A Combined Nonstationary Kriging and Support Vector Machine Method for Stochastic Eigenvalue Analysis of Brake Systems
Abstract
1. Introduction
2. Stochastic Complex Eigenvalue Analysis of Brake System
2.1. Finite Element Model of the Brake System
2.2. Stochastic Complex Eigenvalue Analysis under Uncertainties
3. Proposed Algorithm
3.1. Nonstationary Kriging
3.2. SVM Based Classification for Predicting the Response
4. Numerical Results
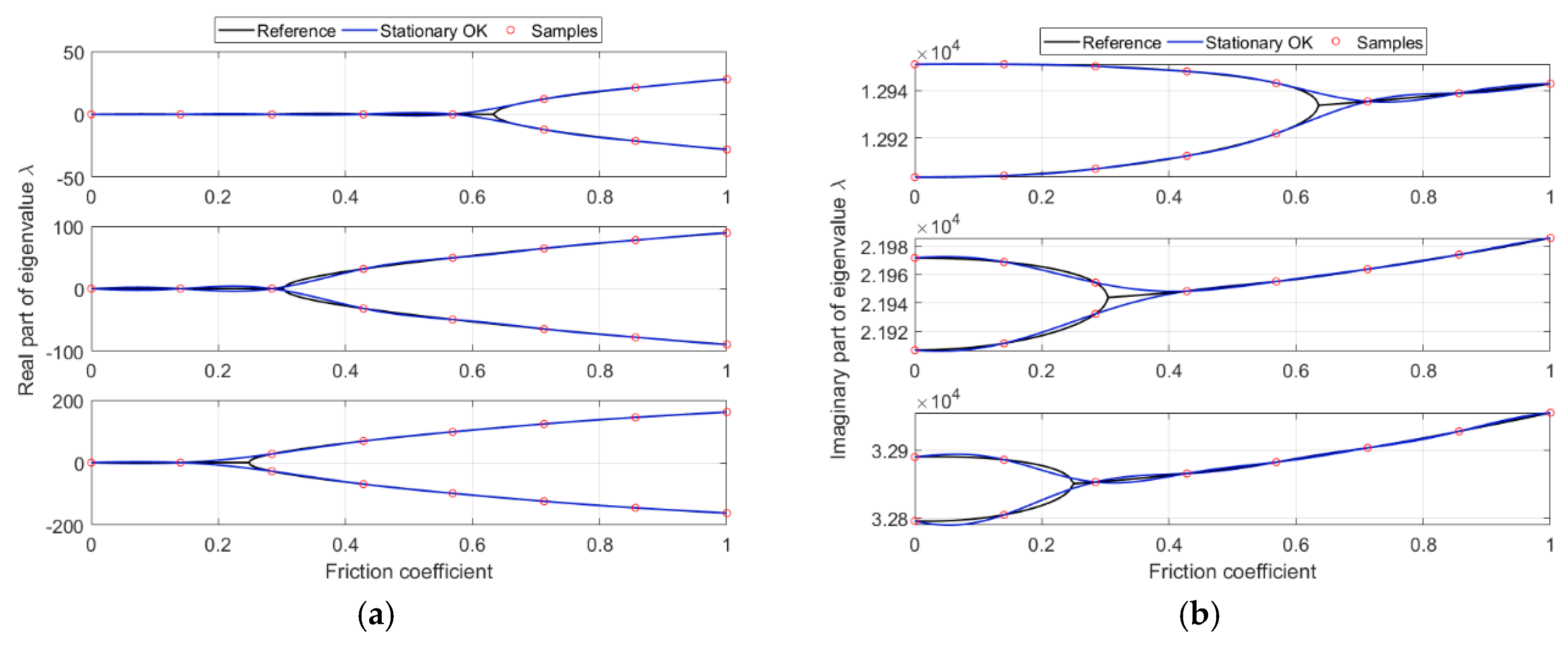
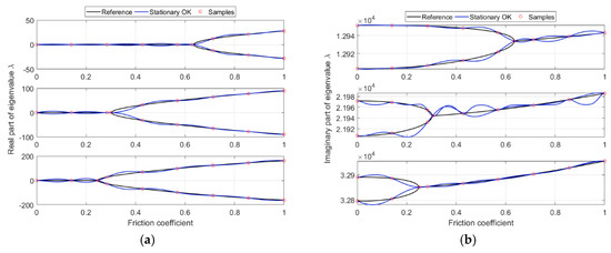
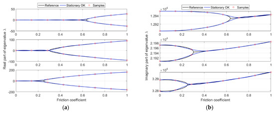
4.1. Case 1: Study with a Random Friction Coefficient
4.2. Case 2: Study with a Random Friction Coefficient and Young’s Modulus of the Disc
4.3. Case 3: Study with a Random Friction Coefficient and Disc’s Material Properties
5. Conclusions
Author Contributions
Funding
Acknowledgments
Conflicts of Interest
References
- Papinniemi, A.; Lai, J.C.; Zhao, J.; Loader, L. Brake squeal: A literature review. Appl. Acoust. 2002, 63, 391–400. [Google Scholar] [CrossRef]
- Sinou, J.-J.; Jézéquel, L. Mode coupling instability in friction-induced vibrations and its dependency on system parameters including damping. Eur. J. Mech.-A/Solids 2007, 26, 106–122. [Google Scholar] [CrossRef]
- Hoffmann, N.; Gaul, L. Effects of damping on mode-coupling instability in friction induced oscillations. ZAMM-J. Appl. Math. Mech./Z. Angew. Math. Mech. Appl. Math. Mech. 2003, 83, 524–534. [Google Scholar] [CrossRef]
- Hoffmann, N.; Fischer, M.; Allgaier, R.; Gaul, L. A minimal model for studying properties of the mode-coupling type instability in friction induced oscillations. Mech. Res. Commun. 2002, 29, 197–205. [Google Scholar] [CrossRef]
- Liu, P.; Zheng, H.; Cai, C.; Wang, Y.; Lu, C.; Ang, K.; Liu, G. Analysis of disc brake squeal using the complex eigenvalue method. Appl. Acoust. 2007, 68, 603–615. [Google Scholar] [CrossRef]
- AbuBakar, A.R.; Ouyang, H. A prediction methodology of disk brake squeal using complex eigenvalue analysis. Int. J. Veh. Des. 2008, 46, 416–435. [Google Scholar] [CrossRef]
- Chevennement-Roux, C.; Dreher, T.; Alliot, P.; Aubry, E.; Lainé, J.-P.; Jézéquel, L. Flexible wiper system dynamic instabilities: Modelling and experimental validation. Exp. Mech. 2007, 47, 201–210. [Google Scholar] [CrossRef]
- Culla, A.; Massi, F. Uncertainty model for contact instability prediction. J. Acoust. Soc. Am. 2009, 126, 1111–1119. [Google Scholar] [CrossRef] [PubMed]
- Nobari, A.; Ouyang, H.; Bannister, P. Statistics of complex eigenvalues in friction-induced vibration. J. Sound Vib. 2015, 338, 169–183. [Google Scholar] [CrossRef]
- Xiu, D.; Karniadakis, G.E. The wiener—Askey polynomial chaos for stochastic differential equations. SIAM J. Sci. Comput. 2002, 24, 619–644. [Google Scholar] [CrossRef]
