The Head–Toes–Knees–Shoulders Task as a Screening Tool for Kindergarten-Level Achievement
Abstract
1. Introduction
1.1. Self-Regulation and Achievement
1.2. The Head–Toes–Knees–Shoulders
1.3. Importance of Screening Tools for Kindergarten Achievement
1.4. Cut Score Analyses
1.5. The Present Study
2. Materials and Methods
2.1. Participants
2.2. Procedures
2.3. Measures
2.4. Analytic Strategy
3. Results
3.1. HTKS
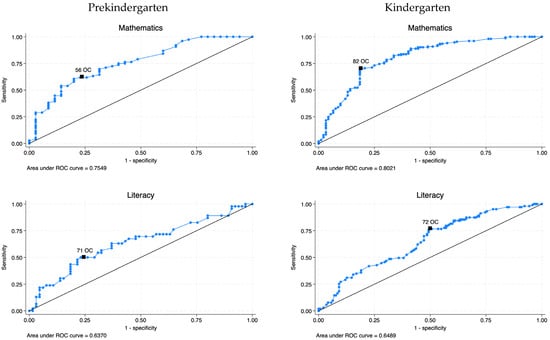
3.2. HTKS-R
4. Discussion
4.1. Supporting Education Decision-Making
4.2. Elucidating the Self-Regulation and Academic Achievement Association
4.3. Bolstering Prior Research and Advocacy Efforts
4.4. Limitations and Future Directions
5. Conclusions
Author Contributions
Funding
Institutional Review Board Statement
Informed Consent Statement
Data Availability Statement
Conflicts of Interest
References
- Ahmadi, A., McClelland, M., Pourmohamadreza Tajrishi, M., Geldhof, J., Rothwell, D. W., & Hatfield, B. E. (2025). Adaptation and psychometric properties of the Head-Toes-Knees-Shoulders task in young Iranian children. Child Neuropsychology, 31, 1–36. [Google Scholar] [CrossRef]
- Ahmed, S. F., Tang, S., Waters, N. E., & Davis-Kean, P. (2019). Executive function and academic achievement: Longitudinal relations from early childhood to adolescence. Journal of Educational Psychology, 111(3), 446–458. [Google Scholar] [CrossRef]
- Allan, N. P., & Lonigan, C. J. (2011). Examining the dimensionality of effortful control in preschool children and its relation to academic and socioemotional indicators. Developmental Psychology, 47(4), 905–915. [Google Scholar] [CrossRef]
- Bailey, R., & Jones, S. M. (2019). An integrated model of regulation for applied settings. Clinical Child and Family Psychology Review, 22(1), 2–23. [Google Scholar] [CrossRef] [PubMed]
- Blair, C. (2002). School readiness: Integrating cognition and emotion in a neurobiological conceptualization of children’s functioning at school entry. American Psychologist, 57(2), 111–127. [Google Scholar] [CrossRef]
- Blair, C., & Diamond, A. (2008). Biological processes in prevention and intervention: The promotion of self-regulation as a means of preventing school failure. Development and Psychopathology, 20(3), 899–911. [Google Scholar] [CrossRef]
- Blair, C., & Ku, S. (2022). A hierarchical integrated model of self-regulation. Frontiers in Psychology, 13, 725828. [Google Scholar] [CrossRef] [PubMed]
- Blair, C., & Razza, R. P. (2007). Relating effortful control, executive function, and false belief understanding to emerging math and literacy ability in Kindergarten. Child Development, 78(2), 647–663. [Google Scholar] [CrossRef]
- Clements, D. H., Sarama, J., & Germeroth, C. (2016). Learning executive function and early mathematics: Directions of causal relations. Early Childhood Research Quarterly, 36, 79–90. [Google Scholar] [CrossRef]
- Cragg, L., & Gilmore, C. (2014). Skills underlying mathematics: The role of executive function in the development of mathematics proficiency. Trends in Neuroscience and Education, 3(2), 63–68. [Google Scholar] [CrossRef]
