Durability of Two-Component Grout in Tunneling Applications: A Laboratory Test Campaign
Abstract
1. Introduction
2. Two-Component Grout and the Issue of Durability
- -
- Is the mechanical performance of two-component grout preserved over time (for curing times longer than the standard threshold of 28 days)?
- -
- Can different curing environments affect the mechanical performance after a certain curing time?
- -
- Since other authors have highlighted the role of the embedding soil, what would happen if the two-component grout was left to cure with no form of protection?
3. Research Path and Sample Production
3.1. Sample Production
3.2. Curing Conditions for Aging Tests
3.3. Curing Conditions for the Action of Air
4. Tests and Procedures
4.1. Mechanical Tests on the Aged Samples
4.2. Monitoring of the Dehydration Process via Weight Assessment
4.3. Mechanical Tests on Samples Cured Under the Action of Air
5. Results
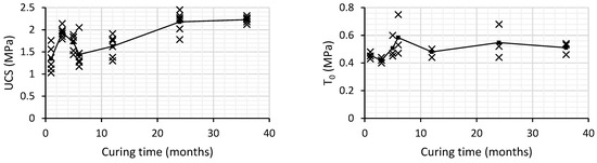
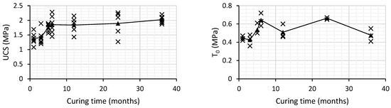
5.1. Aging
5.2. Dehydration Process
5.3. Action of Air
6. Discussion
7. Conclusions
- -
- A minimum value of 5% guarantees correct curing of the grout with a slow but continuous increase in UCS over time; it should be also reported that regarding the state of the art, it is not possible to exclude that also curing modalities with lower water content could ensure a suitable curing;
- -
- The increase in UCS despite the progressive destruction of the samples highlights the importance of assessing the shrinkage of the material; the evidence presented in this work should encourage stockholders involved in mechanized tunneling to reconsider the common acceptance tests for two-component grout.
Author Contributions
Funding
Data Availability Statement
Acknowledgments
Conflicts of Interest
References
- Han, X.; Oreste, P.; Ye, F. The buoyancy of the tunnel segmental lining in the surrounding filling material and its effects on the concrete stress state. Geotech. Geol. Eng. 2023, 41, 741–758. [Google Scholar] [CrossRef]
- Thewes, M.; Budach, C. Grouting of the annular gap in shield tunneling—An important factor for minimisation of settlements and production performance. In Proceedings of the ITA-AITES World Tunnel Congress, Budapest, Hungary, 23–28 May 2009. [Google Scholar]
- Ye, F.; Yang, T.; Mao, J.H.; Qin, X.Z.; Zhao, R.L. Half-spherical surface diffusion model of shield tunnel back-fill grouting based on infiltration effect. Tunn. Undergr. Space Technol. 2019, 83, 274–281. [Google Scholar] [CrossRef]
- Wan, Y.; Zhu, Z.; Song, L.; Song, S.; Zhang, J.; Gu, X.; Xu, X. Study on temporary filling material of synchronous grouting in the middle of shield. Constr. Build. Mater. 2021, 273, 121681. [Google Scholar] [CrossRef]
- EFNARC. Specification and Guidelines for the Use of Specialist Products for Mechanized Tunnelling TBM in Soft Ground and Hard Rock; European Federation of National Associations Representing for Concrete: Flums, Switzerland, 2005. [Google Scholar]
- He, S.; Lai, J.; Wang, L.; Wang, K. A literature review on properties and applications of grouts for shield tunnel. Constr. Build. Mater. 2020, 239, 117782. [Google Scholar] [CrossRef]
- Dal Negro, E.; Boscaro, A.; Barbero, E.; Darres, J. Comparison between different methods for backfilling grouting in mechanized tunnelling with TBM: Technical and operational advantages of the two-component grouting system. In Proceedings of the AFTES International Congress 2017, Paris, France, 13–16 November 2017. [Google Scholar]
- Oggeri, C.; Oreste, P.; Spagnoli, G. The influence of the two-component grout on the behaviour of a segmental lining in tunnelling. Tunn. Undergr. Space Technol. 2021, 109, 103750. [Google Scholar] [CrossRef]
