You are currently viewing a new version of our website. To view the old version click .
Environments
  • Article
  • Open Access

8 February 2025

Repeatability of SOPRANOISE Quick Method for Measuring Sound Reflection and Sound Insulation of Noise Barriers

and
Department of Industrial Engineering, University of Bologna, Bologna 40136, Italy
*
Author to whom correspondence should be addressed.
This article belongs to the Special Issue New Solutions Mitigating Environmental Noise Pollution III

Abstract

The measurement method employed for the estimation of the intrinsic acoustic characteristics of noise barriers installed along European highways is outlined in the EN 1793-5 and 1793-6 standards, commonly named the “Adrienne method”. This method has been shown to have repeatability and reproducibility comparable to or better than laboratory methods. However, its correct application requires skilled operators managing with great care the equipment on site, thus limiting the number of measurements made in a working day on different positions of the noise barrier under test. To overcome this limitation and perform fast measurements in the field, the Quick Method, a simplified version of the Adrienne measurement method, was developed in the context of the European SOPRANOISE project. The Quick Method needs only lightweight and easy-to-use equipment, called the Quick System; this allows extensive measurement campaigns to be carried out at many points of the noise barrier under test. However, the repeatability of the Quick Method has not yet been assessed. This article reports and analyses a series of repeatability tests of the Quick Method conducted in the laboratory and on site; moreover, comparisons with the Adrienne method are systematically presented. These results can be considered the first validation of the Quick Method and its measuring equipment.

1. Introduction

The damage to health caused by prolonged exposure to noise is well known [1,2]. The installation of noise barriers along highways and motorways is one of several measures that can be taken to attenuate the public’s exposure to noise from vehicle traffic. Measuring their performance directly at the place of installation is therefore essential in order to assess and verify their effectiveness over time, both with regard to sound absorption and insulation (the latter by measuring the complementary quantity, i.e., sound reflection). For this purpose, the European standards EN 1793-5 [3] and EN 1793-6 [4], briefly referred to as the Adrienne method, have been in use for several years, which allows the acoustic characteristics of a noise barrier to be measured in situ. The Adrienne method is suitable for the measurement of various types of noise barriers, including innovative types such as the so-called sonic crystals [5], and is also used outside Europe. The Adrienne measurement system uses a sound source (amplified loudspeaker box) and a microphone grid and evaluates the sound at approximately normal incidence, allowing a more realistic assessment of the acoustic performance of the barrier than measurements in a reverberation chamber, in which the sound field is diffuse. In addition, the measurement of the installed barrier allows the actual evaluation of performance at the time of installation and over time, including installation problems or seemingly invisible defects. Measuring the characteristics of a noise barrier can furthermore be very useful in the design phase, followed by testing in the laboratory, as well as at the installation site, in situ.
The reliability of the Adrienne method was thoroughly tested in a European round-robin test [6], and recently, the repeatability of the method and measurement system was evaluated for the first time in the laboratory and in the field [7]. The Adrienne measurement system requires the use of sophisticated instrumentation (high-quality computer, sound card and external converters, a square array of nine microphones, a qualified sound source, etc.), which must be accurately placed on site in order to obtain accurate and highly repeatable results, thus limiting the number of different measurements that can be made during a single working day. The Adrienne measurement method and its measuring system, therefore, offer the highest reliability of results when applied by highly qualified personnel, but they are not suitable for extensive measurement campaigns employing “normal” (not highly qualified) personnel. However, this task is exactly what is aimed for by road authorities for the quick verification of a large number of measurement points of an installed noise barrier.
To overcome the practical limitations of the Adrienne method, a new measurement system, called Quick System, was developed within the European project SOPRANOISE [8,9]. The measurement principle of the Quick System is similar to the Adrienne method, with some differences, including switching from a square grid with nine microphones to a vertical antenna with six. The Quick System, which is shown in detail in Figure 1, is small, portable, and powered by a battery that allows for several days of use. With it, quick and spot sound insulation and sound reflection measurements can be carried out at many points of the noise barrier, unlike the Adrienne system, which can be seen in Figure 2, due to the longer assembly and disassembly times needed each time the Adrienne system is moved from one spot to another.
Figure 1. The Quick System. (a) Main system box; (b) internal circuits; (c) an example of a Quick System measurement screen.
Figure 2. The Adrienne system. (a) Sound Reflection Index measurement, barrier measurement; (b) free-field measurement; (c) Sound Insulation Index measurement: the microphone grid is placed on the receiver side of the noise barrier (opposed to the roadside).
The method developed within the European project SOPRANOISE is briefly called the Quick Method or SOPRA method. It has already received a first theoretical confirmation. In fact, recently, the Reflection Index measurement, according to the SOPRANOISE method, on a flat sound-absorbing surface has been confirmed using a time–domain model for the reflection of spherical waves [10].
In this paper, a series of repeatability measurements of the Quick System and method are presented in a similar way to what was presented in [7] for the Adrienne method in order to assess the Quick Method’s reliability and usability in the field as a quick, yet more approximate, alternative to the Adrienne method, when fast measurements on a large number of panels are required. Some data presented in [9] are expanded upon and analyzed in this work in more detail, comparing them whenever possible with the results presented in [7].
The structure of the article is as follows: In Section 2, the Adrienne measurement method (Section 2.1) and the new Quick Method (Section 2.2) are briefly recalled, highlighting their similarities and differences. In Section 3, a set of repeated measurements using the Quick System in the lab are shown, compared with some results, reworked, from [7], where a similar procedure was carried out with the Adrienne system; in particular, in Section 3.1, Sound Reflection Index repeated measurements are carried out without moving the measurement system, to evaluate the degree of repeatability of the measurement system. In Section 3.2, for each measurement repeated, the sound source and the microphone antenna are relocated in order to ensure that the real case of in-situ measurements is taken into account, thus evaluating the repeatability of both the system and the measurement method. In Section 3.3, the repeatability of the Quick System on the Sound Insulation Index measurement is assessed in the laboratory. In Section 3.4, the procedure is repeated by moving the system for each measurement. For the repeatability tests with repositioning, it was assumed that the positioning accuracy required by the Quick System is the same as that of the Adrienne method, i.e., +/− 5 cm from the nominal position. In Section 4, in-situ repeatability tests are presented; in particular, Section 4.1 presents tests on the measurement of the Sound Reflection Index, and Section 4.2 evaluates the repeatability of the Sound Insulation Index.

2. Materials and Methods

The Adrienne system and the Quick System measurement methods are now briefly summarized, and their differences are highlighted. For a more in-depth discussion, the reader is referred to [3,4,5,6,7,8,9,10,11,12,13,14,15,16,17,18,19,20,21,22]. A more wide-ranging bibliography on the challenges associated with the deployment of noise barriers of various types on roads and railways can be found in [23,24,25,26,27,28,29,30].