- Diamond, A., Kirkham, N., & Amso, D. (2002). Conditions under which young children can hold two rules in mind and inhibit a prepotent response. Developmental Psychology, 38(3), 352–362. [Google Scholar] [CrossRef]
- Diamond, A., & Lee, K. (2011). Interventions shown to aid executive function development in children 4 to 12 years old. Science, 333(6045), 959–964. [Google Scholar] [CrossRef]
- Duncan, G. J., Dowsett, C. J., Claessens, A., Magnuson, K., Huston, A. C., Klebanov, P., Pagani, L. S., Feinstein, L., Engel, M., Brooks-Gunn, J., & Sexton, H. (2007). School readiness and later achievement. Developmental Psychology, 43(6), 1428–1446. [Google Scholar] [CrossRef]
- Duncan, S. E., & De Avila, E. A. (1998). preLAS 2000. CTB/McGraw-Hill. [Google Scholar]
- Durlak, J. A., Weissberg, R. P., Dymnicki, A. B., Taylor, R. D., & Schellinger, K. B. (2011). The impact of enhancing students’ social and emotional learning: A meta-analysis of school-based universal interventions. Child Development, 82(1), 405–432. [Google Scholar] [CrossRef]
- Fischer, J. E., Bachmann, L. M., & Jaeschke, R. (2003). A readers’ guide to the interpretation of diagnostic test properties: Clinical example of sepsis. Intensive Care Medicine, 29(7), 1043–1051. [Google Scholar] [CrossRef] [PubMed]
- Fuhs, M. W., Nesbitt, K. T., Farran, D. C., & Dong, N. (2014). Longitudinal associations between executive functioning and academic skills across content areas. Developmental Psychology, 50(6), 1698–1709. [Google Scholar] [CrossRef] [PubMed]
- Gestsdottir, S., Von Suchodoletz, A., Wanless, S. B., Hubert, B., Guimard, P., Birgisdottir, F., Gunzenhauser, C., & McClelland, M. (2014). Early behavioral self-regulation, academic achievement, and gender: Longitudinal findings from France, Germany, and Iceland. Applied Developmental Science, 18(2), 90–109. [Google Scholar] [CrossRef]
- Ghandour, R. M., Hirai, A. H., Moore, K. A., Robinson, L. R., Kaminski, J. W., Murphy, K., Lu, M. C., & Kogan, M. D. (2021). Healthy and ready to learn: Prevalence and correlates of school readiness among United States preschoolers. Academic Pediatrics, 21(5), 818–829. [Google Scholar] [CrossRef]
- Gonzales, C. R., Bowles, R., Geldhof, G. J., Cameron, C. E., Tracy, A., & McClelland, M. M. (2021). The Head-Toes-Knees-Shoulders Revised (HTKS-R): Development and psychometric properties of a revision to reduce floor effects. Early Childhood Research Quarterly, 56, 320–332. [Google Scholar] [CrossRef]
- Hee, P. J., Xu, Y., & Krieg, A. (2018). Validation of the Head–Toes–Knees–Shoulders task in Native Hawaiian and non-Hawaiian children. Early Childhood Research Quarterly, 44, 192–205. [Google Scholar] [CrossRef]
- Hernández, M. M., Eisenberg, N., Valiente, C., Spinrad, T. L., Johns, S. K., Berger, R. H., Silva, K. M., Diaz, A., Gal-Szabo, D. E., Thompson, M. S., & Southworth, J. (2018). Self-regulation and academic measures across the early elementary school grades: Examining longitudinal and bidirectional associations. Early Education and Development, 29(7), 914–938. [Google Scholar] [CrossRef] [PubMed]
