The Effect of Physical Activity on Combined Cadmium, Lead, and Mercury Exposure
Abstract
1. Introduction
1.1. Wearable Devices and Physical Activity
1.2. Metals: Lead, Mercury, and Cadmium
Physical Activity and Metals
1.3. Problem Statement
2. Materials and Methods
2.1. Participants for the Study
2.2. Assessment of Heavy Metals
2.3. Descriptive Statistics and Linear Regression
2.4. Bayesian Kernel Machine Regression (BKMR)
3. Results
3.1. Characteristics of the Sample Population
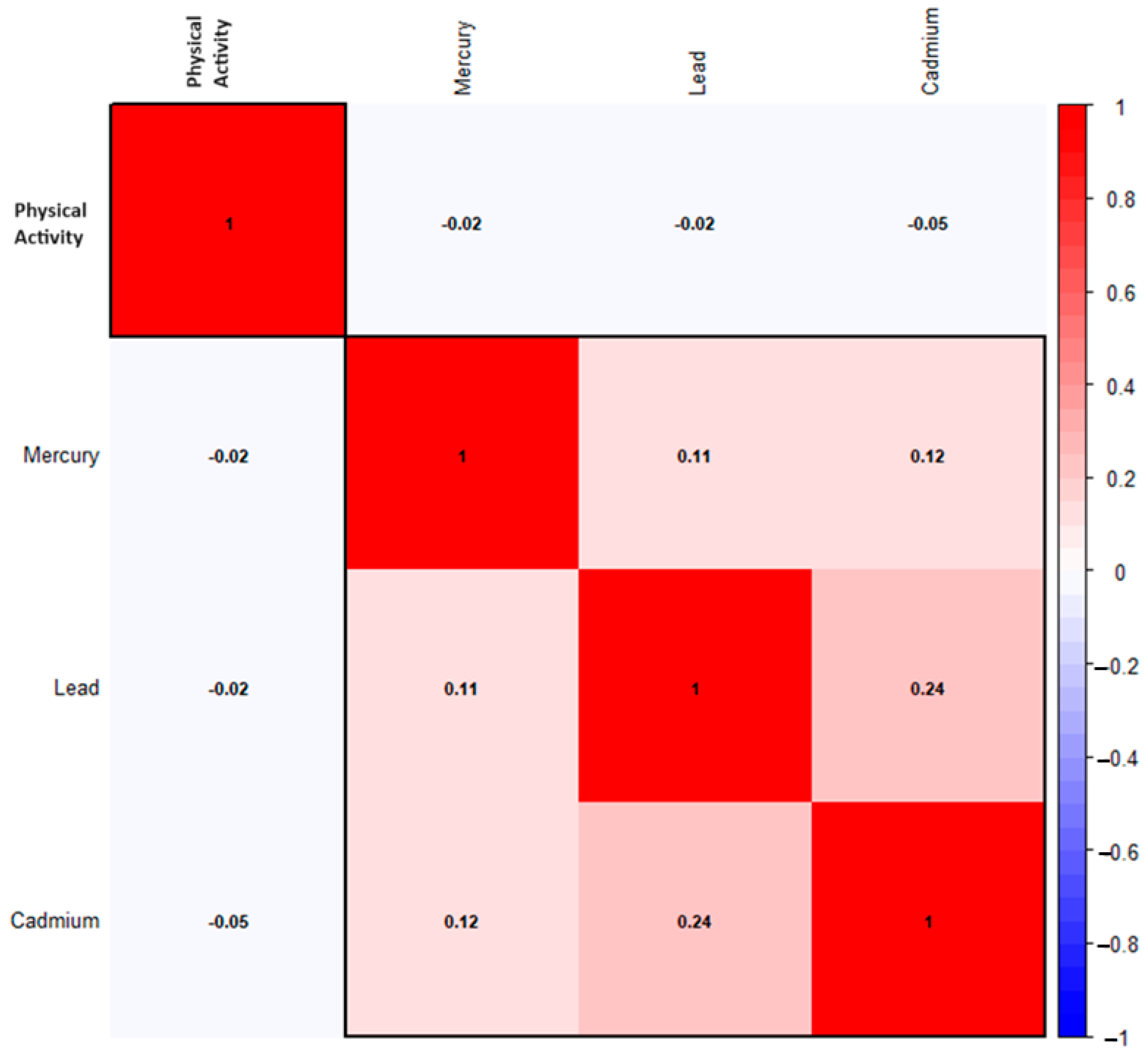
3.2. Correlation Between Environmental Contaminants
3.3. Bayesian Kernel Machine Regression (BKMR) Analysis
3.3.1. Posterior Inclusion Probability of Environmental Contaminants with Physical Activity
3.3.2. Univariate Exposure–Response Relationship of Metals with Physical Activity
3.3.3. Overall Exposure Effect of Combined Metal Exposure on Physical Activity
4. Discussion
4.1. Key Study Findings
4.2. Credible Intervals
4.3. Limitations
5. Conclusions
Author Contributions
Funding
Institutional Review Board Statement
Informed Consent Statement
Data Availability Statement
Conflicts of Interest
References
- Godfrey, A.; Hetherington, V.; Shum, H.; Bonato, P.; Lovell, N.; Stuart, S. From A to Z: Wearable technology explained. Maturitas 2018, 113, 40–47. [Google Scholar] [CrossRef] [PubMed]
- Ometov, A.; Shubina, V.; Klus, L.; Skibińska, J.; Saafi, S.; Pascacio, P.; Flueratoru, L.; Gaibor, D.Q.; Chukhno, N.; Chukhno, O. A survey on wearable technology: History, state-of-the-art and current challenges. Comput. Netw. 2021, 193, 108074. [Google Scholar]
- Khan, S.; Parkinson, S.; Grant, L.; Liu, N.; Mcguire, S. Biometric systems utilising health data from wearable devices: Applications and future challenges in computer security. ACM Comput. Surv. 2020, 53, 85. [Google Scholar] [CrossRef]
- Phillips, S.M.; Cadmus-Bertram, L.; Rosenberg, D.; Buman, M.P.; Lynch, B.M. Wearable technology and physical activity in chronic disease: Opportunities and challenges. Am. J. Prev. Med. 2018, 54, 144–150. [Google Scholar] [CrossRef] [PubMed]
- Soares-Miranda, L.; Siscovick, D.S.; Psaty, B.M.; Longstreth, W., Jr.; Mozaffarian, D. Physical activity and risk of coronary heart disease and stroke in older adults: The cardiovascular health study. Circulation 2016, 133, 147–155. [Google Scholar] [CrossRef]
- Association, A.D. Physical activity/exercise and diabetes. Diabetes Care 2004, 27, S58–S62. [Google Scholar] [CrossRef]
- Rahman, Z.; Singh, V.P. The relative impact of toxic heavy metals (THMs) (arsenic (As), cadmium (Cd), chromium (Cr)(VI), mercury (Hg), and lead (Pb)) on the total environment: An overview. Environ. Monit. Assess. 2019, 191, 419. [Google Scholar] [CrossRef]
