Low Concentrations of Biochar Improve Germination and Seedling Development in the Threatened Arable Weed Centaurea cyanus
Abstract
1. Introduction
2. Materials and Methods
2.1. Biochar
2.2. Experimental Design
2.3. Germination Parameters
- Mean germination time (MGT), calculated according to Ellis and Roberts [61] (Equation (2)):where ni is the number of seeds germinated on the ith day, di is the ith number of days from the beginning of the test, N is the total number of seeds germinated at the end of the experiment, and j is the total number of days of the experiment.
- Germination rate index (GRI), calculated according to Fowler [62] (Equation (3)):where Gn is the number of germinated seeds, and Dn is the number of days since the beginning of observations.
- Germination energy (GE), calculated according to Czabator [60] (Equation (4)):where DAS is the number of days after sowing.
2.4. Data Analysis
3. Results and Discussion
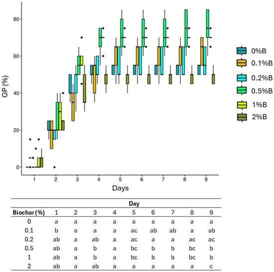
3.1. Germination Parameters
3.2. Fresh and Dry Weight
3.3. Radicle Length
4. Conclusions
Author Contributions
Funding
Data Availability Statement
Acknowledgments
Conflicts of Interest
References
- Pingali, P.L. The Green Revolution and crop biodiversity. In Routledge Handbook of Agricultural Biodiversity; Routledge: New York, NY, USA, 2017; pp. 213–223. [Google Scholar]
- Xie, H.; Huang, Y.; Chen, Q.; Zhang, Y.; Wu, Q. Prospects for agricultural sustainable intensification: A review of research. Land 2019, 8, 157. [Google Scholar] [CrossRef]
- Fanfarillo, E.; Latini, M.; Iberite, M.; Bonari, G.; Nicolella, G.; Rosati, L.; Abbate, G. The segetal flora of winter cereals and allied crops in Italy: Species inventory with chorological, structural and ecological features. Plant Biosyst. 2020, 154, 935–946. [Google Scholar] [CrossRef]
- Storkey, J.; Meyer, S.; Still, K.S.; Leuschner, C. The impact of agricultural intensification and land-use change on the European arable flora. Proc. R. Soc. B Biol. Sci. 2012, 279, 1421–1429. [Google Scholar] [CrossRef] [PubMed]
- Bastiaans, L.; Kropff, M.J.; Goudriaan, J.; Van Laar, H.H. Design of weed management systems with a reduced reliance on herbicides poses new challenges and prerequisites for modeling crop–weed interactions. Field Crops Res. 2000, 67, 161–179. [Google Scholar] [CrossRef]
- Nazarko, O.M.; Van Acker, R.C.; Entz, M.H. Strategies and tactics for herbicide use reduction in field crops in Canada: A review. Can. J. Plant Sci. 2005, 85, 457–479. [Google Scholar] [CrossRef]
- Vencill, W.K.; Nichols, R.L.; Webster, T.M.; Soteres, J.K.; Mallory-Smith, C.; Burgos, N.R.; McClelland, M.R. Herbicide resistance: Toward an understanding of resistance development and the impact of herbicide-resistant crops. Weed Sci. 2012, 60, 2–30. [Google Scholar] [CrossRef]
- Chauhan, B.S.; Singh, R.G.; Mahajan, G. Ecology and management of weeds under conservation agriculture: A review. Crop Prot. 2012, 38, 57–65. [Google Scholar] [CrossRef]
- Fanfarillo, E.; Kasperski, A.; Giuliani, A.; Abbate, G. Shifts of arable plant communities after agricultural intensification: A floristic and ecological diachronic analysis in maize fields of Latium (central Italy). Bot. Lett. 2019, 166, 356–365. [Google Scholar] [CrossRef]