2.1. Adrienne Method

The Adrienne method can be used for two types of measurement: Sound Reflection Index [3] and Sound Insulation Index [4]. The first index, abbreviated RI, quantifies how much sound is reflected from the roadside surface of the noise barrier, as a function of frequency in third-octave frequency bands. The second index, abbreviated SI, quantifies the airborne sound insulation of the noise barrier, expressed in dB, as a function of frequency in third-octave frequency bands. For both quantities, it is possible to calculate single-number ratings, DLRI and DLSI, respectively, which quantify the barrier’s performance in sound absorption (complementary to sound reflection) and sound insulation in a certain frequency range by weighing the third-octave values of RI and SI according to a normalized A-weighted noise spectrum from road traffic..
The instrumentation consists of a sound source, usually positioned at a height of 2 m, a 3 × 3 microphone grid in which adjacent microphones are placed at a distance of 0.4 m, with the central microphone on the axis with the source at a height of 2 m.
The measurement of the Sound Reflection Index is carried out in two steps: measurement with the sound source and microphone grid facing the roadside surface of the barrier, as visible in Figure 2a, placed at a distance of 1.5 m and 0.25 m from the barrier surface, respectively; and free-field measurement, with sound source and microphone grid placed at the same relative distance as in the first measurement but positioned away from obstacles, as visible in Figure 2b. In both cases, nine impulse responses are measured from the nine microphones of the microphone grid. The semi-anechoic parts of the direct and reflected impulse responses (after subtraction in the time domain [12]) are windowed according to the Adrienne window, specified in [3], and power spectra are calculated from them. The Sound Reflection Index in third-octave bands [3,7] and the single-number rating DLRI are derived from the ratio of reflected and incident spectra, multiplied by some correction coefficients [3].
The measurement of the Sound Insulation Index also takes place in two steps, similar to the previous case: measurement with the sound source placed at a distance of 1 m from the roadside surface of the barrier; and microphone grid placed on the opposite side, at a distance of 0.25 m from the rear surface of the noise barrier, as visible in Figure 2c. The free-field measurement is carried out as in the previous case, remembering that the distance between the sound source and the microphone grid must also take into account the thickness of the barrier. Again, in both cases, nine impulse responses are measured from the nine microphones of the microphone array. The semi-anechoic parts of the direct and transmitted impulse responses are windowed according to the Adrienne window [4], and from the data contained therein, the power spectra are calculated. From the ratio, converted to dB, of the transmitted and incident spectra, the Sound Insulation Index in third-octave bands [4,7] and the DLSI single-number rating are derived.

2.2. Quick Method

The Quick Method is based on the same principles as the Adrienne method, and for this reason, it is applicable to all possible barrier types. Figure 3 shows a sample of RI and SI measurement steps with the Quick System, and the similarities to the measurements with the Adrienne system visible in Figure 2 can be seen. Figure 4 shows all measurement configurations for RI and SI.
Figure 3. The Quick (SOPRA) method. (a) Sound Reflection Index measurement, barrier measurement; (b) free-field measurement; (c) Sound Insulation Index measurement: the microphone antenna is placed on the rear side of the noise barrier (opposite to the roadside); the source placed on the roadside is visible through the transparent panel.
Figure 4. Quick System measurement configurations. (a) Sound Reflection Index measurement, barrier measurement; (b) free-field measurement for Sound Reflection Index; (c) Sound Insulation Index measurement, barrier measurement; (d) free-field measurement for Sound Insulation Index; 1: barrier reference surface; 2: height of sound source = 2 m; 3: sound source front surface; 4: distance between sound source and barrier reference surface = 1.5 m for RI measurement and = 1 m for SI measurement; 5: distance between sound source and microphone grid = 1.25 m; 6: microphone grid-reference surface distance = 0.25 m (on front side of barrier in case of RI measurement or on the read side of the barrier for SI measurement); 7: microphone grid; 8: barrier height; 9: barrier thickness.
There are some differences between the two systems:
-
The sound source is lightweight, battery-powered, and wirelessly connected to the main control system (this solution can also be used with the Adrienne system due to its great handiness in insulation measurement).
-
Instead of the square Adrienne grid, visible in Figure 2, a vertical antenna with six microphones, separated by a distance of 0.4 m, is used, as shown in Figure 3. In this way, it is possible to incorporate a more substantial vertical segment of the barrier into each measurement.
-
The measurement and processing unit is visible in Figure 1. It works with a normal 5 V power bank; no other external accessories are required. With it, the Sound Reflection Index and Sound Insulation Index (with the new microphone positions) can be measured and processed instantly in the field. The measurement signal used is MLS, more suitable than ESS for measurements in roadside conditions [31,32,33,34,35,36,37,38,39,40,41]; it is 256 k samples long, generated, and sampled at 44.1 kHz, 16 bits. The Quick System takes a single measurement, while the Adrienne system (with the same sampling settings) takes four averages. More information and specifications on the system can be found in [8].
-
In contrast to the Adrienne system, the Quick System, for the Sound Reflection Index measurement, does not deploy the time subtraction of the free-field signal from the signal reflected by the noise barrier [12] due to the computational limitations of the system used.
-
The geometric correction coefficients of the Quick System were calculated for microphone positions on the vertical antenna, which differ from those on the Adrienne grid.

3. Laboratory Repeatability Tests

A comparative analysis of repeatability measurements obtained in the laboratory using the Quick System and those from the Adrienne system, discussed in [7], will be conducted, where feasible. The measurements were made on some full-scale noise barriers installed in the Applied Physics laboratory of the Department of Industrial Engineering, University of Bologna. In particular, two panel types were analyzed. The first one is a metal cassette, perforated on the roadside surface and containing a porous sound-absorbing material; it can be considered flat. The second one is a composite wooden panel called OSB3, which has a non-flat surface. It consists of a sound-absorbing layer in recycled polyester fibers, shielded by a black fabric that allows sound to pass through, and a set of wooden slats arranged in a zig-zag design; the rear side of the OSB3 barrier is made of a wooden panel; the front and rear sections are joined by a pine wood frame. Both panel types can be seen in Figure 5 for the Quick System measurements and in Figure 6 for the similar measurements with the Adrienne system, discussed in [7].
Figure 5. Laboratory repeatability measurements with Quick System. (a) Sound Reflection Index measurement on perforated metal barrier; (b) Sound Reflection Index measurement on the OSB3 non-flat barrier; (c) free-field measurement; (d) Sound Insulation Index measurement.
Figure 6. Laboratory repeatability measurements with Adrienne system. (a) Sound Reflection Index measurement on the OSB3 non-flat barrier; (b) Sound Reflection Index measurement on perforated metal barrier; (c) free-field measurement.
Measurements were performed on several microphones, as described below. The analysis of one single microphone can be considered the ‘worst case’, from which to extrapolate data on the limits of the measurement system and method. Analyses of the average across multiple microphones include a larger portion of the barrier in the calculation, resulting in more useful information and improve some measurement parameters (e.g., better SNR) by averaging multiple signals.