- Howard, S. J., Vasseleu, E., Neilsen-Hewett, C., De Rosnay, M., & Williams, K. E. (2022). Predicting academic school readiness and risk status from different assessment approaches and constructs of early self-regulation. Child & Youth Care Forum, 51(2), 369–393. [Google Scholar] [CrossRef]
- Kenny, S. A., Cameron, C. E., Karing, J. T., Ahmadi, A., Braithwaite, P. N., & McClelland, M. M. (2023). A meta-analysis of the validity of the Head-Toes-Knees-Shoulders task in predicting young children’s academic performance. Frontiers in Psychology, 14, 1124235. [Google Scholar] [CrossRef] [PubMed]
- Korucu, I., Litkowski, E., & Schmitt, S. A. (2020). Examining associations between the home literacy environment, executive function, and school readiness. Early Education and Development, 31(3), 455–473. [Google Scholar] [CrossRef]
- Lipsey, M. W., Nesbitt, K. T., Farran, D. C., Dong, N., Fuhs, M. W., & Wilson, S. J. (2017). Learning-related cognitive self-regulation measures for prekindergarten children: A comparative evaluation of the educational relevance of selected measures. Journal of Educational Psychology, 109(8), 1084–1102. [Google Scholar] [CrossRef]
- Lonigan, C. J., Spiegel, J. A., Goodrich, J. M., Morris, B. M., Osborne, C. M., Lerner, M. D., & Phillips, B. M. (2017). Does preschool self-regulation predict later behavior problems in general or specific problem behaviors? Journal of Abnormal Child Psychology, 45(8), 1491–1502. [Google Scholar] [CrossRef]
- Luerssen, A., & Ayduk, O. (2017). Executive functions promote well-being: Outcomes and mediators. In M. D. Robinson, & M. Eid (Eds.), The happy mind: Cognitive contributions to well-being (pp. 59–75). Springer International Publishing. [Google Scholar] [CrossRef]
- Mann, T. D., Hund, A. M., Hesson-McInnis, M. S., & Roman, Z. J. (2017). Pathways to school readiness: Executive functioning predicts academic and social–emotional aspects of school readiness. Mind, Brain, and Education, 11(1), 21–31. [Google Scholar] [CrossRef]
- Matsha, T. E., Kengne, A. P., Yako, Y. Y., Hon, G. M., Hassan, M. S., & Erasmus, R. T. (2013). Optimal waist-to-height ratio values for cardiometabolic risk screening in an ethnically diverse sample of South African urban and rural school boys and girls. PLoS ONE, 8(8), e71133. [Google Scholar] [CrossRef]
- McClelland, M. M., Acock, A. C., Piccinin, A., Rhea, S. A., & Stallings, M. C. (2013). Relations between preschool attention span-persistence and age 25 educational outcomes. Early Childhood Research Quarterly, 28(2), 314–324. [Google Scholar] [CrossRef]
- McClelland, M. M., & Cameron, C. E. (2012). Self-regulation in early childhood: Improving conceptual clarity and developing ecologically valid measures. Child Development Perspectives, 6(2), 136–142. [Google Scholar] [CrossRef]
- McClelland, M. M., Cameron, C. E., Connor, C. M., Farris, C. L., Jewkes, A. M., & Morrison, F. J. (2007). Links between behavioral regulation and preschoolers’ literacy, vocabulary, and math skills. Developmental psychology, 43(4), 947–959. [Google Scholar] [CrossRef]
