Syndepositional Uptake of Uranium, Molybdenum and Vanadium into Modern Bahamian Carbonate Sediments during Early Diagenesis
Abstract
1. Introduction
2. Materials and Methods
2.1. Site Location
2.1.1. Exuma Islands—Darby Island
2.1.2. Eleuthera Island
2.1.3. Schooner Cays
2.2. Inorganic Oxygen and Carbon Isotope Analysis
2.3. Organic Nitrogen, Organic Carbon, and Sulfur Isotopes and Elemental Analysis
2.4. Sequential Extractions and ICP–MS Analyses
2.4.1. ICP–MS Elemental Analysis of Sediment Grab Samples
2.4.2. ICP–MS Analysis of Sequentially Extracted Trace Elements
2.5. Normalization of Rare Earth Elements
3. Results
3.1. Inorganic Carbon and Oxygen Isotopes
3.2. Organic Carbon, Nitrogen, and Sulfur Isotopes
3.3. Rare Earth Elements and Yttrium (REY) and Terrigenous Input Proxies (Al, Mn, Fe) in Bahamian Cores and Grab Samples
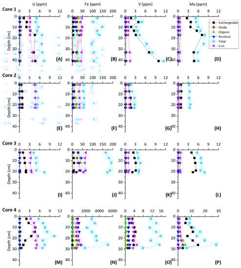
3.4. Uranium Concentrations in Bahamian Cores and its Distribution in Different Sediment Phases
3.5. Molybdenum Concentrations in Bahamian Cores and its Distribution in Different Sediment Phases
3.6. Vanadium Concentrations in Bahamian Cores and its Distribution in Different Sediment Phases
4. Discussion
4.1. Multi-Proxy Organic Geochemistry of Bahamian Bulk and Core Sediments
4.2. Rare Earth and Yttrium Geochemistry of Bahamian Bulk and Core Sediments
4.3. Paleoredox Applications
4.3.1. Uranium Sequestration
4.3.2. Molybdenum Sequestration
4.3.3. Vanadium Sequestration
4.4. U, Mo, and V Accumulation in Authigenic Carbonates
4.5. Screening for Primary Geochemical Signals
5. Conclusions
Author Contributions
Funding
Data Availability Statement
Acknowledgments
Conflicts of Interest
References
- Luo, G.; Kump, L.R.; Wang, Y.; Tong, J.; Arthur, M.A.; Yang, H.; Huang, J.; Yin, H.; Xie, S. Isotopic evidence for an anomalously low oceanic sulfate concentration following end-Permian mass extinction. Earth Planet. Sci. Lett. 2010, 300, 101–111. [Google Scholar] [CrossRef]
- Sahoo, S.K.; Planavsky, N.J.; Kendall, B.; Wang, X.; Shi, X.; Scott, C.; Anbar, A.D.; Lyons, T.W.; Jiang, G. Ocean oxygenation in the wake of the Marinoan glaciation. Nature 2012, 489, 546–549. [Google Scholar] [CrossRef]
- Hoffman, P.F.; Kaufman, A.J.; Halverson, G.P.; Schrag, D.P. A neoproterozoic snowball earth. Science 1998, 281, 1342–1346. [Google Scholar] [CrossRef] [PubMed]
- Veizer, J.; Hoefs, J. The nature of O18/O16 and C13/C12 secular trends in sedimentary carbonate rocks. Geochim. Cosmochim. Acta 1976, 40, 1387–1395. [Google Scholar] [CrossRef]
- Weyer, S.; Anbar, A.; Gerdes, A.; Gordon, G.; Algeo, T.; Boyle, E. Natural fractionation of 238 U/235 U. Geochim. Cosmochim. Acta 2008, 72, 345–359. [Google Scholar] [CrossRef]
- Brennecka, G.A.; Herrmann, A.D.; Algeo, T.J.; Anbar, A.D. Rapid expansion of oceanic anoxia immediately before the end-Permian mass extinction. Proc. Natl. Acad. Sci. USA 2011, 108, 17631–17634. [Google Scholar] [CrossRef] [PubMed]
- Voegelin, A.R.; Nägler, T.F.; Samankassou, E.; Villa, I.M. Molybdenum isotopic composition of modern and Carboniferous carbonates. Chem. Geol. 2009, 265, 488–498. [Google Scholar] [CrossRef]
- Romaniello, S.J.; Herrmann, A.D.; Anbar, A.D. Uranium concentrations and 238 U/235 U isotope ratios in modern carbonates from the Bahamas: Assessing a novel paleoredox proxy. Chem. Geol. 2013, 362, 305–316. [Google Scholar] [CrossRef]
- Romaniello, S.J.; Herrmann, A.D.; Anbar, A.D. Syndepositional diagenetic control of molybdenum isotope variations in carbonate sediments from the Bahamas. Chem. Geol. 2016, 438, 84–90. [Google Scholar] [CrossRef]
- Andersen, M.; Romaniello, S.; Vance, D.; Little, S.; Herdman, R.; Lyons, T. A modern framework for the interpretation of 238 U/235 U in studies of ancient ocean redox. Earth Planet. Sci. Lett. 2014, 400, 184–194. [Google Scholar] [CrossRef]
- Oehlert, A.M.; Swart, P.K. Interpreting carbonate and organic carbon isotope covariance in the sedimentary record. Nat. Commun. 2014, 5, 4672. [Google Scholar] [CrossRef]