- Fried, G.; Dessaint, F.; Reboud, X. Local and regional changes in taxonomic and functional diversity of arable weed communities in Burgundy (France) between the 1970s and the 2000s. Bot. Lett. 2016, 163, 359–371. [Google Scholar] [CrossRef]
- Blaix, C.; Moonen, A.C.; Dostatny, D.F.; Izquierdo, J.; Le Corff, J.; Morrison, J.; Westerman, P.R. Quantification of regulating ecosystem services provided by weeds in annual cropping systems using a systematic map approach. Weed Res. 2018, 58, 151–164. [Google Scholar] [CrossRef]
- Yvoz, S.; Cordeau, S.; Ploteau, A.; Petit, S. A framework to estimate the contribution of weeds to the delivery of ecosystem (dis)services in agricultural landscapes. Ecol. Indic. 2021, 132, 108321. [Google Scholar] [CrossRef]
- Adeux, G.; Vieren, E.; Carlesi, S.; Bàrberi, P.; Munier-Jolain, N.; Cordeau, S. Mitigating crop yield losses through weed diversity. Nat. Sustain. 2019, 2, 1018–1026. [Google Scholar] [CrossRef]
- Bretagnolle, V.; Gaba, S. Weeds for bees? A review. Agron. Sustain. Dev. 2015, 35, 891–909. [Google Scholar] [CrossRef]
- Liu, T.; Chen, X.; Hu, F.; Ran, W.; Shen, Q.; Li, H.; Whalen, J.K. Carbon-rich organic fertilizers to increase soil biodiversity: Evidence from a meta-analysis of nematode communities. Agric. Ecosyst. Environ. 2016, 232, 199–207. [Google Scholar] [CrossRef]
- Fedeli, R.; Celletti, S.; Alexandrov, D.; Nafikova, E.; Loppi, S. Biochar-mediated bioremediation: A sustainable strategy to increase Avena sativa L. tolerance to crude oil soil contamination. Environ. Sci. Pollut. Res. 2024, 31, 1–10. [Google Scholar] [CrossRef] [PubMed]
- Rombel, A.; Krasucka, P.; Oleszczuk, P. Sustainable biochar-based soil fertilizers and amendments as a new trend in biochar research. Sci. Total Environ. 2022, 816, 151588. [Google Scholar] [CrossRef]
- Carril, P.; Becagli, M.; Celletti, S.; Fedeli, R.; Loppi, S.; Cardelli, R. Biofertilization with Liquid Vermicompost-Activated Biochar Enhances Microbial Activity and Soil Properties. Soil Syst. 2024, 8, 54. [Google Scholar] [CrossRef]
- Yadav, R.; Ramakrishna, W. Biochar as an environment-friendly alternative for multiple applications. Sustainability 2023, 15, 13421. [Google Scholar] [CrossRef]
- Legislative Decree 75. Available online: https://www.politicheagricole.it/flex/cm/pages/ServeBLOB.php/L/IT/IDPagina/10087 (accessed on 5 April 2024).
- Grewal, A.; Abbey, L.; Gunupuru, L.R. Production, prospects and potential application of pyroligneous acid in agriculture. J. Anal. Appl. Pyrolysis 2018, 135, 152–159. [Google Scholar] [CrossRef]
- Boateng, A.A.; Garcia-Perez, M.; Mašek, O.; Brown, R.; del Campo, B. Biochar production technology. In Biochar for Environmental Management; Routledge: New York, NY, USA, 2015; pp. 63–87. [Google Scholar]
- Guimarães, T.; Moreira, R.P.L. Biochar production, properties, and its influencing factors. In Interactions of Biochar and Herbicides in the Environment; CRC Press: Boca Raton, FL, USA, 2022; pp. 23–51. [Google Scholar]
- Ronsse, F. Biochar production. In Biochar: A Regional Supply Chain Approach in View of Climate Change Mitigation; Routledge: New York, NY, USA, 2016; pp. 199–226. [Google Scholar]
- Chia, C.H.; Downie, A.; Munroe, P. Characteristics of biochar: Physical and structural properties. In Biochar for Environmental Management; Routledge: New York, NY, USA, 2015; pp. 89–109. [Google Scholar]