- Oreste, P.; Sebastiani, D.; Spagnoli, G.; de Lillis, A. Analysis of the behavior of the two-component grout around a tunnel segmental lining on the basis of experimental results and analytical approaches. Transp. Geotech. 2021, 29, 100570. [Google Scholar] [CrossRef]
- Todaro, C.; Pace, F. Elastic properties of two-component grouts at short curing times: The role of bentonite. Tunn. Undergr. Space Technol. 2022, 130, 104756. [Google Scholar] [CrossRef]
- Càmara, R.J. Use of two-component mortar in the precast lining backfilling of mechanized tunnels in rock formations. In Proceedings of the ITA WTC World Tunnel Congress 2018, Dubai, United Arab Emirates, 20–26 April 2018. [Google Scholar]
- Pelizza, S.; Peila, D.; Borio, L.; Dal Negro, E.; Schulkins, R.; Boscaro, A. Analysis of the performance of two-component back-filling grout in tunnel boring machines. In Proceedings of the ITA World Tunnel Congress 2010, Vancouver, BC, Canada, 14–20 May 2010. [Google Scholar]
- Sha, F.; Li, S.; Liu, R.; Zhang, Q.; Li, Z. Performance of typical cement suspension-sodium silicate double slurry grout. Constr. Build. Mater. 2019, 200, 408–419. [Google Scholar] [CrossRef]
- Li, S.; Zhang, J.; Li, Z.; Gao, Y.; Qi, Y.; Li, H.; Zhang, Q. Investigation and practical application of a new cementitious anti-washout grouting material. Constr. Build. Mater. 2019, 224, 66–77. [Google Scholar] [CrossRef]
- Todaro, C.; Martinelli, D.; Boscaro, A.; Carigi, A.; Saltarin, S.; Peila, D. Characteristics and testing of two-component grout in tunnelling applications. Geomech. Tunn. 2022, 15, 121–131. [Google Scholar] [CrossRef]
- André, L.; Bacquié, C.; Comin, G.; Ploton, R.; Achard, D.; Frouin, L.; Cyr, M. Improvement of two-component grouts by the use of ground granulated blast furnace slag. Tunn. Undergr. Space Technol. 2022, 122, 104369. [Google Scholar] [CrossRef]
- Youn, B.; Schulte-Schrepping, C.; Breitenbücher, R. Properties and requirements of two-component grouts. In Mechanized Tunnelling, Proceedings of the ITA WTC World Tunnel Congress 2016, San Francisco, CA, USA, 22–28 April 2016; Curran Associates, Inc.: Red Hook, NY, USA, 2016. [Google Scholar]
- Schulte-Schrepping, C.; Breitenbücher, R. Two-component grouts with alkali-activated binders. In Proceedings of the ITA-AITES World Tunnel Congress 2019, Naples, Italy, 3–9 May 2019. [Google Scholar]
- Song, W.; Zhu, Z.; Pu, S.; Wan, Y.; Huo, W.; Song, S.; Zhang, J.; Yao, K.; Hu, L. Synthesis and characterization of eco-friendly alkali-activated industrial solid waste-based two-component backfilling grouts for shield tunnelling. J. Clean. Prod. 2020, 266, 121974. [Google Scholar] [CrossRef]
- Rahmati, S.; Chakeri, H.; Sharghi, M.; Dias, D. Experimental study of the mechanical properties of two-component backfilling grout. Proc. Inst. Civ. Eng.-Ground Improv. 2022, 175, 277–289. [Google Scholar] [CrossRef]
- Peila, D.; Borio, L.; Pelizza, S. The behaviour of a two-component backfilling grout used in a tunnel-boring machine. Acta Geotech. Slov. 2011, 8, 5–15. [Google Scholar]
- Todaro, C.; Peila, L.; Luciani, A.; Carigi, A.; Martinelli, D.; Boscaro, A. Two component backfilling in shield tunneling: Laboratory procedure and results of a test campaign. In Proceedings of the ITA WTC World Tunnel Congress 2019, Naples, Italy, 3–9 May 2019. [Google Scholar] [CrossRef]
- Todaro, C.; Bongiorno, M.; Carigi, A.; Martinelli, D. Short term strength behavior of two-component backfilling in shield tunneling: Comparison between standard penetrometer test results and UCS. Geoing. Ambient. Mineraria 2020, 159, 33–40. [Google Scholar]
- EN 196–1:2016; Methods of Testing Cement-Part 1: Determination of Strength. European Committee for Standardization: Bruxelles, Belgium, 2016.
