Does Self-Reported Trait Mindfulness Contribute to Reducing Perceived Stress in Women Who Practice Yoga and Are Physically Active?
Abstract
1. Introduction
The Present Study Objectives
2. Materials and Methods
2.1. Procedure
2.2. Participants
2.3. Measures
2.3.1. Trait Mindfulness
2.3.2. Perceived Stress
2.3.3. Demographics
2.4. Statistical Analysis
3. Results
3.1. Differences in Trait Mindfulness and Perceived Stress among Women Practicing Yoga and Physically Active
3.2. Associations between Trait Mindfulness and Perceived Stress in Women Who Practice Yoga and Are Engaged in Physical Activity
4. Discussion
Limitations and Further Research
5. Conclusions
Author Contributions
Funding
Institutional Review Board Statement
Informed Consent Statement
Data Availability Statement
Conflicts of Interest
References
- Baminiwatta, A.; Solangaarachchi, I. Trends and Developments in Mindfulness Research over 55 Years: A Bibliometric Analysis of Publications Indexed in Web of Science. Mindfulness 2021, 12, 2099–2116. [Google Scholar] [CrossRef] [PubMed]
- Bunjak, A.; Černe, M.; Schölly, E.L. Exploring the past, present, and future of the mindfulness field: A multitechnique bibliometric review. Front. Psychol. 2022, 13, 792599. [Google Scholar] [CrossRef]
- Khoury, B.; Sharma, M.; Rush, S.E.; Fournier, C. Mindfulness-based stress reduction for healthy individuals: A meta-analysis. J. Psychosom. Res. 2015, 78, 519–528. [Google Scholar] [CrossRef]
- Holas, P.; Jankowski, T. Poznawcze mechanizmy uważności i jej zastosowanie w psychoterapii. Stud. Psychol. 2009, 47, 59–79. [Google Scholar]
- Jankowski, T.; Holas, P. Metacognitive model of mindfulness. Conscious. Cogn. 2014, 28, 64–80. [Google Scholar] [CrossRef] [PubMed]
- Kabat-Zinn, J. Mindfulness-Based Interventions in Context: Past, Present, and Future. Clin. Psychol. Sci. Pract. 2003, 10, 144–156. [Google Scholar] [CrossRef]
- Brown, K.W.; Ryan, R.M. The Benefits of Being Present: Mindfulness and Its Role in Psychological Well-Being. J. Personal. Soc. Psychol. 2003, 84, 822–848. [Google Scholar] [CrossRef] [PubMed]
- Radoń, S. Validation of the Polish version of Mindful Attention Awareness Scale. Stud. Psychol. Theor. Prax. 2014, 14, 51–70. [Google Scholar]
- Radoń, S. Mindfulness and its measurement. Stud. Psychol. Theor. Prax. 2020, 20, 5–19. [Google Scholar] [CrossRef]
- Brown, K.W.; Ryan, R.M.; Creswell, J.D. Mindfulness: Theoretical Foundations and Evidence for its Salutary Effects. Psychol. Inq. 2007, 18, 211–237. [Google Scholar] [CrossRef]
- Giluk, T.L. Mindfulness, Big Five personality, and affect: A meta-analysis. Personal. Individ. Differ. 2009, 47, 805–811. [Google Scholar] [CrossRef]
- Hanley, A.W. The mindful personality: Associations between dispositional mindfulness and the Five Factor Model of personality. Personal. Individ. Differ. 2016, 91, 154–158. [Google Scholar] [CrossRef]
- Hanley, A.W.; Garland, E.L. The Mindful Personality: A Meta-analysis from a Cybernetic Perspective. Mindfulness 2017, 8, 1456–1470. [Google Scholar] [CrossRef] [PubMed]