- Haider, F.U.; Coulter, J.A.; Liqun, C.A.I.; Hussain, S.; Cheema, S.A.; Jun, W.U.; Zhang, R. An overview on biochar production, its implications, and mechanisms of biochar-induced amelioration of soil and plant characteristics. Pedosphere 2022, 32, 107–130. [Google Scholar] [CrossRef]
- Laird, D.A.; Fleming, P.; Davis, D.D.; Horton, R.; Wang, B.; Karlen, D.L. Impact of biochar amendments on the quality of a typical Midwestern agricultural soil. Geoderma 2010, 158, 443–449. [Google Scholar] [CrossRef]
- Vaughn, S.F.; Kenar, J.A.; Eller, F.J.; Moser, B.R.; Jackson, M.A.; Peterson, S.C. Physical and chemical characterization of biochars produced from coppiced wood of thirteen tree species for use in horticultural substrates. Ind. Crops Prod. 2015, 66, 44–51. [Google Scholar] [CrossRef]
- Choi, D.; Makoto, K.; Quoreshi, A.M.; Qu, L.Y. Seed germination and seedling physiology of Larix kaempferi and Pinus densiflora in seedbeds with charcoal and elevated CO2. Landsc. Ecol. Eng. 2009, 5, 107–113. [Google Scholar] [CrossRef]
- Van Zwieten, L.; Kimber, S.; Morris, S.; Chan, K.Y.; Downie, A.; Rust, J.; Joseph, S.; Cowie, A. Effects of biochar from slow pyrolysis of papermill waste on agronomic performance and soil fertility. Plant Soil 2010, 27, 235–246. [Google Scholar] [CrossRef]
- Free, H.F.; McGill, C.R.; Rowarth, J.S.; Hedley, M.J. The effect of biochars on maize (Zea mays) germination. N. Z. J. Agric. Res. 2010, 53, 1–4. [Google Scholar] [CrossRef]
- Jeffery, S.; Verheijen, F.G.; van der Velde, M.; Bastos, A.C. A quantitative review of the effects of biochar application to soils on crop productivity using meta-analysis. Agric. Ecosyst. Environ. 2011, 144, 175–187. [Google Scholar] [CrossRef]
- Kapoor, A.; Sharma, R.; Kumar, A.; Sepehya, S. Biochar as a means to improve soil fertility and crop productivity: A review. J. Plant Nutr. 2022, 45, 2380–2388. [Google Scholar] [CrossRef]
- Akhtar, S.S.; Andersen, M.N.; Liu, F. Biochar mitigates salinity stress in potato. J. Agron. Crop Sci. 2015, 201, 368–378. [Google Scholar] [CrossRef]
- Fedeli, R.; Vannini, A.; Djatouf, N.; Celletti, S.; Loppi, S. Can lettuce plants grow in saline soils supplemented with biochar? Heliyon 2024, 10, e26526. [Google Scholar] [CrossRef]
- Ali, S.; Rizwan, M.; Qayyum, M.F.; Ok, Y.S.; Ibrahim, M.; Riaz, M.; Shahzad, A.N. Biochar soil amendment on alleviation of drought and salt stress in plants: A critical review. Environ. Sci. Pollut. Res. 2017, 24, 12700–12712. [Google Scholar] [CrossRef]
- Kangoma, E.; Blango, M.M.; Rashid-Noah, A.B.; Sherman-Kamara, J.; Moiwo, J.P.; Kamara, A. Potential of biochar-amended soil to enhance crop productivity under deficit irrigation. Irrig. Drain. 2017, 66, 600–614. [Google Scholar] [CrossRef]
- Dike, C.C.; Shahsavari, E.; Surapaneni, A.; Shah, K.; Ball, A.S. Can biochar be an effective and reliable biostimulating agent for the remediation of hydrocarbon-contaminated soils? Environ. Int. 2021, 154, 106553. [Google Scholar] [CrossRef] [PubMed]
- Fedeli, R.; Alexandrov, D.; Celletti, S.; Nafikova, E.; Loppi, S. Biochar improves the performance of Avena sativa L. grown in gasoline-polluted soils. Environ. Sci. Pollut. Res. 2023, 30, 28791–28802. [Google Scholar] [CrossRef] [PubMed]