- Mohammadzamani, D.; Alimardani Lavasan, A.; Wichtmann, T. On design and assessment of tail void grouting material in mechanized tunneling: A review. Geotech. Geol. Eng. 2023, 41, 4233–4255. [Google Scholar] [CrossRef]
- Todaro, C.; Zanti, D.; Carigi, A.; Peila, D. The role of bentonite in two-component grout: A comparative study. Tunn. Undergr. Space Technol. 2023, 142, 105412. [Google Scholar] [CrossRef]
- Pelizza, S.; Peila, D.; Sorge, R.; Cignitti, F. Back-fill grout with two component mix in EPB tunneling to minimize surface settlements: Roma Metro–line C case history. In Proceedings of the Geotechnical Aspects of Underground Construction in Soft Ground, International Symposium on Geotechnical Aspects of Underground Construction in Soft Ground, Rome, Italy, 16–18 May 2011. [Google Scholar]















| Ingredients Added | Phases | Impeller Rotation Speed (rpm) | Duration (min) |
|---|---|---|---|
| Water alone in the mixing tank | Start | 800 | / |
| Bentonite | Bentonite activation | 2000 | 7 |
| Cement | Mixing phase | 2000 | 3 |
| Retarding/fluidifying agent | End of mixing phase | 2000 | 2 |
| ID | Curing Modality |
|---|---|
| 1 | Samples stored completely under water |
| 2 | Samples stored in sand with a moisture content of 5% |
| 3 | Samples stored in sand with a moisture content of 10% |
| Curing Modality | Curing Time (Months) | ||||||||||||||
|---|---|---|---|---|---|---|---|---|---|---|---|---|---|---|---|
| 1 | 3 | 5 | 6 | 12 | 24 | 36 | |||||||||
| T0 | UCS | T0 | UCS | T0 | UCS | T0 | UCS | T0 | UCS | T0 | UCS | T0 | UCS | ||
| av (MPa) | 1 | 0.43 | 1.57 | 0.37 | 1.64 | 0.35 | 1.48 | 0.46 | 1.72 | 0.34 | 1.64 | 0.37 | 2.14 | 0.35 | 2.02 |
| sd (MPa) | 0.00 | 0.08 | 0.01 | 0.22 | 0.01 | 0.24 | 0.01 | 0.31 | 0.03 | 0.22 | 0.01 | 0.11 | 0.07 | 0.07 | |
| CV | 0.01 | 0.05 | 0.03 | 0.13 | 0.04 | 0.16 | 0.01 | 0.18 | 0.09 | 0.13 | 0.02 | 0.05 | 0.19 | 0.04 | |
| av (MPa) | 2 | 0.45 | 1.34 | 0.42 | 1.94 | 0.51 | 1.71 | 0.58 | 1.44 | 0.48 | 1.63 | 0.55 | 2.18 | 0.51 | 2.23 |
| sd (MPa) | 0.02 | 0.25 | 0.02 | 0.11 | 0.07 | 0.17 | 0.12 | 0.29 | 0.03 | 0.22 | 0.10 | 0.22 | 0.04 | 0.06 | |
| CV | 0.05 | 0.19 | 0.04 | 0.06 | 0.13 | 0.10 | 0.20 | 0.20 | 0.06 | 0.14 | 0.18 | 0.10 | 0.07 | 0.03 | |
| av (MPa) | 3 | 0.44 | 1.38 | 0.43 | 1.41 | 0.54 | 1.76 | 0.64 | 1.85 | 0.51 | 1.84 | 0.66 | 1.89 | 0.48 | 2.02 |