3.1. Sound Reflection Index, in the Laboratory, Instrumentation in Place

A series of 10 measurements of the Sound Reflection Index made with the Quick System on the OSB3 barrier (Figure 5b) have been conducted, leaving the loudspeaker and the microphone antenna in the same position. In this way, it is possible to estimate the repeatability of the system for RI measurements, disregarding positioning errors.
Figure 7 shows 10 measurements taken from the single microphone 3 of the vertical antenna, i.e., the microphone located at the height of the acoustic source. Figure 7a shows the 10 Sound Reflection Index values, in third-octave bands, Figure 7b plots the standard deviation for each frequency band, and Figure 7c plots the 10 DLRI in the 200 Hz–5 kHz range for each measurement. It can be seen that the variation between the individual measurements for each frequency band is very low, confirming that the measurement system works well. The DLRI values vary slightly between each other: their standard deviation is approximately 0.02 dB.
Figure 7. Repeatability measurements with Quick System and in-place instrumentation on the OSB3 barrier, microphone 3; 10 measurements. (a) Sound Reflection Index; (b) standard deviation on measurements in (a); (c) DLRI, calculated in the 200 Hz–5 kHz range, of data in (a).
Figure 8a plots the Sound Reflection Index values obtained from the averages of microphones 2 (H = 1.60 m), 3 (H = 2.00 m), and 4 (H = 2.40 m) of the microphone antenna and shows the 10 measurements taken with Quick System. Figure 8b shows the standard deviations on the data in Figure 8a, and Figure 8c shows the DLRI values for the 10 measurements. It can be seen that the trend of the RIs is quite different from the case of microphone 3 alone, shown in Figure 7a; the average over several microphones better represents the general characteristics of the barrier surface, especially when, as in this case, the surface is not flat, and the RI values may vary depending on the measurement point, especially in the high-frequency bands. The standard deviation values are of the same order of magnitude as in the previous case, while the DLRIs are different from the single-microphone case. Minimal variations can be seen on the DLRI values, with a standard deviation still around 0.02 dB.
Figure 8. Repeatability measurements with Quick System and in-place instrumentation on the OSB3 barrier, average from microphones 2, 3, and 4; 10 measurements. (a) Sound Reflection Index; (b) standard deviation on values in (a); (c) DLRI, calculated in the 200 Hz–5 kHz range, of values in (a).
Figure 9a shows 10 Sound Reflection Index values measured with the Adrienne system on the same OSB3 barrier, with the instrumentation maintained in a fixed position, obtained from the averages of microphones 8 (H = 1.60 m), 5 (H = 2.00 m) and 2 (H = 2.40 m), a central vertical row of the Adrienne microphone array. Comparing Figure 8a with Figure 9a, a fairly similar trend can be seen in general (apart from minor differences that may be due to slightly different positions in front of the non-flat barrier surface) and some differences in the lower frequency bands. This aspect will be examined further. The DLRI values have a standard deviation of about 0.01 dB, and it should be noted that they are similar to the values obtained with the Quick System visible in Figure 8c (differences of about 0.2–0.3 dB).
Figure 9. Repeatability measurements with Adrienne system and in-place instrumentation measuring the OSB3 barrier, average from microphones 8, 5, and 2; 10 measurements. (a) Sound Reflection Index; (b) standard deviation of values in (a); (c) DLRI, calculated in the 200 Hz–5 kHz range, of values in (a).
Figure 10 provides a comparison of the Sound Reflection Index measured in front of the OSB3 barrier with the Adrienne system (Figure 10a) and the Quick System (Figure 10b), separating the individual microphones placed in the same geometric positions: microphone 2 of the Quick System’s antenna is exactly in the same position as microphone 8 of the Adrienne grid; microphone 3 of the antenna used by Quick System is exactly in the same position as microphone 5 of the Adrienne grid (on axis with the source); microphone 4 of the Quick System’s antenna is exactly in the same position as microphone 2 of the Adrienne grid. Substantial agreement can be seen, except for small differences due to slight differences in positioning in front of the non-flat barrier and slight increases of RI values in the lower frequency bands in the case of the Adrienne system, greater when the microphones are not on the axis with the source.
Figure 10. Sound Reflection Index measurements on the OSB3 barrier with Adrienne and Quick System. (a) RI from microphones 2, 5, and 8 from the Adrienne system; (b) RI from microphones 4, 3, and 2 from the Quick System.