- Krige, D.G. A statistical approach to some basic mine valuation problems on the Witwatersrand. J. S. Afr. Inst. Min. Metall. 1951, 52, 119–139. [Google Scholar]
- Nechak, L.; Berger, S.; Aubry, E. A polynomial chaos approach to the robust analysis of the dynamic behaviour of friction systems. Eur. J. Mech.-A/Solids 2011, 30, 594–607. [Google Scholar] [CrossRef]
- Zhang, Z.; Oberst, S.; Lai, J.C. On the potential of uncertainty analysis for prediction of brake squeal propensity. J. Sound Vib. 2016, 377, 123–132. [Google Scholar] [CrossRef]
- Denimal, E.; Nechak, L.; Sinou, J.-J.; Nacivet, S. Kriging surrogate models for predicting the complex eigenvalues of mechanical systems subjected to friction-induced vibration. Shock Vib. 2016, 2016. [Google Scholar] [CrossRef]
- Nechak, L.; Gillot, F.; Besset, S.; Sinou, J.-J. Sensitivity analysis and Kriging based models for robust stability analysis of brake systems. Mech. Res. Commun. 2015, 69, 136–145. [Google Scholar] [CrossRef]
- Sarrouy, E.; Dessombz, O.; Sinou, J.-J. Piecewise polynomial chaos expansion with an application to brake squeal of a linear brake system. J. Sound Vib. 2013, 332, 577–594. [Google Scholar] [CrossRef]
- Nechak, L.; Besset, S.; Sinou, J.-J. Robustness of stochastic expansions for the stability of uncertain nonlinear dynamical systems–application to brake squeal. Mech. Syst. Signal Process. 2018, 111, 194–209. [Google Scholar] [CrossRef]
- Fischer, K.; Wriggers, P. Frictionless 2D contact formulations for finite deformations based on the mortar method. Comput. Mech. 2005, 36, 226–244. [Google Scholar] [CrossRef]
- Wriggers, P.; Zavarise, G. Computational Contact Mechanics; John Wiley & Sons, Ltd.: Hoboken, NJ, USA, 2004. [Google Scholar]
- Ghanem, R.G.; Spanos, P.D. Stochastic Finite Elements: A Spectral Approach; Courier Corporation: North Chelmsford, MA, USA, 2003. [Google Scholar]
- Gibbs, M.N. Bayesian Gaussian Processes for Regression and Classification. Ph.D. Thesis, University of Cambridge, Cambridge, UK, 1998. [Google Scholar]
- Martin, J.D.; Simpson, T.W. Use of kriging models to approximate deterministic computer models. AIAA J. 2005, 43, 853–863. [Google Scholar] [CrossRef]
- Cristianini, N.; Shawe-Taylor, J. An Introduction to Support Vector Machines and Other Kernel-Based Learning Methods; Cambridge University Press: Cambridge, UK, 2000. [Google Scholar]
- Marelli, S.; Sudret, B. UQLab: A framework for uncertainty quantification in Matlab. In Vulnerability, Uncertainty, and Risk: Quantification, Mitigation, and Management; American Society of Civil Engineers: Reston, VA, USA, 2014; pp. 2554–2563. [Google Scholar]



















| Parameters | Disc | Pad |
|---|---|---|
| Young’s modulus (N/m2) | 125 × 109 | 2 × 109 |