- McClelland, M. M., Cameron, C. E., Duncan, R., Bowles, R. P., Acock, A. C., Miao, A., & Pratt, M. E. (2014). Predictors of early growth in academic achievement: The head-toes-knees-shoulders task. Frontiers in Psychology, 5, 599. [Google Scholar] [CrossRef]
- McClelland, M. M., Gonzales, C. R., Cameron, C. E., Geldhof, G. J., Bowles, R. P., Nancarrow, A. F., Merculief, A., & Tracy, A. (2021). The head-toes-knees-shoulders revised: Links to academic outcomes and measures of EF in young children. Frontiers in Psychology, 12, 721846. [Google Scholar] [CrossRef]
- McClelland, M. M., Tominey, S. L., Schmitt, S. A., & Duncan, R. (2017). Social-emotional learning interventions in early childhood. Future of Children, 27(1), 33–48. [Google Scholar] [CrossRef]
- McClelland, M. M., Tominey, S. L., Schmitt, S. A., Hatfield, B. E., Purpura, D. J., Gonzales, C. R., & Tracy, A. N. (2019). Red light, purple light! Results of an intervention to promote school readiness for children from low-income backgrounds. Frontiers in Psychology, 10, 2365. [Google Scholar] [CrossRef] [PubMed]
- McClelland, M. M., & Wanless, S. B. (2012). Growing up with assets and risks: The importance of self-regulation for academic achievement. Research in Human Development, 9(4), 278–297. [Google Scholar] [CrossRef]
- Muñoz-Sandoval, A. F., Woodcock, R. W., McGrew, K. S., & Mather, N. (2005). Bateria III Woodcock-Muñoz: Pruebas de habilidades cognitivas. Riverside Publishing. [Google Scholar]
- Obradović, J. (2010). Effortful control and adaptive functioning of homeless children: Variable-focused and person-focused analyses. Journal of Applied Developmental Psychology, 31(2), 109–117. [Google Scholar] [CrossRef] [PubMed]
- Purpura, D. J., Schmitt, S. A., & Ganley, C. M. (2017). Foundations of mathematics and literacy: The role of executive functioning components. Journal of Experimental Child Psychology, 153, 15–34. [Google Scholar] [CrossRef] [PubMed]
- Rainelli, S., Bulotsky-Shearer, R. J., Fernandez, V. A., Greenfield, D. B., & López, M. (2017). Validity of the first two subtests of the preschool language assessment scale as a language screener for Spanish-speaking preschool children. Early Childhood Research Quarterly, 38, 10–22. [Google Scholar] [CrossRef]
- Robson, D. A., Allen, M. S., & Howard, S. J. (2020). Self-regulation in childhood as a predictor of future outcomes: A meta-analytic review. Psychological Bulletin, 146(4), 324–354. [Google Scholar] [CrossRef] [PubMed]
- Schmitt, S. A., Geldhof, G. J., Purpura, D. J., Duncan, R., & McClelland, M. M. (2017). Examining the relations between executive function, math, and literacy during the transition to kindergarten: A multi-analytic approach. Journal of Educational Psychology, 109(8), 1120–1140. [Google Scholar] [CrossRef]
- Schmitt, S. A., McClelland, M. M., Tominey, S. L., & Acock, A. C. (2015). Strengthening school readiness for Head Start children: Evaluation of a self-regulation intervention. Early Childhood Research Quarterly, 30, 20–31. [Google Scholar] [CrossRef]