- Gulías, J.; Traveset, A.; Riera, N.; Mus, M. Critical stages in the recruitment process of Rhamnus alaternus L. Ann. Bot. 2004, 93, 723–731. [Google Scholar] [CrossRef]
- Pessarakli, M. (Ed.) Handbook of Plant and Crop Stress; CRC Press: Boca Raton, FL, USA, 2019. [Google Scholar] [CrossRef]
- Reyes, O.; Casal, M. Seed germination of Quercus robur, Q. pyrenaica and Q. ilex and the effects of smoke, heat, ash and charcoal. Ann. For. Sci. 2006, 63, 205–212. [Google Scholar] [CrossRef]
- Tian, Y.H.; Feng, Y.L.; Liu, C. Addition of activated charcoal to soil after clearing Ageratina adenophora stimulates growth of forbs and grasses in China. Trop. Grassl. 2007, 41, 285–291. [Google Scholar]
- Bamberg, J.B.; Hanneman, R.E., Jr.; Towill, L.E. Use of activated charcoal to enhance the germination of botanical seeds of potato. Am. Potato J. 1986, 63, 181–189. [Google Scholar] [CrossRef]
- Bareke, T. Biology of seed development and germination physiology. Adv. Plants Agric. Res. 2018, 8, 336–346. [Google Scholar] [CrossRef]
- Weitbrecht, K.; Müller, K.; Leubner-Metzger, G. First off the mark: Early seed germination. J. Exp. Bot. 2011, 62, 3289–3309. [Google Scholar] [CrossRef]
- Kermode, A.R. Regulatory mechanisms involved in the transition from seed development to germination. Crit. Rev. Plant Sci. 1990, 9, 155–195. [Google Scholar] [CrossRef]
- Bellanger, S.; Guillemin, J.P.; Bretagnolle, V.; Darmency, H. Centaurea cyanus as a biological indicator of segetal species richness in arable fields. Weed Res. 2012, 52, 551–563. [Google Scholar] [CrossRef]
- Fanfarillo, E.; Latini, M.; Abbate, G. Patterns of co-occurrence of rare and threatened species in winter arable plant communities of Italy. Diversity 2020, 12, 195. [Google Scholar] [CrossRef]
- Fanfarillo, E.; Kasperski, A. An index of ecological value for European arable plant communities. Biodivers. Conserv. 2021, 30, 2145–2164. [Google Scholar] [CrossRef]
- Kolkman, A.; Dopagne, C.; Piqueray, J. Sown wildflower strips offer promising long term results for butterfly conservation. J. Insect Conserv. 2022, 26, 1–14. [Google Scholar] [CrossRef]
- Kollmann, J.; Bassin, S. Effects of management on seed predation in wildflower strips in northern Switzerland. Agric. Ecosyst. Environ. 2001, 83, 285–296. [Google Scholar] [CrossRef]
- Maresca, V.; Fedeli, R.; Vannini, A.; Munzi, S.; Corrêa, A.; Cruz, C.; Loppi, S. Wood distillate enhances seed germination of chickpea, lettuce, and basil. Appl. Sci. 2024, 14, 631. [Google Scholar] [CrossRef]
- De Vitis, M.; Mattioni, C.; Mattana, E.; Pritchard, H.W.; Seal, C.E.; Ulian, T.; Magrini, S. Integration of genetic and seed fitness data to the conservation of isolated subpopulations of the Mediterranean plant Malcolmia littorea. Plant Biol. 2018, 20, 203–213. [Google Scholar] [CrossRef]
- De Vitis, M.; Seal, C.E.; Ulian, T.; Pritchard, H.W.; Magrini, S.; Fabrini, G.; Mattana, E. Rapid adaptation of seed germination requirements of the threatened Mediterranean species Malcolmia littorea (Brassicaceae) and implications for its reintroduction. S. Afr. J. Bot. 2014, 94, 46–50. [Google Scholar] [CrossRef]
- Fedeli, R.; Fiaschi, T.; Angiolini, C.; Maccherini, S.; Loppi, S.; Fanfarillo, E. Dose-Dependent and Species-Specific Effects of Wood Distillate Addition on the Germination Performance of Threatened Arable Plants. Plants 2023, 12, 3028. [Google Scholar] [CrossRef]