| Poisson ratio | 0.3 | 0.1 |
| Density (kg/m3) | 7200 | 2500 |
| Inner radius (m) | 0.034 | 0.091 |
| Outer radius (m) | 0.151 | 0.147 |
| Thickness (m) | 0.019 | 0.0128 |
| 0th | 6.72 × 10−2 | 3.95 × 10−2 | 3.54 × 10−2 | 7.26 × 10−5 | 8.29 × 10−5 | 8.72 × 10−5 | 1.42 × 10−1 | 2.43 × 10−4 |
| 1st | 7.00 × 10−2 | 3.98 × 10−2 | 3.47 × 10−2 | 7.32 × 10−5 | 8.00 × 10−5 | 1.18 × 10−4 | 1.45 × 10−1 | 2.72 × 10−4 |
| 2nd | 1.54 × 10−1 | 3.84 × 10−2 | 3.51 × 10−2 | 7.35 × 10−5 | 1.61 × 10−4 | 1.47 × 10−4 | 2.27 × 10−1 | 3.81 × 10−4 |
| 3rd | 1.56 × 10−1 | 4.78 × 10−2 | 3.55 × 10−2 | 1.19 × 10−4 | 1.61 × 10−4 | 1.30 × 10−4 | 2.39 × 10−1 | 4.11 × 10−4 |
| 0th | 1.16 × 10−1 | 8.36 × 10−2 | 8.46 × 10−2 | 1.30 × 10−4 | 2.94 × 10−4 | 1.85 × 10−4 | 2.84 × 10−1 | 6.09 × 10−4 |
| 1st | 9.44 × 10−2 | 5.56 × 10−2 | 5.24 × 10−2 | 1.90 × 10−4 | 2.75 × 10−4 | 1.40 × 10−4 | 2.02 × 10−1 | 6.05 × 10−4 |
| 2nd | 7.92 × 10−2 | 5.33 × 10−2 | 5.37 × 10−2 | 6.87 × 10−5 | 1.84 × 10−4 | 1.13 × 10−4 | 1.86 × 10−1 | 3.66 × 10−4 |
| 3rd | 8.57 × 10−2 | 4.50 × 10−2 | 4.58 × 10−2 | 1.30 × 10−4 | 1.82 × 10−4 | 1.16 × 10−4 | 1.77 × 10−1 | 4.28 × 10−4 |
| 0th | 3.35 × 10−2 | 8.47 × 10−3 | 1.21 × 10−2 | 5.93 × 10−5 | 3.24 × 10−5 | 1.19 × 10−4 | 5.42 × 10−2 | 2.10 × 10−4 |
| 1st | 3.35 × 10−2 | 3.06 × 10−2 | 2.57 × 10−2 | 9.54 × 10−5 | 8.85 × 10−5 | 1.17 × 10−4 | 8.98 × 10−2 | 3.01 × 10−4 |
| 2nd | 4.14 × 10−2 | 2.00 × 10−2 | 2.60 × 10−2 | 5.74 × 10−5 | 1.52 × 10−4 | 1.36 × 10−4 | 8.75 × 10−2 | 3.45 × 10−4 |
| 3rd | 4.10 × 10−2 | 1.57 × 10−2 | 2.34 × 10−2 | 1.07 × 10−4 | 3.81 × 10−5 | 2.16 × 10−4 | 8.02 × 10−2 | 3.61 × 10−4 |
© 2019 by the authors. Licensee MDPI, Basel, Switzerland. This article is an open access article distributed under the terms and conditions of the Creative Commons Attribution (CC BY) license (http://creativecommons.org/licenses/by/4.0/).
Share and Cite
Lee, G.-Y.; Park, Y.-H. A Combined Nonstationary Kriging and Support Vector Machine Method for Stochastic Eigenvalue Analysis of Brake Systems. Appl. Sci. 2020, 10, 245. https://doi.org/10.3390/app10010245
Lee G-Y, Park Y-H. A Combined Nonstationary Kriging and Support Vector Machine Method for Stochastic Eigenvalue Analysis of Brake Systems. Applied Sciences. 2020; 10(1):245. https://doi.org/10.3390/app10010245
Chicago/Turabian StyleLee, Gil-Yong, and Yong-Hwa Park. 2020. "A Combined Nonstationary Kriging and Support Vector Machine Method for Stochastic Eigenvalue Analysis of Brake Systems" Applied Sciences 10, no. 1: 245. https://doi.org/10.3390/app10010245
APA StyleLee, G.-Y., & Park, Y.-H. (2020). A Combined Nonstationary Kriging and Support Vector Machine Method for Stochastic Eigenvalue Analysis of Brake Systems. Applied Sciences, 10(1), 245. https://doi.org/10.3390/app10010245