- Williams, E.T. Environmental pollution by heavy metal: An overview. Int. J. Environ. Chem. 2019, 12, 72–82. [Google Scholar]
- Edo, G.I.; Samuel, P.O.; Oloni, G.O.; Ezekiel, G.O.; Ikpekoro, V.O.; Obasohan, P.; Ongulu, J.; Otunuya, C.F.; Opiti, A.R.; Ajakaye, R.S. Environmental persistence, bioaccumulation, and ecotoxicology of heavy metals. Chem. Ecol. 2024, 40, 322–349. [Google Scholar] [CrossRef]
- Sanders, A.P.; Mazzella, M.J.; Malin, A.J.; Hair, G.M.; Busgang, S.A.; Saland, J.M.; Curtin, P. Combined exposure to lead, cadmium, mercury, and arsenic and kidney health in adolescents age 12–19 in NHANES 2009–2014. Environ. Int. 2019, 131, 104993. [Google Scholar] [CrossRef]
- Wong, S.L.; Lye, E.J. Lead, mercury and cadmium levels in Canadians. Health Rep. 2008, 19, 31. [Google Scholar] [PubMed]
- Ortega, D.R.; Esquivel, D.F.G.; Ayala, T.B.; Pineda, B.; Manzo, S.G.; Quino, J.M.; Mora, P.C.; de la Cruz, V.P. Cognitive impairment induced by lead exposure during lifespan: Mechanisms of lead neurotoxicity. Toxics 2021, 9, 23. [Google Scholar] [CrossRef] [PubMed]
- Bühler, N. Precision public health in the making: Examining the becoming of the “social” in a Swiss environmental health population-based cohort. Front. Sociol. 2023, 8, 1219275. [Google Scholar] [CrossRef] [PubMed]
- Savaş, S.; Şenel, Ö.; Okan, I.; Çelikkan, H. The change of blood Pb levels of basketball players after strenuous exercise. Neuroendocrinol. Lett. 2007, 28, 769–774. [Google Scholar]
- Rhie, J.; Lee, H.-E. Physical activity and blood lead concentration in Korea: Study using the Korea National Health and Nutrition Examination Survey (2008–2013). J. Korean Med. Sci. 2016, 31, 852–858. [Google Scholar] [CrossRef]
- Kuan, W.-H.; Chen, Y.-L.; Liu, C.-L. Excretion of Ni, Pb, Cu, As, and Hg in sweat under two sweating conditions. Int. J. Environ. Res. Public Health 2022, 19, 4323. [Google Scholar] [CrossRef] [PubMed]
- Tang, S.; Yu, X.; Wu, C. Comparison of the levels of five heavy metals in human urine and sweat after strenuous exercise by ICP-MS. J. Appl. Math. Phys. 2016, 4, 183–188. [Google Scholar]
- Sears, M.E.; Kerr, K.J.; Bray, R.I. Arsenic, cadmium, lead, and mercury in sweat: A systematic review. J. Environ. Public Health 2012, 2012, 184745. [Google Scholar]
- Ouyang, S.; Yin, Y.; Li, Y.; Wu, J.; Liu, Z. Differential Impacts of Physical Activity Volume and Intensity on Blood Lead Levels in Children and Adolescents: A Cross-Sectional Study. 2023. Available online: https://ssrn.com/abstract=4820000 (accessed on 7 December 2024).
