–472. [Google Scholar]
- Salt, D.E.; Smith, R.D.; Raskin, I. Phytoremediation. Annu. Rev. Plant Physiol. Plant Molocular Biol. 1998, 49, 643–668. [Google Scholar] [CrossRef] [PubMed]
- Pilon-Smits, E. Phytoremediation. Annu. Rev. Plant Biol. 2005, 56, 15–39. [Google Scholar] [CrossRef] [PubMed]
- Keller, C.; Hammer, D.; Kayser, A. Root development and heavy metal phytoextraction efficiency: Comparison of different plant species in the field. Plant Soil 2003, 249, 67–81. [Google Scholar] [CrossRef]
- McGrath, S.P.; Zhao, F.-J. Phytoextraction of metals and metalloids from contaminated soils. Curr. Opin. Biotechnol. 2003, 14, 277–282. [Google Scholar] [CrossRef]
- Alaboudi, K.A.; Ahmed, B.; Brodie, G. Phytoremediation of Pb and Cd contaminated soils by using sunflower (Helianthus annuus) plant. Ann. Agric. Sci. 2018, 63, 123–127. [Google Scholar] [CrossRef]
- Adesodun, J.K.; Atayese, M.O.; Agbaje, T.A. Phytoremediation Potentials of Sunflowers (Tithonia diversifolia and Helianthus annuus) for Metals in Soils Contaminated with Zinc and Lead Nitrates. Water Air Soil Pollut. 2010, 207, 195–201. [Google Scholar] [CrossRef]
- Shelmerdine, P.A.; Black, C.R.; McGrath, S.P.; Young, S.D. Modelling phytoremediation by the hyperaccumulating fern, Pteris vittata, of soils historically contaminated with arsenic. Environ. Pollut. 2009, 157, 1589–1596. [Google Scholar] [CrossRef]
- Turan, M.; Esringü, A. Phytoremediation based on canola (Brassica napus L.) and Indian mustard (Brassica juncea L.) planted on spiked soil by aliquot amount of Cd, Cu, Pb, and Zn. Plant Soil Environ. 2008, 53, 7–15. [Google Scholar] [CrossRef]
- Ishikawa, S.; Noriharu, A.E.; Murakami, M.; Wagatsuma, T. IsBrassica junceaa suitable plant for phytoremediation of cadmium in soils with moderately low cadmium contamination?—Possibility of using other plant species for Cd-phytoextraction. Soil Sci. Plant Nutr. 2006, 52, 32–42. [Google Scholar] [CrossRef]
- Wuana, R.A.; Okieimen, F.E. Phytoremediation Potential of Maize (Zea mays L.). A Review. Afr. J. Gen. Agric. 2010, 6, 275–287. [Google Scholar]
- Mojiri, A. The Potential of Corn (Zea mays) for Phytoremediation of Soil Contaminated with Cadmium and Lead. J. Biol. Environ. Sci. 2011, 5, 17–22. [Google Scholar]
- ACEA. Compost Florawiva. Available online: http://ambiente.aceapinerolese.it/florawiva-compost/ (accessed on 20 April 2020).
- ACEA. Linea Umido-Compostaggio. Available online: http://ambiente.aceapinerolese.it/linea-umido-compostaggio/ (accessed on 20 April 2020).