3.2. Sound Reflection Index, in Laboratory, Repositioned Instrumentation

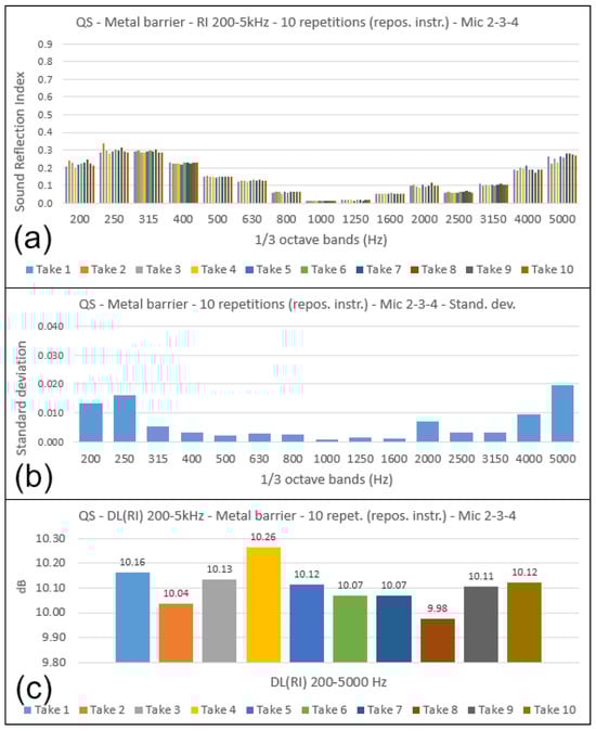
A series of ten measurements were conducted using the Quick System on the sound-absorbing perforated metal barrier (see Figure 5a). The sound source and microphone antenna were repositioned at each measurement. In this way, it is possible to estimate the repeatability of the system and measurement method, including small positioning errors, which are unavoidable when doing in-situ measurements. Following the same procedure adopted in [7], for each repositioning of the source and microphone antenna, a random error in the position of +/− 50 mm was added to the exact position marked on the floor. These tests were performed on the metallic barrier to avoid artefacts due to the sound scattering from the non-flat surface of the OSB3 barrier.
In Figure 11, 10 measurements taken from the microphone 3 of the vertical antenna are plotted. Figure 11a shows the 10 Sound Reflection Index values in third-octave bands, Figure 11b plots the standard deviation for each frequency band, and Figure 11c plots the 10 DLRI in the 200 Hz–5 kHz range from each measurement. It can be seen that the variation between the individual measurements for each frequency band is small, with some increase at low and high frequencies, confirming the tolerance to the (slight) positioning error of the measurement method. The variation among DLRI values is very small; they are fairly representative of the barrier surface, which is flat and homogeneous. The standard deviation on the DLRI values is approximately 0.06 dB.
Figure 11. Repeatability measurements with Quick System and instrumentation repositioned in front of the sound-absorbing perforated metal barrier, microphone 3; 10 measurements. (a) Sound Reflection Index; (b) standard deviation on values in (a); (c) DLRI, in the 200 Hz–5 kHz range, of data in (a).
Figure 12a plots the Sound Reflection Index values obtained with the Quick System from the averages of microphones 2, 3, and 4 of the microphone antenna. Figure 12b shows the standard deviations on the data in Figure 12a, and Figure 12c shows the corresponding DLRI values. No particular differences can be seen in the RI-curves trend due to this flat surface noise barrier. The standard deviation values are slightly smaller compared to those from the single-microphone measurement, while the DLRI values are slightly smaller compared to the single-microphone case (approx. 0.6 dB less). The standard deviation of the DLRI values is about 0.07 dB.
Figure 12. Repeatability measurements with Quick System and instrumentation repositioned in front of the sound-absorbing perforated metal barrier, average of microphones 2, 3, and 4; 10 measurements. (a) Sound Reflection Index; (b) standard deviation of values in (a); (c) DLRI, in the 200 Hz–5 kHz range, of data in (a).
Figure 13a presents the results of 10 repetitions of RI measurements taken with the Adrienne system on a flat metal barrier, averaged over microphones 8, 5, and 2, which form the central vertical line of the microphone grid. Comparing it with the corresponding measurement with Quick System, in Figure 12a, a similar trend can be seen, except for the third-octave bands from 200 Hz to 315 Hz. The standard deviation, visible in Figure 13b, shows higher values at low and high frequencies, as already observed in previous measurements. The DLRI values are about 1.5 dB lower than the values measured with the Quick System due to the penalty (higher reflection, i.e., lower sound absorption) found at low frequencies. The standard deviation of the DLRI values is 0.13 dB.
Figure 13. Repeatability measurements with Adrienne system and instrumentation repositioned in front of the sound-absorbing perforated metal barrier, average of microphones 8, 5, and 2; 10 measurements. (a) Sound Reflection Index; (b) standard deviation of values in (a); (c) DLRI, in the 200 Hz–5 kHz range, of data in (a).
Lower RI values in the three lower frequency bands measured with Quick System compared to the Adrienne system can be observed in both the measurement on the metal noise barrier (Figure 12 and Figure 13) as well as in the measurement on the OSB3 wood barrier (Figure 8 and Figure 9), although to a lesser extent. This will now be investigated.
Figure 14 shows a comparison of the Sound Reflection Index calculated from the signals from the three central microphones measured with the Adrienne system on the flat metal barrier (Figure 14a) and with the Quick System (Figure 14b), computed on board without time subtraction of the tail of the direct response from the reflected response [11]. Figure 14c shows the data measured from Quick System but processed with the Adrienne system software, version 1.8, with time subtraction. As expected, the RI values in Figure 14c are fully compatible with those measured with the Adrienne system (Figure 14a). The same data from Figure 14 were averaged and plotted in a single graph in Figure 15a. Figure 15b also shows the DLRI values calculated in the 200 Hz–5 kHz range from the three previous cases: it can be seen that the data measured with the Adrienne system and with the Quick System processed with time subtraction differ by only 0.22 dB, while the onboard processing of the Quick System without time subtraction yields slightly different DLRI values (approx. 1.5 dB difference). In the case of the OSB3 wooden barrier, which is less reflective than the metallic one, the DLRI values obtained by Adrienne and QS without subtraction differ by a smaller amount (about 0.2 dB). Figure 15c shows the normalized traffic noise spectrum, which is used to ‘weight’ the RI values for the DLRI calculation: it can be seen, nevertheless, that the values in the lower and higher frequency bands influence the definition of the single-number rating to a lesser extent than the values in the middle-frequency bands. This point will be further discussed in paragraph 5.
Figure 14. Sound Reflection Index measurements on the flat metal barrier with the Adrienne and Quick System. (a) RI from microphones 2, 5, and 8 from the Adrienne system; (b) RI from microphones 4, 3, and 2 from the Quick System processed without time subtraction; (c) RI from microphones 4, 3, and 2 from the Quick System processed with time subtraction from the Adrienne software, version 1.8.
Figure 15. (a) Average of measurements from three microphones presented in Figure 14; (b) DLRI, in the 200 Hz–5 kHz range, from data in (a); (c) normalized traffic noise spectrum, in dB(A).
To conclude the measurements of the Sound Reflection Index in the laboratory, Figure 16 shows a comparative analysis between a single measurement made with the Adrienne system (Figure 16a), plotted for each microphone of the grid, and a measurement made with the Quick System (Figure 16b), moving the antenna 0.4 m to the left and 0.4 m to the right of the middle position in order to reconstruct virtually all the positions of the Adrienne grid from microphones 2, 3 and 4 of the vertical antenna of the Quick System. The processing of the Quick System data was carried out with the Adrienne software, version 1.8, with signal subtraction in the time domain. The comparison shows an excellent agreement of the results, confirming the reliability of the data measured with Quick System. The DLRI obtained with the Adrienne system on the entire microphone grid is 8.6 dB, while with the Quick System and the virtual grid is 8.5 dB.
Figure 16. Sound Reflection Index measured on the flat metal barrier. (a) RI measured with Adrienne system, values from individual grid microphones; (b) RI measured with Quick System and ‘virtual grid’, values from individual virtual microphones.

3.3. Sound Insulation Index, in Laboratory, in Place Instrumentation

A series of 10 measurements of the Sound Insulation Index performed with Quick System on the OSB3 barrier, visible in Figure 5b, have been conducted; the sound source and microphone antenna were left in place during the measurements. It is, therefore, possible to estimate the repeatability of the system applied to SI measurements, regardless of positioning errors.
Figure 17 shows 10 measurements plotted from the single microphone 3 of the vertical antenna, i.e., the microphone horizontally aligned with the sound source. Figure 17a shows the 10 Sound Insulation Index values, in third-octave bands, Figure 17b plots the standard deviation for each frequency band, and Figure 17c plots the 10 DLSI values, in the 200 Hz–5 kHz, from each measurement. There is an increase in the standard deviations on the measurements at low frequencies. The standard deviation on the single-number ratings in the 10 measurements is approximately 0.4 dB.
Figure 17. SI repeatability measurements with Quick System and in-place instrumentation on the OSB3 barrier, microphone 3; 10 measurements. (a) Sound Insulation Index; (b) standard deviation of measurements in (a); (c) DLSI, in the 200 Hz–5 kHz range, of data in (a).
Figure 18 shows the averages from microphones 2, 3, and 4 of the vertical antenna of the 10 Sound Insulation Index measurements. The trend is very similar to that of the single microphone in Figure 17. The standard deviations are smaller than in Figure 17, being the result of averaging several microphones. DLSI values in the 200 Hz–5 kHz range are similar to those in the single-microphone case, and the standard deviation of the DLSI values is about 0.23 dB.
Figure 18. Repeatability measurements of SI with Quick System and in-place instrumentation on the OSB3 barrier, average of microphones 2, 3, and 4; 10 measurements. (a) Sound Insulation Index; (b) standard deviation of measurements in (a); (c) DLSI, in the 200 Hz–5 kHz range, of data in (a).
Figure 19 shows the averages from microphones 8, 5, and 2, which form the central vertical line in the microphone grid of the Adrienne system [7], from similar measurements on the OSB3 barrier. The findings demonstrate a high degree of similarity with the measurements obtained using the Quick System. The standard deviations, as with QS, are greater at low frequencies. The DLSI values in the 200 Hz–5 kHz range are very similar to those measured with QS. The standard deviation of the DLSI values calculated on the three vertical central microphones of the Adrienne grid is about 0.43 dB.
Figure 19. SI repeatability measurements with Adrienne system and in-place instrumentation on OSB3 barrier, average of microphones 8, 5, and 2; 10 measurements. (a) Sound Insulation Index; (b) standard deviation of measurements in (a); (c) DLSI, in the 200 Hz–5 kHz range, of data in (a).