- Tran, U.S.; Wasserbauer, J.; Voracek, M. Testing the incremental validity of dispositional mindfulness over and above the Big Five in accounting for mental health: A facet-level structural-equation modeling and predictor communality and dominance approach. Personal. Individ. Differ. 2020, 156, 109769. [Google Scholar] [CrossRef]
- Kiken, L.G.; Garland, E.L.; Bluth, K.; Palsson, O.S.; Gaylord, S.A. From a state to a trait: Trajectories of state mindfulness in meditation during intervention predict changes in trait mindfulness. Personal. Individ. Differ. 2015, 81, 41–46. [Google Scholar] [CrossRef]
- Carlson, L.E.; Tamagawa, R.; Stephen, J.; Drysdale, E.; Zhong, L.; Speca, M. Randomized-controlled trial of mindfulness-based cancer recovery versus supportive expressive group therapy among distressed breast cancer survivors (MINDSET): Long-term follow-up results. Psycho-Oncology 2016, 25, 750–759. [Google Scholar] [CrossRef] [PubMed]
- Grossman, P.; Niemann, L.; Schmidt, S.; Walach, H. Mindfulness-based stress reduction and health benefits: A meta-analysis. J. Psychosom. Res. 2004, 57, 35–43. [Google Scholar] [CrossRef]
- Hofmann, S.G.; Sawyer, A.T.; Witt, A.A.; Oh, D. The Effect of Mindfulness-Based Therapy on Anxiety and Depression: A Meta-Analytic Review. J. Consult. Clin. Psychol. 2010, 78, 169–183. [Google Scholar] [CrossRef]
- Prazak, M.; Critelli, J.; Martin, L.; Miranda, V.; Purdum, M.; Powers, C. Mindfulness and its Role in Physical and Psychological Health. Appl. Psychol. Health Well-Being 2012, 4, 91–105. [Google Scholar] [CrossRef]
- Bullis, J.R.; Bøe, H.J.; Asnaani, A.; Hofmann, S.G. The benefits of being mindful: Trait mindfulness predicts less stress reactivity to suppression. J. Behav. Ther. Exp. Psychiatry 2014, 45, 57–66. [Google Scholar] [CrossRef] [PubMed]
- Heszen, I. Psychologia Stresu; Polish Scientific Publishing Houses: Warszawa, Poland, 2013. [Google Scholar]
- WHO Team Stress. Available online: https://www.who.int/news-room/questions-and-answers/item/stress (accessed on 14 August 2024).
- Limone, P.; Toto, G.A.; Messina, G. Impact of the COVID-19 pandemic and the Russia-Ukraine war on stress and anxiety in students: A systematic review. Front. Psychiatry 2022, 13, 1081013. [Google Scholar] [CrossRef]
- Chrousos, G.P. Stress and disorders of the stress system. Nat. Rev. Endocrinol. 2009, 5, 374–381. [Google Scholar] [CrossRef]
- Dhabhar, F.S. Effects of stress on immune function: The good, the bad, and the beautiful. Immunol. Res. 2014, 58, 193–210. [Google Scholar] [CrossRef]
- Schiffrin, H.H.; Nelson, S.K. Stressed and happy? Investigating the relationship between happiness and perceived stress. J. Happiness Stud. 2010, 11, 33–39. [Google Scholar] [CrossRef]
- Spada, M.M.; Nikčević, A.V.; Moneta, G.B.; Wells, A. Metacognition, perceived stress, and negative emotion. Personal. Individ. Differ. 2008, 44, 1172–1181. [Google Scholar] [CrossRef]
- WHO Team Physical Activity Fact Sheet. Available online: https://iris.who.int/handle/10665/346252 (accessed on 17 May 2024).