- Thompson, M.; Ramsey, M.H.; Coles, B.J. Communication. Interactive matrix matching: A new method of correcting interference effects in inductively coupled plasma spectrometry. Analyst 1982, 107, 1286–1288. [Google Scholar] [CrossRef]
- Ministerial Decree. Metodi Ufficiali di Analisi Chimica del Suolo; Italian Official Gazette: Rome, Italy, 1999. [Google Scholar]
- Malandrino, M.; Abollino, O.; Buoso, S.; Giacomino, A.; La Gioia, C.; Mentasti, E. Accumulation of heavy metals from contaminated soil to plants and evaluation of soil remediation by vermiculite. Chemosphere 2011, 82, 169–178. [Google Scholar] [CrossRef] [PubMed]
- Yoon, J.; Cao, X.; Zhou, Q.; Ma, L.Q. Accumulation of Pb, Cu, and Zn in native plants growing on a contaminated Florida site. Sci. Total Environ. 2006, 368, 456–464. [Google Scholar] [CrossRef] [PubMed]
- Fitz, W.J.; Wenzel, W.W. Arsenic transformations in the soil rhizosphere plant system fundamentals and potential application to phytoremediation. J. Biotechnol. 2002, 99, 259–278. [Google Scholar] [CrossRef]
- Einax, W.; Zwanziger, H.W.; Gei, S. Chemometrics in Environmental Analysis; Wiley-VHC: Weinhem, Germany, 1997. [Google Scholar]
- Massart, D.L.; Vandenginste, B.G.M.; Buydens, L.M.C.; De Jono, S.; Leqi, P.J.; Smeyers-Verbeke, J. Handbook of Chemometrics and Quantimetrics, Parts A and B; Elsevier: Amsterdam, The Netherlands, 1997. [Google Scholar]
- Farnham, I.M.; Singh, A.K.; Stetzenbach, K.J.; Johannesson, K.H. Treatment of nondetects in multivariate analysis of groudwater geochemistry data. Chemom. Intell. Lab. Syst. 2002, 60, 265–281. [Google Scholar] [CrossRef]
- Vega, F.A.; Covelo, E.F.; Andrade, M.L.; Marcet, P. Relationships between heavy metals content and soil properties in minesoils. Anal. Chim. Acta 2004, 524, 141–150. [Google Scholar] [CrossRef]
- ARPAV. Indicatori Ambientali. Available online: https://www.arpa.veneto.it/arpavinforma/indicatori-ambientali/indicatori_ambientali/geosfera/qualita-dei-suoli/contenuto-di-carbonio-organico-nello-strato-superficiale-di-suolo/view (accessed on 20 April 2020).
- Sherene, T. Mobility and transport of heavy metals in polluted soil environment. Biol. Forum Int. J. 2010, 2, 112–121. [Google Scholar]
- Ministerial Decree. Norme in Materia Ambientale; Italian Official Gazette: Rome, Italy, 2006; Volume 152. [Google Scholar]
- Biasioli, M.; Barberis, R.; Ajmone-Marsan, F. The influence of a large city on some soil properties and metals content. Sci. Total Environ. 2006, 356, 154–164. [Google Scholar] [CrossRef]
- Bonifacio, E.; Falsone, G.; Piazza, S. Linking Ni and Cr concentrations to soil mineralogy: Does it help to assess metal contamination when the natural background is high? J. Soils Sediments 2010, 10, 1475–1486. [Google Scholar] [CrossRef]
- Kushwaha, A.; Hans, N.; Kumar, S.; Rani, R. A critical review on speciation, mobilization and toxicity of lead in soil-microbe-plant system and bioremediation strategies. Ecotoxicol. Environ. Saf. 2018, 147, 1035–1045. [Google Scholar] [CrossRef]