- Fedeli, R.; Cruz, C.; Loppi, S.; Munzi, S. Hormetic Effect of Wood Distillate on Hydroponically Grown Lettuce. Plants 2024, 13, 447. [Google Scholar] [CrossRef] [PubMed]
- Fedeli, R.; Loppi, S.; Cruz, C.; Munzi, S. Evaluating Seawater and Wood Distillate for Sustainable Hydroponic Cultivation: Implications for Crop Growth and Nutritional Quality. Sustainability 2024, 16, 7186. [Google Scholar] [CrossRef]
- Pérez-Harguindeguy, N.; Díaz, S.; Garnier, E.; Lavorel, S.; Poorter, H.; Jaureguiberry, P.; Bret-Harte, M.S.; Cornwell, W.K.; Craine, J.M.; Gurvich, D.E.; et al. Corrigendum to: New handbook for standardised measurement of plant functional traits worldwide. Aust. J. Bot. 2016, 64, 715–716. [Google Scholar] [CrossRef]
- Czabator, F.J. Germination value: An index combining speed and completeness of pine seed germination. For. Sci. 1962, 8, 386–396. [Google Scholar]
- Ellis, R.H.; Roberts, E.H. An investigation into the possible effects of ripeness and repeated threshing on barley seed longevity under six different storage environments. Ann. Bot. 1981, 48, 93–96. Available online: http://www.jstor.org/stable/42754022 (accessed on 8 July 2024). [CrossRef]
- Fowler, J.L. Interaction of salinity and temperature on the germination of Crambe. Agron. J. 1991, 83, 169–172. [Google Scholar] [CrossRef]
- Anderson, M.J. PERMANOVA+ for PRIMER: Guide to Software and Statistical Methods; Primer-E Limited: Auckland, New Zealand, 2008. [Google Scholar]
- Clarke, K.R.; Gorley, R.N. PRIMER v6: User Manual/Tutorial; PRIMER-E: Plymouth Marine Laboratory: Plymouth, UK, 2006. [Google Scholar]
- Li, Y.; Shen, F.; Guo, H.; Wang, Z.; Yang, G.; Wang, L.; Deng, S. Phytotoxicity assessment on corn stover biochar, derived from fast pyrolysis, based on seed germination, early growth, and potential plant cell damage. Environ. Sci. Pollut. Res. 2015, 22, 9534–9543. [Google Scholar] [CrossRef]
- Solaiman, Z.M.; Murphy, D.V.; Abbott, L.K. Biochars influence seed germination and early growth of seedlings. Plant Soil 2012, 353, 273–287. [Google Scholar] [CrossRef]
- Hossain, M.Z.; Bahar, M.M.; Sarkar, B.; Donne, S.W.; Ok, Y.S.; Palansooriya, K.N.; Bolan, N. Biochar and its importance on nutrient dynamics in soil and plant. Biochar 2020, 2, 379–420. [Google Scholar] [CrossRef]
- Semida, W.M.; Beheiry, H.R.; Sétamou, M.; Simpson, C.R.; Abd El-Mageed, T.A.; Rady, M.M.; Nelson, S.D. Biochar implications for sustainable agriculture and environment: A review. S. Afr. J. Bot. 2019, 127, 333–347. [Google Scholar] [CrossRef]
- Zhang, Y.; Wang, J.; Feng, Y. The effects of biochar addition on soil physicochemical properties: A review. Catena 2021, 202, 105284. [Google Scholar] [CrossRef]
- Wang, C.; Luo, D.; Zhang, X.; Huang, R.; Cao, Y.; Liu, G.; Wang, H. Biochar-based slow-release of fertilizers for sustainable agriculture: A mini review. Environ. Sci. Ecotechnol. 2022, 10, 100167. [Google Scholar] [CrossRef] [PubMed]
- Joseph, S.; Cowie, A.L.; Van Zwieten, L.; Bolan, N.; Budai, A.; Buss, W.; Lehmann, J. How biochar works, and when it doesn’t: A review of mechanisms controlling soil and plant responses to biochar. GCB Bioenergy 2021, 13, 1731–1764. [Google Scholar] [CrossRef]
- Bashan, Y.; De-Bashan, L.E. Plant growth-promoting. Encycl. Soils Environ. 2005, 1, 103–115. [Google Scholar]