- Schmitt, S. A., Pratt, M. E., & McClelland, M. M. (2014). Examining the validity of behavioral self-regulation tools in predicting preschoolers’ academic achievement. Early Education and Development, 25(5), 641–660. [Google Scholar] [CrossRef]
- Schmitt, S. A., Simpson, A. M., & Friend, M. (2011). A longitudinal assessment of the home literacy environment and early language: Longitudinal Assessment of HLE. Infant and Child Development, 20(6), 409–431. [Google Scholar] [CrossRef]
- Shonkoff, J. P., & Bales, S. N. (2011). Science does not speak for itself: Translating child development research for the public and its policymakers. Child Development, 82(1), 17–32. [Google Scholar] [CrossRef]
- Tamis-LeMonda, C. S., Luo, R., McFadden, K. E., Bandel, E. T., & Vallotton, C. (2019). Early home learning environment predicts children’s 5th grade academic skills. Applied Developmental Science, 23(2), 153–169. [Google Scholar] [CrossRef]
- Von Suchodoletz, A., Gestsdottir, S., Wanless, S. B., McClelland, M. M., Birgisdottir, F., Gunzenhauser, C., & Ragnarsdottir, H. (2013). Behavioral self-regulation and relations to emergent academic skills among children in Germany and Iceland. Early Childhood Research Quarterly, 28(1), 62–73. [Google Scholar] [CrossRef]
- Wanless, S. B., McClelland, M. M., Acock, A. C., Ponitz, C. C., Son, S.-H., Lan, X., Morrison, F. J., Chen, J.-L., Chen, F.-M., Lee, K., Sung, M., & Li, S. (2011). Measuring behavioral regulation in four societies. Psychological Assessment, 23(2), 364–378. [Google Scholar] [CrossRef] [PubMed]
- Willoughby, M. T., Wylie, A. C., & Little, M. H. (2019). Testing longitudinal associations between executive function and academic achievement. Developmental Psychology, 55(4), 767–779. [Google Scholar] [CrossRef]
- Woodcock, R. W., McGrew, K. S., & Mather, N. (2001). Woodcock-Johnson III Tests of achievement. Riverside Publishing Company. [Google Scholar]
- Youden, W. J. (1950). Index for rating diagnostic tests. Cancer, 3(1), 32–35. [Google Scholar] [CrossRef]
- Zhang, L., & Rao, N. (2017). Effortful control and academic achievement in rural China. Early Education and Development, 28(5), 541–558. [Google Scholar] [CrossRef]




| Fall Kindergarten Achievement Score | ||
|---|---|---|
| Fall HTKS Score | At Kindergarten-Level | Not At Kindergarten-Level |
| HTKS (ready) | True Positive (a) | False Positive (b) |
| HTKS (not ready) | False Negative (c) | True Negative (d) |
| HTKS | Prekindergarten | Kindergarten | ||||||
| N | Mean (SD)/% | Range | % Missing | N | Mean (SD)/% | Range | % Missing | |
| Age in months | 408 | 61.53 (3.94) | 41.52–70.37 | 6.2 | 322 | 67.78 (3.68) | 58.20–78.04 | 26 |
| Sex | 435 | 0 | 435 | 0 | ||||
| Male | 51.72% | |||||||
| Female | 48.28% | |||||||
| Language (Spanish speaking status) | 424 | 15.33% | 2.5 | 435 | 14.94% | 0 | ||
| HTKS | 393 | 44.04 (29.03) | 0–93 | 9.7 | 306 | 56.65 (26.84) | 0–94 | 29.7 |