- Singh, B.; Olds, T.; Curtis, R.; Dumuid, D.; Virgara, R.; Watson, A.; Szeto, K.; O’Connor, E.; Ferguson, T.; Eglitis, E.; et al. Effectiveness of physical activity interventions for improving depression, anxiety and distress: An overview of systematic reviews. Br. J. Sports Med. 2023, 57, 1203–1209. [Google Scholar] [CrossRef] [PubMed]
- Yang, C.H.; Conroy, D.E. Mindfulness and physical activity: A systematic review and hierarchical model of mindfulness. Int. J. Sport Exerc. Psychol. 2020, 18, 794–817. [Google Scholar] [CrossRef]
- Schneider, J.; Malinowski, P.; Watson, P.M.; Lattimore, P. The role of mindfulness in physical activity: A systematic review. Obes. Rev. 2019, 20, 448–463. [Google Scholar] [CrossRef] [PubMed]
- Remskar, M.; Western, M.J.; Osborne, E.L.; Maynard, O.M.; Ainsworth, B. Effects of combining physical activity with mindfulness on mental health and well-being: Systematic review of complex interventions. Ment. Health Phys. Act. 2024, 26, 100575. [Google Scholar] [CrossRef]
- Govindaraj, R.; Karmani, S.; Varambally, S.; Gangadhar, B.N. Yoga and physical exercise—A review and comparison. Int. Rev. Psychiatry 2016, 28, 242–253. [Google Scholar] [CrossRef] [PubMed]
- Bringmann, H.; Sedlmeier, P. Effects of Different Components of Yoga: A Meta-Synthesis. OBM Integr. Complement. Med. 2021, 6, 1–27. [Google Scholar] [CrossRef]
- Feuerstein, G.; Wilber, K. The Yoga Tradition: Its History, Literature, Philosophy and Practice; Hohm Press: Chino Valley, AZ, USA, 2012. [Google Scholar]
- Telles, S.; Singh, N. Science of the mind: Ancient yoga texts and modern studies. Psychiatr. Clin. N. Am. 2013, 36, 93–108. [Google Scholar] [CrossRef]
- Broderick, J.; Crumlish, N.; Waugh, A.; Vancampfort, D. Yoga versus non-standard care for schizophrenia. Cochrane Database Syst. Rev. 2017, 9. [Google Scholar] [CrossRef] [PubMed]
- Capon, H.; O’Shea, M.; McIver, S. Yoga and mental health: A synthesis of qualitative findings. Complement. Ther. Clin. Pract. 2019, 37, 101063. [Google Scholar] [CrossRef]
- Field, T. Yoga research review. Complement. Ther. Clin. Pract. 2016, 24, 145–161. [Google Scholar] [CrossRef] [PubMed]
- Manchanda, S. Yoga—A promising technique to control cardiovascular disease. Indian Heart J. 2014, 66, 487–489. [Google Scholar] [CrossRef] [PubMed]
- Park, C.L.; Braun, T.; Siegel, T. Who practices yoga? A systematic review of demographic, health-related, and psychosocial factors associated with yoga practice. J. Behav. Med. 2015, 38, 460–471. [Google Scholar] [CrossRef]
- McGee, K. Types of Yoga: A Guide to 11 Different Styles|Mindbodygreen. Available online: https://www.mindbodygreen.com/articles/the-11-major-types-of-yoga-explained-simply (accessed on 14 August 2024).
- Park, C.L.; Finkelstein-Fox, L.; Groessl, E.J.; Elwy, A.; Lee, S.Y. Exploring how different types of yoga change psychological resources and emotional well-being across a single session. Complement. Ther. Med. 2020, 49, 102354. [Google Scholar] [CrossRef] [PubMed]
- Riley, K.E.; Park, C.L. How does yoga reduce stress? A systematic review of mechanisms of change and guide to future inquiry. Health Psychol. Rev. 2015, 9, 379–396. [Google Scholar] [CrossRef]
- Maddux, R.E.; Daukantaité, D.; Tellhed, U. The effects of yoga on stress and psychological health among employees: An 8- and 16-week intervention study. Anxiety Stress Coping 2018, 31, 121–134. [Google Scholar] [CrossRef] [PubMed]
- Wang, F.; Szabo, A. Effects of Yoga on Stress Among Healthy Adults: A Systematic Review. Altern. Ther. Health Med. 2020, 26, AT6214. [Google Scholar] [PubMed]
- Gaiswinkler, L.; Unterrainer, H.F. The relationship between yoga involvement, mindfulness and psychological well-being. Complement. Ther. Med. 2016, 26, 123–127. [Google Scholar] [CrossRef] [PubMed]
- Cramer, H.; Ward, L.; Steel, A.; Lauche, R.; Dobos, G.; Zhang, Y. Prevalence, Patterns, and Predictors of Yoga Use: Results of a U.S. Nationally Representative Survey. Am. J. Prev. Med. 2016, 50, 230–235. [Google Scholar] [CrossRef]
- The 2016 Yoga in America Study. Available online: https://www.yogaalliance.org/2016yogainamericastudy (accessed on 17 May 2024).