3.4. Sound Insulation Index, in Laboratory, Repositioned Instrumentation

A series of 10 measurements of the Sound Insulation Index taken with Quick System on the OSB3 wooden barrier, visible in Figure 5b, has been achieved by repositioning of the sound source and microphone antenna for each measurement. In this way, it is possible to estimate the repeatability of the system and measurement method to the SI measurement, including positioning errors, which are inevitable when doing in-situ measurements. For each repositioning of the source and microphone antenna, a random error in the position of +/− 50 mm was added to the exact position, marked on the floor. These tests were carried out on the OSB3 non-flat noise barrier. For sound insulation measurements, the non-flatness of the surface exposed to noise is irrelevant.
Repeated SI measurements, with repositioning, from microphone 3 only, are plotted in Figure 20. The SI results are similar to the measurements with instrumentation left in place, visible in Figure 17. The standard deviations are only slightly larger, and the 200 Hz–5 kHz DLSI have similar values compared to the previous cases. The standard deviation on the DLSI values is about 0.46 dB.
Figure 20. SI repeatability measurements with Quick System and instrumentation repositioned at each measurement on OSB3 barrier, microphone 3 only; 10 measurements. (a) Sound Insulation Index; (b) standard deviation of measurements in (a); (c) DLSI, in the 200 Hz–5 kHz range, of data in (a).
Figure 21 displays the averages of microphones 2, 3, and 4 of the repeated SI measurements with repositioning. The SI values are similar to those in the previous case, like the DLSI values in the 200 Hz–5 kHz range. The standard deviation on the SI values is smaller than in the previous case. The standard deviation on the DLSI values is about 0.21 dB.
Figure 21. SI repeatability measurements with Quick System and instrumentation repositioned at each measurement on the OSB3 barrier, average of microphones 2, 3, and 4; 10 measurements. (a) Sound Insulation Index; (b) standard deviation of measurements in (a); (c) DLSI, in the 200 Hz–5 kHz range, of data in (a).
Figure 22 shows the averages from microphones 8, 5, and 2, which form the central vertical line in the microphone grid of the Adrienne system [7], of repeated Sound Insulation Index measurements by repositioning the instrumentation at each measurement. The excellent similarity with those obtained from the Quick System in Figure 21 can be observed. The standard deviation is greater than that of the QS measurements, probably due to the increased difficulty in positioning and orienting the Adrienne grid, which is heavier and has more degrees of freedom than the QS microphone antenna. The 200 Hz–5 kHz DLSI values are just a few fractions of a dB smaller than those of the QS. The standard deviation on the DLSI values is 0.29 dB.
Figure 22. SI repeatability measurements with Adrienne system and instrumentation repositioned on OSB3 barrier, average of microphones 8, 5, and 2; 10 measurements. (a) Sound Insulation Index; (b) standard deviation of measurements in (a); (c) DLSI, in the 200 Hz–5 kHz range, of data in (a).

4. In-Situ Repeatability Tests

Some repeatability measurements carried out in situ with the Quick System will now be analyzed and compared, when possible, with repeatability measurements carried out in situ using the Adrienne system. The measurements using Quick System were performed on a flat perforated metal noise barrier installed along the A22 Brenner motorway near Isera (TN), see Figure 23.
Figure 23. In-situ measurements on a flat metal barrier. (a) RI measurement on the roadside surface of the noise barrier; (b) free-field measurement; (c) SI measurement, loudspeaker on the roadside; (d,e) SI measurement with microphone antenna on the noise barrier side opposite to the roadside.

4.1. Sound Reflection Index, In Situ, Repositioned Instrumentation

Figure 24a shows the Sound Reflection Index measurements taken in situ with the Quick System at the Isera site (Figure 23), with the system repositioned for each measurement; in particular, the data from microphone 3 alone are analyzed. Figure 24b plots the standard deviations per frequency band and Figure 24c shows the DLRI values in the 200 Hz–5 kHz range. The standard deviation on the DLRI values is approximately 0.2 dB.
Figure 24. RI repeatability measurements with Quick System in situ and instrumentation repositioned on a flat metal barrier, microphone 3; 10 measurements. (a) Sound Reflection Index values; (b) standard deviation of measurements in (a); (c) DLRI in the 200 Hz–5 kHz range of data in (a).
Figure 25a shows the Sound Reflection Index measurements of the previous case, averaged over microphones 2, 3, and 4. The standard deviation is smaller, as expected, with higher values at low frequencies. The standard deviation of the DLRI values is about 0.3 dB.
Figure 25. RI repeatability measurements with Quick System in situ and instrumentation repositioned on a flat metal barrier, average of microphones 2, 3, and 4; 10 measurements. (a) Sound Reflection Index values; (b) standard deviation of measurements in (a); (c) DLRI in the 200 Hz–5 kHz range of data in (a).
Figure 26 shows the repeatability measurements (average of the three central vertical microphones) carried out in situ with the Adrienne system [8] on a different type of noise barrier made in wooden panels and concrete, visible in Figure 2. The RI and DLRI values are different from those in Figure 25, but it is worth noting that the standard deviations over the 10 measurements are of the same order of magnitude as those of the measurements with the Quick System.
Figure 26. Repeatability measurements of RI with the Adrienne system made in situ near Verona on a noise barrier made in wooden panels and concrete, repositioning the instrumentation, average of microphones 8, 5, and 2; 10 measurements. (a) Sound Reflection Index values; (b) standard deviation of measurements in (a); (c) DLRI in the 200 Hz–5 kHz range of data in (a).
Figure 27 shows a comparison of measurements made in situ on the wood-concrete noise barrier, visible in Figure 2 and Figure 3, with both the Adrienne and the Quick System. Both RI values from the single on-axis microphones of the respective measurement systems (microphone 5 for the Adrienne system, microphone 3 for Quick System) and the vertical groupings of 3 microphones analyzed previously for the two systems are analyzed. A good agreement of the results averaged over three microphones can be observed. In this case, the QS values analyzed are those processed onboard the system without signal subtraction in the time domain. When measuring mild absorbing noise barriers, like in this case, the differences shown above on the metal barrier in the laboratory become less important. The DLRI values in the 200 Hz–5 kHz range calculated in the 4 cases are: DLRI QS Mic 3 = 2.2 dB; DLRI Adrienne Mic 5 = 2.9 dB; DLRI QS Mics 2,3,4 = 3.6 dB (processed without subtraction in the time domain); DLRI Adrienne Mic 8,5,2 = 4.5 dB (processed with subtraction in the time domain).
Figure 27. Comparison between in-situ measurements with Adrienne system and with Quick System, conducted near Verona on a noise barrier made in wooden panels and concrete. Average of microphones 2, 3, and 4 of the QS and 8, 5, and 2 of the Adrienne system.