| Kindergarten level mathematics | - | 309 | 80.58% | 29.0 | ||||
| Kindergarten level literacy | - | 309 | 73.49% | 29.0 | ||||
| HTKS-R | Prekindergarten | Kindergarten | ||||||
| N | Mean (SD)/% | Range | % Missing | N | Mean (SD)/% | Range | % Missing | |
| Age in months | 266 | 61.45 (3.65) | 54.36–68.32 | 16.1 | 246 | 67.34 (3.68) | 59.61–73.87 | 22.4 |
| Sex | 313 | 1.3 | ||||||
| Male | 51.74% | |||||||
| Female | 47.00% | |||||||
| Language (Spanish speaking status) | 278 | 10.00% | 12.3 | 246 | 6.25% | 22.4 | ||
| HTKS-R | 137 | 53.51 (30.23) | 0–111 | 56.8 | 246 | 71.96 (32.21) | 0–118 | 22.4 |
| Kindergarten level mathematics | - | 245 | 62.45% | 22.7 | ||||
| Kindergarten level literacy | - | 245 | 42.04% | 22.7 | ||||
| Prekindergarten | Kindergarten | ||||||||
|---|---|---|---|---|---|---|---|---|---|
| Mathematics (AUC = 0.82) | Mathematics (AUC = 0.83) | ||||||||
| HTKS Score | Sensitivity | Specificity | Precision | NPV | HTKS Score | Sensitivity | Specificity | Precision | NPV |
| 10 | 0.88 | 0.63 | 0.90 | 0.55 | 10 | 0.98 | 0.50 | 0.88 | 0.86 |
| 20 | 0.85 | 0.73 | 0.93 | 0.54 | 20 | 0.95 | 0.58 | 0.90 | 0.73 |
| 30 | 0.83 | 0.78 | 0.94 | 0.52 | 30 | 0.93 | 0.63 | 0.91 | 0.69 |
| 35 OC | 0.81 | 0.81 | 0.95 | 0.51 | 40 | 0.91 | 0.72 | 0.93 | 0.66 |
| 40 | 0.74 | 0.83 | 0.94 | 0.44 | 45 OC | 0.89 | 0.75 | 0.94 | 0.63 |
| 50 | 0.67 | 0.92 | 0.97 | 0.40 | 50 | 0.84 | 0.82 | 0.95 | 0.55 |
| 60 | 0.49 | 0.95 | 0.97 | 0.31 | 60 | 0.71 | 0.92 | 0.97 | 0.43 |
| 70 | 0.29 | 0.95 | 0.96 | 0.25 | 70 | 0.47 | 0.93 | 0.97 | 0.30 |
| 80 | 0.11 | 0.98 | 0.94 | 0.21 | 80 | 0.24 | 0.95 | 0.95 | 0.23 |
| 90 | 0.02 | 100 | 0.92 | 0.20 | 90 | 0.04 | 100 | 1.00 | 0.20 |
| Literacy (AUC = 0.65) | Literacy (AUC = 0.64) | ||||||||
| 10 | 0.83 | 0.36 | 0.78 | 0.44 | 10 | 0.92 | 0.20 | 0.76 | 0.46 |
| 20 | 0.79 | 0.42 | 0.79 | 0.43 | 20 | 0.88 | 0.26 | 0.77 | 0.44 |
| 30 | 0.81 | 0.51 | 0.80 | 0.44 | 30 | 0.87 | 0.31 | 0.78 | 0.45 |
| 40 OC | 0.78 | 0.48 | 0.82 | 0.43 | 40 | 0.84 | 0.36 | 0.78 | 0.45 |
| 50 | 0.63 | 0.65 | 0.85 | 0.39 | 50 | 0.77 | 0.46 | 0.80 | 0.42 |
| 60 | 0.48 | 0.78 | 0.85 | 0.35 | 61 OC | 0.63 | 0.66 | 0.83 | 0.39 |
| 70 | 0.29 | 0.88 | 0.86 | 0.31 | 70 | 0.44 | 0.75 | 0.82 | 0.32 |
| 80 | 0.10 | 0.95 | 0.86 | 0.28 | 80 | 0.22 | 0.85 | 0.78 | 0.28 |
| 90 | 0.02 | 0.99 | 0.85 | 0.27 | 90 | 0.04 | 0.98 | 0.73 | 0.27 |
| Prekindergarten | Kindergarten | ||||||||
|---|---|---|---|---|---|---|---|---|---|
| Mathematics (AUC = 0.70) | Mathematics (AUC = 0.75) | ||||||||
| HTKS-R Score | Sensitivity | Specificity | Precision | NPV | HTKS-R Score | Sensitivity | Specificity | Precision | NPV |
| 10 | 0.100 | 0.00 | 0.64 | 1.0 | 10 | 0.100 | 0.05 | 0.64 | 1.0 |
| 20 | 0.97 | 0.29 | 0.65 | 0.83 | 20 | 0.100 | 0.11 | 0.65 | 1.0 |
| 30 | 0.76 | 0.54 | 0.65 | 0.51 | 30 | 0.95 | 0.39 | 0.72 | 0.82 |
| 40 | 0.68 | 0.69 | 0.65 | 0.50 | 40 | 0.90 | 0.51 | 0.75 | 0.76 |
| 50 | 0.64 | 0.69 | 0.65 | 0.47 | 50 | 0.89 | 0.59 | 0.78 | 0.76 |
| 56 OC | 0.61 | 0.80 | 0.66 | 0.48 | 60 | 0.84 | 0.61 | 0.78 | 0.69 |