- Bös, C.; Gaiswinkler, L.; Fuchshuber, J.; Schwerdtfeger, A.; Unterrainer, H.F. Effect of Yoga involvement on mental health in times of crisis: A cross-sectional study. Front. Psychol. 2023, 14, 1096848. [Google Scholar] [CrossRef] [PubMed]
- Green, J.; Huberty, J.; Puzia, M.; Stecher, C. The Effect of Meditation and Physical Activity on the Mental Health Impact of COVID-19-Related Stress and Attention to News Among Mobile App Users in the United States: Cross-sectional Survey. JMIR Ment. Health 2021, 8, e28479. [Google Scholar] [CrossRef] [PubMed]
- Goldstein, E.; Topitzes, J.; Brown, R.L.; Barrett, B. Mediational Pathways of Mindfulness and Exercise on Mental Health and Perceived Stress: A Randomized Controlled Trial. J. Health Psychol. 2020, 25, 1816. [Google Scholar] [CrossRef] [PubMed]
- Demarzo, M.M.P.; Montero-Marin, J.; Stein, P.K.; Cebolla, A.; Provinciale, J.G.; García-Campayo, J. Mindfulness may both moderate and mediate the effect of physical fitness on cardiovascular responses to stress: A speculative hypothesis. Front. Physiol. 2014, 5, 105. [Google Scholar] [CrossRef] [PubMed]
- Cohen, S.; Kamarck, T.; Mermelstein, R. A global measure of perceived stress. J. Health Soc. Behav. 1983, 24, 385–396. [Google Scholar] [CrossRef] [PubMed]
- Juczyński, Z.; Ogińska-Bulik, N. Narzędzia Pomiaru Stresu i Radzenia Sobie ze Stresem; Pracownia Testów Psychologicznych PTP: Warsaw, Poland, 2009. [Google Scholar]
- Gallucci, M. JAMM: Jamovi Advanced Mediation Models 2020. Available online: https://jamovi-amm.github.io/ (accessed on 14 August 2024).
- Jamovi. The Jamovi Project. (Version 2.4) [Computer Software]. 2023. Available online: https://www.jamovi.org (accessed on 17 May 2024).
- Stasińska, A. Czy joga może być „sztuką życia”? Przegląd badań na temat jogi jako zjawiska społecznego. Przegląd Socjol. Jakościowej 2020, 16, 170–190. [Google Scholar] [CrossRef]
- Maddox, C.B.; Cooley, R. “The Benares of the West”: The Evolution of Yoga in Los Angeles. J. Sport Hist. 2019, 46, 82–97. [Google Scholar] [CrossRef]