4.2. Sound Insulation Index, In Situ, Repositioned Instrumentation

We now proceed to the analysis of the Sound Insulation Index repeated measurements in situ, on the same flat metal noise barrier.
Figure 28 presents the repeated measurements of the Sound Insulation Index made with the Quick System on the flat metal noise barrier visible in Figure 23. In detail, Figure 28a shows the results from microphone 3 only, Figure 28b the standard deviations of the 10 measurements and Figure 28c the DLSI values in the 200 Hz–5 kHz range obtained from each measurement. A high variability of the SIs can be observed, also evidenced by the standard deviations, which in the lower and higher frequency band reach 7–8 dB. The standard deviation on the DLSI values is 4.1 dB.
Figure 28. SI repeatability measurements with Quick System in situ and instrumentation repositioned on a flat metal noise barrier, microphone 3 only; 10 measurements. (a) Sound Insulation Index values; (b) standard deviation of measurements in (a); (c) DLSI in the 200 Hz–5 kHz range of data in (a).
Figure 29 shows the SI values of the previous measurement, averaged over the three microphones 2, 3, and 4. The standard deviations on the SIs have improved somewhat, with values around 3-4 dB, but there is still a high degree of variability in the results. The standard deviation of the DLSI values in the 200 Hz–5 kHz range is around 2.3 dB. These results require further investigation, as they are quite different from those obtained in the laboratory, although on a different type of noise barrier. Therefore, the signal-to-noise ratio values of the sound insulation measurements, automatically calculated by the Quick System for each measurement, were analyzed by evaluating the ratio of the energy around the peaks of the measured impulse responses to the energy found in a part of the impulse response where the signal from the sound source should not be present, as explained in [8].
Figure 29. SI repeatability measurements with Quick System in situ and instrumentation repositioned on a flat metal noise barrier, average of microphones 2, 3, and 4; 10 measurements. (a) Sound Insulation Index values; (b) standard deviation of measurements in (a); (c) DLSI in the 200 Hz–5 kHz range of data in (a).
From Figure 30, the reason for such a high variability between the measurements becomes immediately clear: the poor SNR of the measurements when the microphones are behind the noise barrier. The SNR values of the in-situ free-field measurements were around 38 dB. In the laboratory, measurements of the SNR values of the free-field measurements were around 45 dB, and the behind-the-barrier measurements were around 20 dB. The observed problem was caused by a too-low sound level of the sound source, considering the attenuation due to the noise barrier and the boundary conditions of the in-situ measurement, i.e., non-stationary conditions for wind and background noise due to vehicular traffic (behind the barrier). In the laboratory, the measured noise barrier had a smaller sound insulation, no background noise was present, and the conditions were perfectly stationary.
Figure 30. Signal-to-noise ratio of SI measurements shown in Figure 29.
In order to confirm that the problem found at the Isera site was caused by a poor SNR ratio, comparative SI measurements, carried out both with the Adrienne system and the Quick System, were conducted at the Verona Nord site on the wood-concrete barrier visible in Figure 2 and Figure 3, of which RI had already been measured (Figure 27). Figure 31 shows a comparison of the Sound Insulation Index measurements from the Adrienne system and the Quick System, processed according to different combinations of microphones: Adrienne full nine-microphone grid, Adrienne 3 central vertical microphones, Quick System microphones 2, 3, 4, and 5 and Quick System microphones 2, 3, and 4. Figure 31 shows a very good agreement between the two systems. In this case, the barrier has a smaller sound insulation than the metal noise barrier discussed in the repeatability measurements, so the problem of poor SNR did not arise. The DLSI 200 Hz–5 kHz values obtained from the comparative measurements are as follows: DLSI Adrienne grid: 13.0 dB; DLSI Adrienne microphones 2-5-8: 12.9 dB; DLSI Quick System microphones 2-3-4-5: 12.8 dB; DLSI Quick System microphones 2-3-4: 11.2 dB.
Figure 31. In-situ Sound Insulation Index measurement carried out with Adrienne and Quick Systems on the same noise barrier (location Verona Nord).

5. Discussion

From the data presented above, it seems that a couple of points deserve further investigation.
First, in the measurements of the Sound Reflection Index made with the Quick System, a difference was observed in the third-octave bands from 200 Hz to 315 Hz between the RI values calculated onboard the system without time–domain subtraction and the values measured and calculated with the Adrienne system with subtraction (see Figure 14 and Figure 15). It was then verified that the measurements made with the Quick System and then processed with time–domain subtraction—using the Adrienne software, version 1.8—led to almost identical results, so the hardware and impulse response measurement part of the Quick System is completely reliable, and the difference found is due only to the missing time–domain subtraction. So, the question arises: why not perform the time–domain subtraction onboard the Quick System, too? The answer lies in the algorithm for aligning the free-field response with the response measured in front of the noise barrier, which requires hundreds of high-resolution FFTs and IFTs to achieve the optimal alignment. The Quick System would take too long to perform these operations, defeating its purpose as a ‘fast’ system. In fact, the two impulse responses are unlikely to be perfectly overlapping, and it is equally unlikely that their temporal offset (due to small, unavoidable positioning errors) corresponds exactly to a discrete number of time samples. Therefore, it is necessary to align the two responses in a ‘fine’ manner, prior to the subtraction, and this is conducted by shifting one of the two responses by fractions of the discrete sampling step (defined by the sampling rate of the system). In other words, resampling of the data is conducted by shifting one of the two impulse responses in small steps of 1/50th or 1/100th of a sample, after determining an initial coarse alignment. For each step, the impulse response is shifted by performing an FFT and an IFT of length at least 64 K; at each step, the least-squares difference between the two impulse responses is calculated until the minimum value is found, determining the optimum shifting value that will be used by the software for the final positioning of the reflected response before the actual subtraction in the time domain [3,11].
Figure 32 shows an example of signal subtraction in the time domain, the purpose of which is to eliminate the ‘contamination’ of the first part of the reflection by the direct signal, being they partially overlapped in the reflected impulse response. Figure 32a shows both impulse responses: free-field, in green, and reflected, in gray; in this example, the positioning had been quite precise, and the initial parts of both responses appear to overlap well. In Figure 32b, the detail of the reflected response only, without the free-field overlap, can be seen. Figure 32c shows the result of the time–domain subtraction performed by the Adrienne software, version 1.8, with the fine alignment described above: it can be seen that the direct part is almost zeroed, as is the part of the direct response superimposed on the reflected part. Figure 32c shows the time–domain subtraction result without the ‘fine’ alignment search (in practice, the software was set to search in discrete steps instead of fractions of a sample). It can, therefore, be seen that even when the responses seemingly appear to overlap, they actually do not, and performing the time–domain subtraction would do more harm than good, creating worse artefacts in the reflected part than performing no subtraction at all. Research is currently underway into a new alignment algorithm that requires fewer computational resources and can be implemented on board the Quick System. It was found, however, that the differences between processing with and without subtraction emerge only at low frequencies, and these are taken into account only slightly by the normalized road traffic noise spectrum [42], which is A-weighted. So, in the worst case, i.e., on very reflective noise barriers, differences of 1–1.5 dB from the full Adrienne method in the RI calculation could occur; on sound-absorbing noise barriers, in general, these differences are smaller and acceptable. In any case, if required, the data measured with Quick System can be re-processed with the Adrienne software, version 1.8, at a later time to have a calculation with subtraction and results equivalent to those measured with the Adrienne system. However, it is worth remarking that for a quick in-situ check of the noise barrier, this perfect coincidence is not necessary; what is needed is the order of magnitude of the average performance on a large number of test points and its variability.
Figure 32. Example of time–domain subtraction between reflected impulse response and free-field impulse response, microphone 5. (a) Reflected impulse response (gray) superimposed on direct impulse response (green); (b) detail of measured reflected impulse response only; (c) reflected impulse response after subtraction; (d) reflected impulse response and residual of direct one after imperfect subtraction. The blue line is the direct impulse response window; the red line is the reflected impulse response window.
The second point that emerges from the data presented here relates to the repeatability of in-situ SI measurements, which showed greater variability than expected when the SNR was too low. This problem originated from the limitations of the amplifier of the lightweight sound source used, which is not well suited for measuring highly insulating noise barriers. It can be simply solved by using a sound source with a higher power. The hardware of the Quick System’s sampling system allows a dynamic range of approximately 84 dB, and the inexpensive electret microphones used have at least 60 dB of useful dynamic range [8], so that a sound source with a higher output level can be used without problems.