- Ievinsh, G. Water content of plant tissues: So simple that almost forgotten? Plants 2023, 12, 1238. [Google Scholar] [CrossRef] [PubMed]
- Uslu, O.S.; Babur, E.; Alma, M.H.; Solaiman, Z.M. Walnut shell biochar increases seed germination and early growth of seedlings of fodder crops. Agriculture 2020, 10, 427. [Google Scholar] [CrossRef]





| N (%) | <0.4 |
| K (mg kg−1) | 3020 |
| P (mg kg−1) | 340 |
| Ca (mg kg−1) | 9920 |
| Mg (mg kg−1) | 852 |
| Na (mg kg−1) | 291 |
| C from carbonate (%) | <0.1 |
| C (%) | 68.7 |
| WHC (%) | 23.5 |
| EC (mS cm−1) | 110 |
| pH | 9.9 |
| Hash content (%) | 4.6 |
| H/C | 0.2 |
| Source of variation | GP | Radicle Length | ||||||
| df | MS | F | df | MS | F | |||
| Day | 8 | 6.96 | 224.94 ** | 5 | 0.01 | 317.17 *** | ||
| Biochar | 5 | 0.19 | 6.23 *** | 5 | 15,867 | 7.70 *** | ||
| Day × Biochar | 40 | 0.05 | 1.79″ | 2.5 | 3206.3 | 1.56 | ||
| Residual | 216 | 0.03 | 144 | 2059.8 | ||||
| Total | 269 | 179 | ||||||
| Source of variation | MGT | GRI | GE | |||||
| df | MS | F | MS | F | MS | F | ||
| Biochar | 5 | 0.047 | 4.22 ** | 0.01 | 3.16 * | 0.02 | 7.22 *** | |
| Residual | 24 | 0.01 | 0.01 | 0.01 | ||||
| Total | 29 | |||||||
| Source of variation | Fresh weight | Dry weight | ||||||
| df | MS | F | MS | F | ||||
| Biochar | 5 | 0.01 | 0.34 | 0.01 | 3.41 * | |||
| Residual | 24 | 0.03 | 0.01 | |||||
| Total | 29 | |||||||
Disclaimer/Publisher’s Note: The statements, opinions and data contained in all publications are solely those of the individual author(s) and contributor(s) and not of MDPI and/or the editor(s). MDPI and/or the editor(s) disclaim responsibility for any injury to people or property resulting from any ideas, methods, instructions or products referred to in the content. |
© 2024 by the authors. Licensee MDPI, Basel, Switzerland. This article is an open access article distributed under the terms and conditions of the Creative Commons Attribution (CC BY) license (https://creativecommons.org/licenses/by/4.0/).
Share and Cite
Fedeli, R.; Fiaschi, T.; de Simone, L.; Angiolini, C.; Maccherini, S.; Loppi, S.; Fanfarillo, E. Low Concentrations of Biochar Improve Germination and Seedling Development in the Threatened Arable Weed Centaurea cyanus. Environments 2024, 11, 189. https://doi.org/10.3390/environments11090189
Fedeli R, Fiaschi T, de Simone L, Angiolini C, Maccherini S, Loppi S, Fanfarillo E. Low Concentrations of Biochar Improve Germination and Seedling Development in the Threatened Arable Weed Centaurea cyanus. Environments. 2024; 11(9):189. https://doi.org/10.3390/environments11090189
Chicago/Turabian StyleFedeli, Riccardo, Tiberio Fiaschi, Leopoldo de Simone, Claudia Angiolini, Simona Maccherini, Stefano Loppi, and Emanuele Fanfarillo. 2024. "Low Concentrations of Biochar Improve Germination and Seedling Development in the Threatened Arable Weed Centaurea cyanus" Environments 11, no. 9: 189. https://doi.org/10.3390/environments11090189
APA StyleFedeli, R., Fiaschi, T., de Simone, L., Angiolini, C., Maccherini, S., Loppi, S., & Fanfarillo, E. (2024). Low Concentrations of Biochar Improve Germination and Seedling Development in the Threatened Arable Weed Centaurea cyanus. Environments, 11(9), 189. https://doi.org/10.3390/environments11090189