- Glebova, E.; Desbordes, M. Smart sports in smart. In Smart Cities and Tourism: Co-Creating Experiences, Challenges and Opportunities; Buhalis, D., Taheri, B., Rahimi, R., Eds.; Goodfellow Publishers Limited: Oxford, UK, 2022; pp. 60–63. [Google Scholar]



| Variable | Category | Total Sample (N = 201) | Practicing Yoga (n = 96) | Not Practicing Yoga (n = 105) | |||
|---|---|---|---|---|---|---|---|
| M/n | SD/% | M/n | SD/% | M/n | SD/% | ||
| Age | 36.19 | 11.65 | 39.49 | 11.44 | 33.18 | 11.05 | |
| Residence | Village | 41 | 20.4 | 17 | 17.7 | 24 | 22.86 |
| City < 50,000 inhabitants | 28 | 13.93 | 14 | 14.58 | 14 | 13.33 | |
| City 50,000 < 150,000 inhabitants | 42 | 20.9 | 18 | 18.75 | 24 | 22.86 | |
| City 150,000 < 500,000 inhabitants | 31 | 15.42 | 13 | 13.54 | 18 | 17.14 | |
| City > 500,000 inhabitants | 59 | 29.35 | 34 | 35.42 | 25 | 23.81 | |
| Education | Lower secondary | 1 | 0.5 | 0 | 0 | 1 | 0.95 |
| Vocational | 3 | 1.49 | 1 | 1.04 | 2 | 1.9 | |
| Secondary | 34 | 16.92 | 10 | 10.42 | 24 | 22.86 | |
| Undergraduate | 45 | 22.39 | 21 | 21.86 | 24 | 22.86 | |
| Graduate | 118 | 58.71 | 64 | 66.67 | 54 | 51.43 | |
| Minutes of exercise per week | 142.1 | 128.18 | 127.42 | 146.14 | 158.18 | 107.86 | |
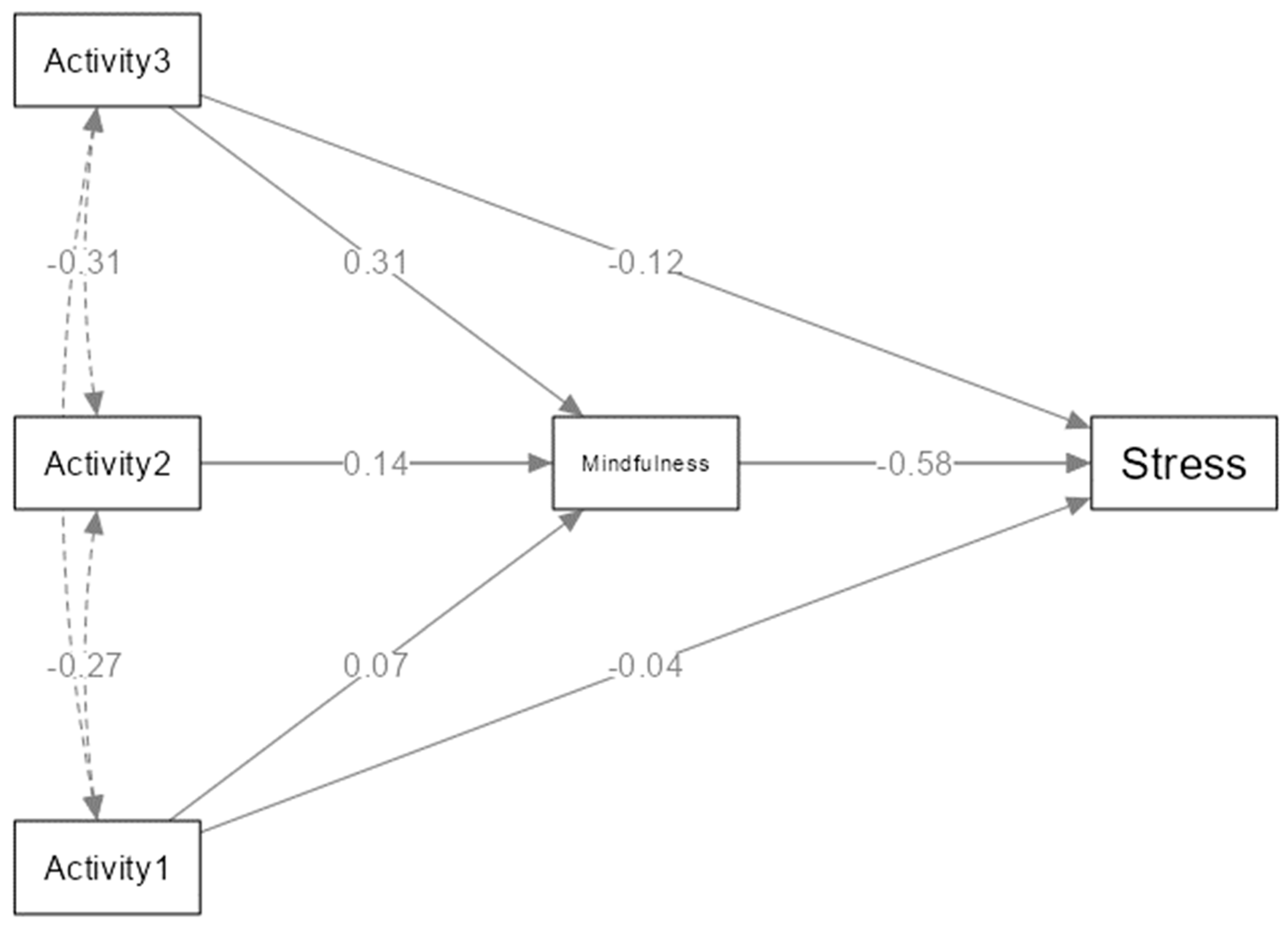
| Type | Effect | B | SE | 95% BCB CI | β | z | p | |
|---|---|---|---|---|---|---|---|---|
| LL | UL | |||||||
| Indirect | Activity1 ⇒ Mindfulness ⇒ Stress | −0.98 | 1.05 | −3.15 | 0.98 | −0.04 | −0.93 | 0. 350 |
| Activity2 ⇒ Mindfulness ⇒ Stress | −1.63 | 0. 97 | −3.63 | 0. 27 | −0.08 | −1.68 | 0. 093 | |
| Activity3 ⇒ Mindfulness ⇒ Stress | −3.72 | 0.93 | −5.62 | −1.97 | −0.18 | −4.00 | <0.001 | |
| Component | Activity1 ⇒ Mindfulness | 0.15 | 0.15 | −0.15 | 0.45 | 0.07 | 0. 95 | 0. 344 |
| Activity2 ⇒ Mindfulness | 0.24 | 0.14 | −0.04 | 0. 53 | 0.14 | 1. 69 | 0. 092 | |
| Activity3 ⇒ Mindfulness | 0.55 | 0.13 | 0.29 | 0.81 | 0.31 | 4. 21 | <0.001 | |
| Mindfulness ⇒ Stress | −6.76 | 0. 68 | −8.05 | −5.41 | −0.58 | −9.99 | <0.001 | |
| Direct | Activity1 ⇒ Stress | −1.00 | 1. 64 | −4.22 | 2. 19 | −0.04 | −0.61 | 0. 545 |