- Dong, J.; Zhang, S.; Xia, L.; Yu, Y.; Hu, S.; Sun, J.; Zhou, P.; Chen, P. Physical activity, a critical exposure factor of environmental pollution in children and adolescents health risk assessment. Int. J. Environ. Res. Public Health 2018, 15, 176. [Google Scholar] [CrossRef]
- Warburton, D.E.; Bredin, S.S. Reflections on physical activity and health: What should we recommend? Can. J. Cardiol. 2016, 32, 495–504. [Google Scholar]
- Crooke, R.; Haseler, C.; Haseler, T.; Collins, J.; Crockett, A. Physical activity and moving more for health. J. R. Coll. Physicians Edinb. 2020, 50, 164–165. [Google Scholar] [CrossRef] [PubMed]
- Bobb, J.F.; Claus Henn, B.; Valeri, L.; Coull, B.A. Statistical software for analyzing the health effects of multiple concurrent exposures via Bayesian kernel machine regression. Environ. Health 2018, 17, 67. [Google Scholar] [CrossRef] [PubMed]
- Bobb, J.F.; Valeri, L.; Claus Henn, B.; Christiani, D.C.; Wright, R.O.; Mazumdar, M.; Godleski, J.J.; Coull, B.A. Bayesian kernel machine regression for estimating the health effects of multi-pollutant mixtures. Biostatistics 2015, 16, 493–508. [Google Scholar] [CrossRef] [PubMed]
- Li, H.; Deng, W.; Small, R.; Schwartz, J.; Liu, J.; Shi, L. Health effects of air pollutant mixtures on overall mortality among the elderly population using Bayesian kernel machine regression (BKMR). Chemosphere 2022, 286, 131566. [Google Scholar] [CrossRef]
- Jaishankar, M.; Tseten, T.; Anbalagan, N.; Mathew, B.B.; Beeregowda, K.N. Toxicity, mechanism and health effects of some heavy metals. Interdiscip. Toxicol. 2014, 7, 60–72. [Google Scholar] [CrossRef]
- Kabir, M.; Iqbal, M.; Shafiq, M.; Farooqi, Z. Effects of lead on seedling growth of spesia populnea. Plant Soil Environ. 2010, 56, 194–199. [Google Scholar] [CrossRef]
- Kumar, B.; Smita, K.; Flores, L.C. Plant mediated detoxification of mercury and lead. Arab. J. Chem. 2017, 10, S2335–S2342. [Google Scholar] [CrossRef]
- Charkiewicz, A.E.; Backstrand, J.R. Lead toxicity and pollution in Poland. Int. J. Environ. Res. Public Health 2020, 17, 4385. [Google Scholar] [CrossRef]
- Kordas, K.; Ravenscroft, J.; Cao, Y.; McLean, E.V. Lead exposure in low and middle-income countries: Perspectives and lessons on patterns, injustices, economics, and politics. Int. J. Environ. Res. Public Health 2018, 15, 2351. [Google Scholar] [CrossRef]
- Speich, M.; Pineau, A.; Ballereau, F. Minerals, trace elements and related biological variables in athletes and during physical activity. Clin. Chim. Acta 2001, 312, 1–11. [Google Scholar] [CrossRef]
- Sunderland, E.M.; Selin, N.E. Future trends in environmental mercury concentrations: Implications for prevention strategies. Environ. Health 2013, 12, 2. [Google Scholar] [PubMed]
- Reche, C.; Viana, M.; Van Drooge, B.L.; Fernández, F.J.; Escribano, M.; Castaño-Vinyals, G.; Nieuwenhuijsen, M.; Adami, P.E.; Bermon, S. Athletes’ exposure to air pollution during World Athletics Relays: A pilot study. Sci. Total Environ. 2020, 717, 137161. [Google Scholar] [CrossRef]
- Warren, J.R.; Hoonakker, P.; Carayon, P.; Brand, J. Job characteristics as mediators in SES–health relationships. Soc. Sci. Med. 2004, 59, 1367–1378. [Google Scholar] [PubMed]
- Mohai, P.; Lantz, P.M.; Morenoff, J.; House, J.S.; Mero, R.P. Racial and socioeconomic disparities in residential proximity to polluting industrial facilities: Evidence from the Americans’ Changing Lives Study. Am. J. Public Health 2009, 99, S649–S656. [Google Scholar] [CrossRef] [PubMed]
- Atsdr, U. Agency for Toxic Substances and Disease Registry. Case Studies in Environmental Medicine. Available online: http://www.atsdr.cdc.gov/HEC/CSEM/csem.html (accessed on 7 December 2024).