| sd (MPa) | 0.02 | 0.19 | 0.05 | 0.23 | 0.05 | 0.12 | 0.06 | 0.29 | 0.06 | 0.23 | 0.01 | 0.38 | 0.06 | 0.12 | |
| CV | 0.05 | 0.14 | 0.12 | 0.16 | 0.10 | 0.07 | 0.09 | 0.16 | 0.13 | 0.13 | 0.01 | 0.20 | 0.12 | 0.06 | |
| Curing Time (Days) | ||||||||||||
|---|---|---|---|---|---|---|---|---|---|---|---|---|
| 1 | 3 | 7 | 14 | |||||||||
| UCS—Water | UCS—Real | UCS—Theo | UCS—Water | UCS—Real | UCS—Theo | UCS—Water | UCS—Real | UCS—Theo | UCS—Water | UCS—Real | UCS—Theo | |
| av (MPa) | 1.04 | 0.96 | 0.96 | 1.09 | 1.27 | 1.22 | 1.16 | 1.54 | 1.43 | 1.37 | 4.58 | 3.56 |
| sd (MPa) | 0.02 | 0.10 | 0.10 | 0.08 | 0.20 | 0.19 | 0.15 | 0.21 | 0.17 | 0.06 | 1.76 | 1.25 |
| CV | 0.01 | 0.10 | 0.10 | 0.07 | 0.16 | 0.16 | 0.13 | 0.14 | 0.12 | 0.04 | 0.38 | 0.35 |
| Curing Time (Days) | w/c | Decrease in w/c (%) |
|---|---|---|
| 0 | 3.71 | / |
| 1 | 3.31 | 10.74 |
| 3 | 3.09 | 16.54 |
| 7 | 2.43 | 34.41 |
| 14 | 1.87 | 49.53 |
Disclaimer/Publisher’s Note: The statements, opinions and data contained in all publications are solely those of the individual author(s) and contributor(s) and not of MDPI and/or the editor(s). MDPI and/or the editor(s) disclaim responsibility for any injury to people or property resulting from any ideas, methods, instructions or products referred to in the content. |
© 2024 by the authors. Licensee MDPI, Basel, Switzerland. This article is an open access article distributed under the terms and conditions of the Creative Commons Attribution (CC BY) license (https://creativecommons.org/licenses/by/4.0/).
Share and Cite
Todaro, C.; Carigi, A.; Peila, D. Durability of Two-Component Grout in Tunneling Applications: A Laboratory Test Campaign. Geosciences 2024, 14, 302. https://doi.org/10.3390/geosciences14110302
Todaro C, Carigi A, Peila D. Durability of Two-Component Grout in Tunneling Applications: A Laboratory Test Campaign. Geosciences. 2024; 14(11):302. https://doi.org/10.3390/geosciences14110302
Chicago/Turabian StyleTodaro, Carmine, Andrea Carigi, and Daniele Peila. 2024. "Durability of Two-Component Grout in Tunneling Applications: A Laboratory Test Campaign" Geosciences 14, no. 11: 302. https://doi.org/10.3390/geosciences14110302
APA StyleTodaro, C., Carigi, A., & Peila, D. (2024). Durability of Two-Component Grout in Tunneling Applications: A Laboratory Test Campaign. Geosciences, 14(11), 302. https://doi.org/10.3390/geosciences14110302