| 60 | 0.54 | 0.83 | 0.65 | 0.45 | 70 | 0.79 | 0.67 | 0.80 | 0.66 |
| 70 | 0.45 | 0.86 | 0.64 | 0.42 | 80 | 0.71 | 0.77 | 0.83 | 0.61 |
| 80 | 0.36 | 0.91 | 0.63 | 0.40 | 82 OC | 0.69 | 0.82 | 0.86 | 0.61 |
| 90 | 0.21 | 0.97 | 0.62 | 0.36 | 90 | 0.52 | 0.84 | 0.84 | 0.51 |
| 100 | 0.05 | 0.97 | 0.58 | 0.32 | 100 | 0.33 | 0.92 | 0.88 | 0.45 |
| 110 | 0.00 | 1.0 | 0.57 | 0.32 | 110 | 0.14 | 0.97 | 0.88 | 0.40 |
| Literacy (AUC = 0.63) | Literacy (AUC = 0.63) | ||||||||
| 10 | 0.98 | 0.06 | 0.43 | 0.80 | 10 | 0.100 | 0.03 | 0.43 | 1.0 |
| 20 | 0.89 | 0.11 | 0.42 | 0.58 | 20 | 0.98 | 0.21 | 0.43 | 0.80 |
| 30 | 0.72 | 0.37 | 0.43 | 0.65 | 30 | 0.92 | 0.25 | 0.47 | 0.82 |
| 40 | 0.70 | 0.52 | 0.45 | 0.71 | 40 | 0.86 | 0.34 | 0.49 | 0.77 |
| 50 | 0.67 | 0.55 | 0.45 | 0.71 | 50 | 0.84 | 0.39 | 0.50 | 0.77 |
| 60 | 0.57 | 0.68 | 0.46 | 0.69 | 60 | 0.80 | 0.42 | 0.59 | 0.74 |
| 70 | 0.50 | 0.75 | 0.46 | 0.68 | 70 | 0.77 | 0.49 | 0.52 | 0.74 |
| 71 OC | 0.50 | 0.77 | 0.47 | 0.68 | 72 OC | 0.76 | 0.51 | 0.53 | 0.74 |
| 80 | 0.39 | 0.82 | 0.46 | 0.65 | 80 | 0.64 | 0.54 | 0.50 | 0.68 |
| 90 | 0.24 | 0.91 | 0.45 | 0.63 | 90 | 0.49 | 0.68 | 0.53 | 0.65 |
| 100 | 0.07 | 0.97 | 0.43 | 0.59 | 100 | 0.34 | 0.85 | 0.61 | 0.64 |
| 110 | 0.00 | 1.0 | 0.43 | 0.59 | 110 | 0.15 | 0.93 | 0.60 | 0.60 |
Disclaimer/Publisher’s Note: The statements, opinions and data contained in all publications are solely those of the individual author(s) and contributor(s) and not of MDPI and/or the editor(s). MDPI and/or the editor(s) disclaim responsibility for any injury to people or property resulting from any ideas, methods, instructions or products referred to in the content. |
© 2025 by the authors. Licensee MDPI, Basel, Switzerland. This article is an open access article distributed under the terms and conditions of the Creative Commons Attribution (CC BY) license (https://creativecommons.org/licenses/by/4.0/).
Share and Cite
Korucu, I.; Duncan, R.J.; Kenny, S.A.; Gonzales, C.R.; Ahmadi, A.; Karing, J.T.; McClelland, M.M. The Head–Toes–Knees–Shoulders Task as a Screening Tool for Kindergarten-Level Achievement. Behav. Sci. 2025, 15, 1464. https://doi.org/10.3390/bs15111464
Korucu I, Duncan RJ, Kenny SA, Gonzales CR, Ahmadi A, Karing JT, McClelland MM. The Head–Toes–Knees–Shoulders Task as a Screening Tool for Kindergarten-Level Achievement. Behavioral Sciences. 2025; 15(11):1464. https://doi.org/10.3390/bs15111464
Chicago/Turabian StyleKorucu, Irem, Robert J. Duncan, Sabrina A. Kenny, Christopher R. Gonzales, Ahmad Ahmadi, Jasmine T. Karing, and Megan M. McClelland. 2025. "The Head–Toes–Knees–Shoulders Task as a Screening Tool for Kindergarten-Level Achievement" Behavioral Sciences 15, no. 11: 1464. https://doi.org/10.3390/bs15111464
APA StyleKorucu, I., Duncan, R. J., Kenny, S. A., Gonzales, C. R., Ahmadi, A., Karing, J. T., & McClelland, M. M. (2025). The Head–Toes–Knees–Shoulders Task as a Screening Tool for Kindergarten-Level Achievement. Behavioral Sciences, 15(11), 1464. https://doi.org/10.3390/bs15111464