- Monaci, F.; Moni, F.; Lanciotti, E.; Grechi, D.; Bargagli, R. Biomonitoring of airborne metals in urban environments: New tracers of vehicle emission, in place of lead. Environ. Pollut. 2000, 107, 321–327. [Google Scholar] [CrossRef]
- McBride, M.B.; Shayler, H.A.; Spliethoff, H.M.; Mitchell, R.G.; Marquez-Bravo, L.G.; Ferenz, G.S.; Russell-Anelli, J.M.; Casey, L.; Bachman, S. Concentrations of lead, cadmium and barium in urban garden-grown vegetables: The impact of soil variables. Environ. Pollut. 2014, 194, 254–261. [Google Scholar] [CrossRef] [PubMed]
- Danh, L.T.; Truong, P.; Mammucari, R.; Foster, N. A critical review of the arsenic uptake mechanisms and phytoremediation potential of Pteris vittata. Int. J. Phytorem. 2014, 16, 429–453. [Google Scholar] [CrossRef]
- Huang, J.W.; Poyton, C.Y.; Kochian, L.V.; Elless, M.P. Phytofiltration of Arsenic from Drinking Water Using Arsenic-Hyperaccumulating Ferns. Environ. Sci. Technol. 2004, 38, 3412–3417. [Google Scholar] [CrossRef] [PubMed]
- Zhao, F.J.; Ma, J.F.; Meharg, A.A.; McGrath, S.P. Arsenic uptake and metabolism in plants. New Phytol. 2009, 181, 777–794. [Google Scholar] [CrossRef] [PubMed]
- Huang, J.W.; Chen, J.; Berti, W.R.; Cunnigham, S.D. Phytoremediation of Lead-Contaminated Soils: Role of Synthetic Chelates in Lead Phytoextraction. Environ. Sci. Technol. 1997, 31, 800–805. [Google Scholar] [CrossRef]
- Salido, A.L.; Hasty, K.L.; Lim, J.M.; Butcher, D.J. Phytoremediation of arsenic and lead in contaminated soil using Chinese brake ferns (Pteris vittata) and Indian mustard (Brassica juncea). Int. J. Phytorem. 2003, 5, 89–103. [Google Scholar] [CrossRef] [PubMed]




| CA | NOB | |
|---|---|---|
| Organic carbon (% w/w) | 1.66 | 2.05 |
| Organic matter (% w/w) | 2.86 | 3.54 |
| pH | 7.10 | 7.30 |
| Particle size distribution | ||
| % sand | 65.1 | 64.8 |
| % silt | 28.2 | 28.2 |
| % clay | 6.78 | 6.95 |
| NOB t0 | CA t0 | Public Green Area Limit | Industrial Area Limit | |||||
|---|---|---|---|---|---|---|---|---|
| Al | 22,298 | ± | 3280 | 23,184 | ± | 1140 | ||
| As | 9.33 | ± | 0.70 | 15.8 | ± | 1.7 | 20 | 50 |
| Ba | 104 | ± | 15 | 322 | ± | 48 | ||
| Ca | 11,487 | ± | 1493 | 21,412 | ± | 8483 | ||
| Cd | 0.21 | ± | 0.03 | 1.16 | ± | 0.09 | 2 | 15 |
| Ce | 42.4 | ± | 0.3 | 36.5 | ± | 3.6 | ||
| Co | 23.2 | ± | 1.5 | 16.6 | ± | 1.8 | 20 | 250 |
| Cr | 248 | ± | 37 | 150 | ± | 74 | 150 | 800 |
| Cu | 39.5 | ± | 3.3 | 75.2 | ± | 3.8 | 120 | 600 |
| Fe | 33,552 | ± | 2204 | 32,312 | ± | 2960 | ||
| K | 4969 | ± | 1207 | 3867 | ± | 126 | ||
| La | 18.8 | ± | 0.3 | 19.7 | ± | 5.6 | ||
| Mg | 22,819 | ± | 3971 | 16,458 | ± | 5670 | ||
| Mn | 870 | ± | 13 | 958 | ± | 136 | ||
| Na | 330 | ± | 138 | 445 | ± | 17 | ||
| Ni | 253 | ± | 29 | 147 | ± | 22 | 120 | 500 |
| P | 617 | ± | 29 | 1169 | ± | 79 | ||
| Pb | 34.3 | ± | 0.6 | 312 | ± | 44 | 100 | 1000 |
| Sr | 33.1 | ± | 2.7 | 49.4 | ± | 20.8 | ||
| Ti | 865 | ± | 108 | 795 | ± | 83 | ||
| V | 43.5 | ± | 5.0 | 46.1 | ± | 3.1 | 90 | 250 |
| Zn | 96.7 | ± | 7.4 | 221 | ± | 21 | 150 | 1500 |
| NOB with FW | CA with FW | FW | |||||||
|---|---|---|---|---|---|---|---|---|---|
| Al | 22,367 | ± | 865 | 22,075 | ± | 6571 | 16,534 | ± | 1014 |