- Devick, K.L.; Bobb, J.F.; Mazumdar, M.; Claus Henn, B.; Bellinger, D.C.; Christiani, D.C.; Wright, R.O.; Williams, P.L.; Coull, B.A.; Valeri, L. Bayesian kernel machine regression-causal mediation analysis. Stat Med. 2022, 41, 860–876. [Google Scholar] [CrossRef] [PubMed]
- University of Saskatchewan. Face Masks Don’t Hinder Breathing During Exercise, Study Finds. Available online: https://www.sciencedaily.com/releases/2020/11/201105112934.htm (accessed on 7 December 2024).







| Variable | N | Percent |
|---|---|---|
| Male | 5003 | 49.17 |
| Female | 5172 | 50.83 |
| Race/Hispanic Origin | ||
| Mexican American | 1730 | 17.9 |
| Other Hispanic | 960 | 9.90 |
| Non-Hispanic White | 3674 | 37.9 |
| Non-Hispanic Black | 2267 | 23.4 |
| Other Race—Including Multi-Racial | 1074 | 11.1 |
| Had at least 12 alcoholic drinks in 1 year | ||
| Yes | 3790 | 69.91 |
| No | 1623 | 29.94 |
| Smoked at least more than 100 cigarettes in life | ||
| Yes | 2579 | 42.19 |
| No | 3532 | 57.78 |
| Variable | N | Mean | Minimum | Maximum | Median |
|---|---|---|---|---|---|
| Cadium | 5215 | 0.3069 | 0.07 | 7.23 | 0.15 |
| Lead | 5215 | 1.106 | 0.07 | 34.1 | 0.78 |
| Mercury | 5215 | 1.094 | 0.2 | 46.4 | 0.5 |
| Variable | Mean | |
|---|---|---|
| High PA (SE) | Low PA (SE) | |
| Cadmium | 0.322 (0.18) | 0.327 (0.020) |
| Lead | 1.04 (0.061) | 1.02 (0.053) |
| Mercury | 1.00 (0.055) | 1.05 (0.057) |
| Variable | Coef. (SE) * | 95% CI |
|---|---|---|
| Cadmium | 0.212 (0.147) | −0.101–0.524 |
| Lead | 0.019 (0.056) | −0.101–0.139 |
| Mercury | 0.011 (0.004) | −0.046–0.071 |
Disclaimer/Publisher’s Note: The statements, opinions and data contained in all publications are solely those of the individual author(s) and contributor(s) and not of MDPI and/or the editor(s). MDPI and/or the editor(s) disclaim responsibility for any injury to people or property resulting from any ideas, methods, instructions or products referred to in the content. |
© 2024 by the authors. Licensee MDPI, Basel, Switzerland. This article is an open access article distributed under the terms and conditions of the Creative Commons Attribution (CC BY) license (https://creativecommons.org/licenses/by/4.0/).
Share and Cite
Marfo, A.; Obeng-Gyasi, E. The Effect of Physical Activity on Combined Cadmium, Lead, and Mercury Exposure. Med. Sci. 2024, 12, 71. https://doi.org/10.3390/medsci12040071
Marfo A, Obeng-Gyasi E. The Effect of Physical Activity on Combined Cadmium, Lead, and Mercury Exposure. Medical Sciences. 2024; 12(4):71. https://doi.org/10.3390/medsci12040071
Chicago/Turabian StyleMarfo, Akua, and Emmanuel Obeng-Gyasi. 2024. "The Effect of Physical Activity on Combined Cadmium, Lead, and Mercury Exposure" Medical Sciences 12, no. 4: 71. https://doi.org/10.3390/medsci12040071
APA StyleMarfo, A., & Obeng-Gyasi, E. (2024). The Effect of Physical Activity on Combined Cadmium, Lead, and Mercury Exposure. Medical Sciences, 12(4), 71. https://doi.org/10.3390/medsci12040071