6. Conclusions

Repeatability measurements with in-place instrumentation in the laboratory proved the excellent reliability of the Quick System for RI and SI measurements. Measurements with repositioning of the instrumentation with Quick System in the laboratory, including comparisons with full Adrienne measurements, confirmed that it is possible to make quick RI and SI measurements with reliable results. Repeatability measurements in situ with the Quick System and some comparisons with the Adrienne system revealed some points that could be improved, such as the need to post-process the data measured with the Quick System with the Adrienne software, version 1.8, in order to obtain equivalent RI values (however, for a quick in-situ check of the noise barrier this is not necessary) and the need to use a higher-power sound source when measuring the sound insulation of high-efficiency noise barriers. The system’s good reliability and the possibility of making quick measurements in situ remain confirmed. With the fast improvements of the available hardware, both the above-mentioned attention points will be easily overcome; this is the goal of future work.
Two short demonstration videos showing the in-situ measurement of Sound Reflection Index and Sound Insulation Index have been uploaded in the Supplementary Materials section. An Excel file containing all the data and graphs shown in the article has also been uploaded in Supplementary Materials section.

Supplementary Materials

The following supporting information can be downloaded at https://www.mdpi.com/article/10.3390/environments12020057/s1. Video measurement of RI, Video measurement of SI, and Excel file with measurement data and plots.

Author Contributions

Conceptualization, P.G. and M.G.; methodology, P.G.; software, P.G.; validation, P.G. and M.G.; formal analysis, P.G. and M.G.; investigation, P.G. and M.G.; resources, P.G. and M.G.; data curation, P.G.; writing—original draft preparation, P.G.; writing—review and editing, P.G. and M.G.; supervision, M.G.; project administration, M.G.; funding acquisition, M.G. All authors have read and agreed to the published version of the manuscript.

Funding

This work was partly performed in the frame of the SOPRANOISE project, funded by CEDR (Conference of European Directors of Roads) as a part of their Transnational Road Research Program, Call 2018, Noise and Nuisance.

Data Availability Statement

The original contributions presented in this study are included in the article and Supplementary Material. Further inquiries can be directed to the corresponding author.

Acknowledgments

This article is a revised and expanded version of a paper entitled “measurement of sound reflection and sound insulation of installed noise barriers using the SOPRANOISE Quick Method”, which was presented at Inter-Noise 2024, Nantes, France, 25–29 August 2024. All data in the paper have been reworked and expanded. The conference paper is cited both in the paper text and in the references list [9].

Conflicts of Interest

The authors declare no conflicts of interest.