| As | 9.23 | ± | 2.05 | 12.3 | ± | 0.4 | 3.75 | ± | 0.12 |
| Ba | 133 | ± | 15 | 369 | ± | 16 | 170 | ± | 7 |
| Ca | 20,031 | ± | 1481 | 31,311 | ± | 8496 | 52,258 | ± | 3084 |
| Cd | 0.24 | ± | 0.02 | 0.55 | ± | 0.04 | 0.48 | ± | 0.02 |
| Ce | 43.0 | ± | 1.8 | 47.6 | ± | 13.9 | 17.3 | ± | 0.1 |
| Co | 20.6 | ± | 1.8 | 15.6 | ± | 1.4 | 6.42 | ± | 0.47 |
| Cr | 271 | ± | 39 | 142 | ± | 24 | 70.7 | ± | 0.9 |
| Cu | 51.6 | ± | 6.1 | 87.6 | ± | 3.1 | 95.4 | ± | 2.7 |
| Fe | 30,309 | ± | 320 | 28,704 | ± | 2326 | 16,211 | ± | 995 |
| K | 8469 | ± | 632 | 7935 | ± | 2164 | 13,920 | ± | 470 |
| La | 19.2 | ± | 1.4 | 20.9 | ± | 9.5 | 9.25 | ± | 0.82 |
| Mg | 26,175 | ± | 7400 | 13,220 | ± | 2424 | 11,746 | ± | 1624 |
| Mn | 814 | ± | 20 | 837 | ± | 64 | 506 | ± | 15 |
| Na | 871 | ± | 59 | 909 | ± | 341 | 2900 | ± | 82 |
| Ni | 235 | ± | 55 | 138 | ± | 22 | 53.0 | ± | 3.1 |
| P | 2383 | ± | 194 | 3275 | ± | 82 | 9271 | ± | 635 |
| Pb | 34.4 | ± | 0.8 | 267 | ± | 3 | 49.9 | ± | 1.3 |
| Sr | 54.3 | ± | 7.4 | 112 | ± | 5 | 192 | ± | 5 |
| Ti | 903 | ± | 101 | 950 | ± | 145 | 733 | ± | 41 |
| V | 44.4 | ± | 1.4 | 50.3 | ± | 9.8 | 24.4 | ± | 1.8 |
| Zn | 116 | ± | 6 | 229 | ± | 10 | 225 | ± | 23 |
| Helianthus annuus | Zea mays | Brassica juncea | Pteris vittata | |||||||||
|---|---|---|---|---|---|---|---|---|---|---|---|---|
| CA | 22.2 | ± | 2.6 | 34.4 | ± | 3.5 | 7.1 | ± | 1.4 | 10.6 | ± | 1.5 |
| CA + FW | 52.8 | ± | 6.8 | 68.3 | ± | 8.6 | 62.2 | ± | 6.4 | 12.0 | ± | 1.4 |
| NOB | - | - | 13.6 | ± | 1.7 | 7.0 | ± | 1.6 | ||||
| NOB + FW | - | - | 70.5 | ± | 8.0 | 10.6 | ± | 1.6 | ||||
© 2020 by the authors. Licensee MDPI, Basel, Switzerland. This article is an open access article distributed under the terms and conditions of the Creative Commons Attribution (CC BY) license (http://creativecommons.org/licenses/by/4.0/).
Share and Cite
Gaggero, E.; Malandrino, M.; Fabbri, D.; Bordiglia, G.; Fusconi, A.; Mucciarelli, M.; Inaudi, P.; Calza, P. Uptake of Potentially Toxic Elements by Four Plant Species Suitable for Phytoremediation of Turin Urban Soils. Appl. Sci. 2020, 10, 3948. https://doi.org/10.3390/app10113948
Gaggero E, Malandrino M, Fabbri D, Bordiglia G, Fusconi A, Mucciarelli M, Inaudi P, Calza P. Uptake of Potentially Toxic Elements by Four Plant Species Suitable for Phytoremediation of Turin Urban Soils. Applied Sciences. 2020; 10(11):3948. https://doi.org/10.3390/app10113948
Chicago/Turabian StyleGaggero, Elisa, Mery Malandrino, Debora Fabbri, Giorgio Bordiglia, Anna Fusconi, Marco Mucciarelli, Paolo Inaudi, and Paola Calza. 2020. "Uptake of Potentially Toxic Elements by Four Plant Species Suitable for Phytoremediation of Turin Urban Soils" Applied Sciences 10, no. 11: 3948. https://doi.org/10.3390/app10113948
APA StyleGaggero, E., Malandrino, M., Fabbri, D., Bordiglia, G., Fusconi, A., Mucciarelli, M., Inaudi, P., & Calza, P. (2020). Uptake of Potentially Toxic Elements by Four Plant Species Suitable for Phytoremediation of Turin Urban Soils. Applied Sciences, 10(11), 3948. https://doi.org/10.3390/app10113948