| Activity2 ⇒ Stress | −0.54 | 1. 35 | −3.22 | 2.15 | −0.03 | −0.40 | 0. 692 | |
| Activity3 ⇒ Stress | −2.47 | 1. 29 | −5.02 | 0. 02 | −0.12 | −1.91 | 0. 056 | |
| Total | Activity1 ⇒ Stress | −1.97 | 1. 84 | −5.54 | 1. 76 | −0.09 | −1.07 | 0. 285 |
| Activity2 ⇒ Stress | −2.16 | 1. 58 | −5.16 | 0.93 | −0.11 | −1.37 | 0. 170 | |
| Activity3 ⇒ Stress | −6.19 | 1. 53 | −9.12 | −3.04 | −0.30 | −4.03 | <0.001 | |
Disclaimer/Publisher’s Note: The statements, opinions and data contained in all publications are solely those of the individual author(s) and contributor(s) and not of MDPI and/or the editor(s). MDPI and/or the editor(s) disclaim responsibility for any injury to people or property resulting from any ideas, methods, instructions or products referred to in the content. |
© 2024 by the authors. Licensee MDPI, Basel, Switzerland. This article is an open access article distributed under the terms and conditions of the Creative Commons Attribution (CC BY) license (https://creativecommons.org/licenses/by/4.0/).
Share and Cite
Cavour-Więcławek, N.; Rogowska, A.M. Does Self-Reported Trait Mindfulness Contribute to Reducing Perceived Stress in Women Who Practice Yoga and Are Physically Active? Behav. Sci. 2024, 14, 772. https://doi.org/10.3390/bs14090772
Cavour-Więcławek N, Rogowska AM. Does Self-Reported Trait Mindfulness Contribute to Reducing Perceived Stress in Women Who Practice Yoga and Are Physically Active? Behavioral Sciences. 2024; 14(9):772. https://doi.org/10.3390/bs14090772
Chicago/Turabian StyleCavour-Więcławek, Natalia, and Aleksandra M. Rogowska. 2024. "Does Self-Reported Trait Mindfulness Contribute to Reducing Perceived Stress in Women Who Practice Yoga and Are Physically Active?" Behavioral Sciences 14, no. 9: 772. https://doi.org/10.3390/bs14090772
APA StyleCavour-Więcławek, N., & Rogowska, A. M. (2024). Does Self-Reported Trait Mindfulness Contribute to Reducing Perceived Stress in Women Who Practice Yoga and Are Physically Active? Behavioral Sciences, 14(9), 772. https://doi.org/10.3390/bs14090772