References

  1. Stansfeld, S.; Clark, C.; Smuk, M.; Gallacher, J.; Babisch, W. Road traffic noise, noise sensitivity, noise annoyance, psychological and physical health and mortality. Environ. Health 2021, 20, 32. [Google Scholar] [CrossRef]
  2. Khosravipour, M.; Khanlari, P. The association between road traffic noise and myocardial infarction: A systematic review and meta-analysis. Sci. Total Environ. 2014, 731, 139226. [Google Scholar] [CrossRef] [PubMed]
  3. EN 1793-5:2016/AC:2018; Road Traffic Noise Reducing Devices-Test Method for Determining the Acoustic Performance—Part 5: Intrinsic Characteris-tics—In Situ Values of Sound Reflection Under Direct Sound Field Conditions. European Committee for Standardization: Brussels, Belgium, 2018.
  4. EN 1793-6:2018/A1:2021; Road Traffic Noise Reducing Devices-Test Method for Determining the Acoustic Performance—Part 6: Intrinsic Characteris-tics—In Situ Values of Airborne Sound Insulation Under Direct Sound Field Conditions. European Committee for Standardization: Brussels, Belgium, 2021.
  5. Radosz, J. Acoustic performance of noise barrier based on sonic crystals with resonant elements. Appl. Acoust. 2019, 155, 492–499. [Google Scholar] [CrossRef]
  6. Garai, M.; Schoen, E.; Behler, G.; Bragado, B.; Chudalla, M.; Conter, M.; Defrance, J.; Demizieux, P.; Glorieux, C.; Guidorzi, P. Repeatability and reproducibility of in situ measurements of sound reflection and airborne sound insulation index of noise barriers. Acta Acust. United Acust. 2014, 100, 1186–1201. [Google Scholar] [CrossRef]
  7. Guidorzi, P.; Garai, M. Repeatability of the European Standardized Method for Measuring Sound Reflection and Sound Insulation of Noise Barriers. Environments 2023, 10, 139. [Google Scholar] [CrossRef]
  8. Guidorzi, P.; Garai, M. A Low-Cost System for Quick Measurements on Noise Barriers in Situ. IEEE Trans. Instrum. Meas. 2022, 71, 6503714. [Google Scholar] [CrossRef]
  9. Guidorzi, P.; Garai, M. Measurement of sound reflection and sound insulation of installed noise barriers using the SOPRANOISE quick method. In Proceedings of the Inter-Noise 2024, Nantes, France, 25–29 August 2024. [Google Scholar]
  10. Waaranperä, M.; Forssén, J. Time-domain model for spherical wave reflection in a flat surface with absorber character—Application to the SOPRA measurement method. Appl. Acoust. 2025, 227, 110251. [Google Scholar] [CrossRef]
  11. Garai, M.; Guidorzi, P. Sound reflection measurements on noise barriers in critical conditions. Build. Environ. 2015, 94, 752–763. [Google Scholar] [CrossRef]
  12. Robinson, P.; Xiang, N. On the subtraction method for in situ reflection and diffusion coefficient measurements. J. Acoust. Soc. Am. 2010, 127, 99–104. [Google Scholar] [CrossRef]
  13. Fuchs, A.; Nowak, J.; Conter, M. Selection of measurement positions for measuring sound reflection of noise barriers. In Proceedings of the Inter-Noise 2024, Nantes, France, 25–29 August 2024. [Google Scholar]
  14. Watts, G.; Morgan, P. Measurement of airborne sound insulation of timber noise barriers: Comparison of in situ method CEN/TS 1793-5 with laboratory method EN 1793-2. Appl. Acoust. 2007, 68, 421–436. [Google Scholar] [CrossRef]
  15. Reiter, P.; Ziegelwanger, H.; Conter, M. Optimization of Noise Barrier Reflection Properties. In Proceedings of the Inter-Noise 2016, Hamburg Germany, 21–24 August 2016. [Google Scholar]
  16. Buytaert, A.; Vanhooreweder, B.; Clairbois, J.-P.; Houtave, P.; Glorieux, C.; Roozen, B. In-situ measurements according NBN EN 1793-5 and NBN EN 1793-6-First results and impressions. In Proceedings of the Inter-Noise 2017, Hong Kong, China, 27–30 August 2017. [Google Scholar]
  17. Conter, M.; Wehr, R. Comparison between laboratory and in-situ methods for measuring sound absorption properties of noise barriers. In Proceedings of the Euronoise 2015, Maastricht, The Netherlands, 31 May–3 June 2015. [Google Scholar]
  18. Bull, J.; Watts, G.; Pearse, J. The use of in-situ test method EN 1793-6 for measuring the airborne sound insulation of noise barriers. Appl. Acoust. 2017, 216, 82–86. [Google Scholar] [CrossRef]
  19. Thomasson, S. On the absorption coefficient. Acustica 1980, 44, 256–273. [Google Scholar]
  20. Wehr, R.; Haider, M.; Conter, M.; Gasparoni, S.; Breuss, S. Measuring the sound absorption properties of noise barriers with inverse filtered maximum length sequences. Appl. Acoust. 2013, 74, 631–639. [Google Scholar] [CrossRef]
  21. Ekici, I.; Bougdah, H. A Review of Research on Environmental Noise Barriers. Build. Acoust. 2003, 10, 289–323. [Google Scholar] [CrossRef]
  22. Kurze, U.J.; Anderson, G.S. Sound attenuation by barriers. Appl. Acoust. 1971, 4, 35–53. [Google Scholar] [CrossRef]
  23. Mao, M.; Wu, F.; Hu, S.; Dai, X.; He, Q.; Tang, J.; Hong, X. Analysis and Optimization of the Noise Reduction Performance of Sound-Absorbing Materials in Complex Environments. Processes 2024, 12, 2582. [Google Scholar] [CrossRef]
  24. Ramírez-Solana, D.; Galiana-Nieves, J.; Picó, R.; Redondo, J.; Sangiorgio, V.; Graziano, A.V.; Parisi, N. Sonic Crystal Noise Barrier with Resonant Cavities for Train Brake Noise Mitigation. Appl. Sci. 2024, 14, 2753. [Google Scholar] [CrossRef]
  25. Sousa, L.; Pereira, L.; Montes-González, D.; Ramos, D.; Amado-Mendes, P.; Barrigón-Morillas, J.M.; Godinho, L. Experimental Analysis and Simulation of a Porous Absorbing Layer for Noise Barriers. Appl. Sci. 2023, 13, 2638. [Google Scholar] [CrossRef]
  26. Wu, X.; He, X.; Huang, J. Comparative Analysis of Dynamic Responses of Different Types of High-Speed Railway Noise Barriers under the Influence of Fluctuating Wind Pressure. Sustainability 2022, 14, 12900. [Google Scholar] [CrossRef]
  27. Lázaro, J.; Pereira, M.; Costa, P.A.; Godinho, L. Performance of Low-Height Railway Noise Barriers with Porous Materials. Appl. Sci. 2022, 12, 2960. [Google Scholar] [CrossRef]
  28. Pultznerová, A.; Šimo, J.; Grenčík, J. Possibilities of Evaluating the Effectiveness of Noise Barriers in Slovakia. Appl. Sci. 2021, 11, 10206. [Google Scholar] [CrossRef]
  29. Dimitrijević, S.M.; García-Chocano, V.M.; Cervera, F.; Roth, E.; Sánchez-Dehesa, J. Sound Insulation and Reflection Properties of Sonic Crystal Barrier Based on Micro-Perforated Cylinders. Materials 2019, 12, 2806. [Google Scholar] [CrossRef] [PubMed]
  30. Wang, H.; Luo, P.; Cai, M. Calculation of Noise Barrier Insertion Loss Based on Varied Vehicle Frequencies. Appl. Sci. 2018, 8, 100. [Google Scholar] [CrossRef]
  31. Borish, J.; Angell, J.B. An Efficient Algorithm for Measuring the Impulse Response Using Pseudorandom Noise. J. Audio Eng. Soc. 1983, 31, 478–488. [Google Scholar]
  32. Rife, D.D.; Vanderkooy, J. Transfer-function measurement with maximum-length sequences. J. Audio Eng. Soc. 1989, 37, 419–444. [Google Scholar]
  33. Rife, D.D. Modulation Transfer Function Measurement with Maximum Length Sequences. J. Audio Eng. Soc. 1992, 40, 779–790. [Google Scholar]
  34. Vanderkooy, J. Aspects of MLS measuring systems. J. Audio Eng. Soc. 1994, 42, 219–231. [Google Scholar]
  35. Mommertz, E. Angle-dependent in situ measurements of reflection coefficients using a subtraction technique. Appl. Acoust. 1995, 46, 251–263. [Google Scholar] [CrossRef]
  36. Vorländer, M.; Kob, M. Practical aspects of MLS measurements in building acoustics. Appl. Acoust. 1997, 52, 239–258. [Google Scholar] [CrossRef]
  37. Nielsen, J.L. Improvement of Signal-to-Noise Ratio in Long-Term MLS Measurements with High-Level Nonstationary Disturbances. J. Audio Eng. Soc. 1997, 45, 1063–1066. [Google Scholar]
  38. Vorländer, M.; Mommertz, E. Guidelines for the application of the MLS technique in building acoustics and in outdoor measurements. In Proceedings of the 1997 International Congress on Noise Control Engineering, Budapest, Hungary, 25–27 August 1997; pp. 1457–1462. [Google Scholar]
  39. Stan, G.; Embrechts, J.J.; Archambeau, D. Comparison of Different Impulse Response Measurement Techniques. J. Audio Eng. Soc. 2002, 50, 249–262. [Google Scholar]
  40. Ćirić, D. Comparison of influence of distortion in MLS and Sine Sweep technique. In Proceedings of the 19th International Congress on Acoustics, Madrid, Spain, 2–7 September 2007; p. RBA-07-020. [Google Scholar]
  41. Papadakis, N.M.; Antoniadou, S.; Stavroulakis, G.E. Effects of Varying Levels of Background Noise on Room Acoustic Parameters, Measured with ESS and MLS Methods. Acoustics 2023, 5, 563–574. [Google Scholar] [CrossRef]
  42. EN 1793-3:1997; Road Traffic Noise Reducing Devices—Test Method for Determining the Acoustic Performance—Part 3: Normalized Traffic Noise Spectrum. European Committee for Standardization: Brussels, Belgium, 2018.
Disclaimer/Publisher’s Note: The statements, opinions and data contained in all publications are solely those of the individual author(s) and contributor(s) and not of MDPI and/or the editor(s). MDPI and/or the editor(s) disclaim responsibility for any injury to people or property resulting from any ideas, methods, instructions or products referred to in the content.

Article Metrics

Citations

Article Access Statistics

Multiple requests from the same IP address are counted as one view.