- Swart, P.K. The geochemistry of carbonate diagenesis: The past, present and future. Sedimentology 2015, 62, 1233–1304. [Google Scholar] [CrossRef]
- Baker, P.A.; Kastner, M. Constraints on the formation of sedimentary dolomite. Science 1981, 213, 214–216. [Google Scholar] [CrossRef] [PubMed]
- Muhs, D.R.; Budahn, J.R.; Prospero, J.M.; Carey, S.N. Geochemical evidence for African dust inputs to soils of western Atlantic islands: Barbados, the Bahamas, and Florida. J. Geophys. Res. Earth Surf. 2007, 112, F02009. [Google Scholar] [CrossRef]
- Hearty, P.J. The Geology of Eleuthera Island, Bahamas: A Rosetta Stone of Quaternary Stratigraphy and Sea-Level History. Quat. Sci. Rev. 1998, 17, 333–355. [Google Scholar] [CrossRef]
- Conrad Neumann, A.; Hearty, P.J. Rapid sea-level changes at the close of the last interglacial (substage 5e) recorded in Bahamian island geology. Geology 1996, 24, 775–778. [Google Scholar] [CrossRef]
- Kindler, P.; Hearty, P.J. Carbonate petrography as an indicator of climate and sea-level changes: New data from Bahamian Quaternary units. Sedimentology 1996, 43, 381–399. [Google Scholar] [CrossRef]
- Rankey, E.C.; Reeder, S.L. Holocene oolitic marine sand complexes of the Bahamas. J. Sediment. Res. 2011, 81, 97–117. [Google Scholar] [CrossRef]
- Maynard, D.; Fletcher, W. Comparison of total and partial extractable copper in anomalous and background peat samples. J. Geochem. Explor. 1973, 2, 19–24. [Google Scholar] [CrossRef]
- Chao, T.; Zhou, L. Extraction techniques for selective dissolution of amorphous iron oxides from soils and sediments. Soil Sci. Soc. Am. J. 1983, 47, 225–232. [Google Scholar] [CrossRef]
- Tessier, A.; Campbell, P.G.; Bisson, M. Sequential extraction procedure for the speciation of particulate trace metals. Anal. Chem. 1979, 51, 844–851. [Google Scholar] [CrossRef]
- Šurija, B.; Branica, M. Distribution of Cd, Pb, Cu and Zn in carbonate sediments from the Krka river estuary obtained by sequential extraction. Sci. Total Environ. 1995, 170, 101–118. [Google Scholar] [CrossRef]
- Morin, G.; Mangeret, A.; Othmane, G.; Stetten, L.; Seder-Colomina, M.; Brest, J.; Ona-Nguema, G.; Bassot, S.; Courbet, C.; Guillevic, J. Mononuclear U (IV) complexes and ningyoite as major uranium species in lake sediments. Geochem. Perspect. Lett. 2016, 2, 95–105. [Google Scholar] [CrossRef]
- Phillips, E.J.; Landa, E.R.; Lovley, D.R. Remediation of uranium contaminated soils with bicarbonate extraction and microbial U (VI) reduction. J. Ind. Microbiol. 1995, 14, 203–207. [Google Scholar] [CrossRef]
- Alessi, D.S.; Uster, B.; Veeramani, H.; Suvorova, E.I.; Lezama-Pacheco, J.S.; Stubbs, J.E.; Bargar, J.R.; Bernier-Latmani, R. Quantitative separation of monomeric U(IV) from UO2 in products of U(VI) reduction. Environ. Sci. Technol. 2012, 46, 6150–6157. [Google Scholar] [CrossRef]
- Alessi, D.S.; Lezama-Pacheco, J.S.; Stubbs, J.E.; Janousch, M.; Bargar, J.R.; Persson, P.; Bernier-Latmani, R. The product of microbial uranium reduction includes multiple species with U (IV)–phosphate coordination. Geochim. Cosmochim. Acta 2014, 131, 115–127. [Google Scholar] [CrossRef]
- Bhattacharyya, A.; Campbell, K.M.; Kelly, S.D.; Roebbert, Y.; Weyer, S.; Bernier-Latmani, R.; Borch, T. Biogenic non-crystalline U (IV) revealed as major component in uranium ore deposits. Nat. Commun. 2017, 8, 15538. [Google Scholar] [CrossRef]
- Sharp, J.O.; Lezama-Pacheco, J.S.; Schofield, E.J.; Junier, P.; Ulrich, K.-U.; Chinni, S.; Veeramani, H.; Margot-Roquier, C.; Webb, S.M.; Tebo, B.M. Uranium speciation and stability after reductive immobilization in aquifer sediments. Geochim. Cosmochim. Acta 2011, 75, 6497–6510. [Google Scholar] [CrossRef]
- Pourmand, A.; Dauphas, N.; Ireland, T.J. A novel extraction chromatography and MC-ICP-MS technique for rapid analysis of REE, Sc and Y: Revising CI-chondrite and Post-Archean Australian Shale (PAAS) abundances. Chem. Geol. 2012, 291, 38–54. [Google Scholar] [CrossRef]
- Lawrence, M.G.; Greig, A.; Collerson, K.D.; Kamber, B.S. Rare earth element and yttrium variability in South East Queensland waterways. Aquat. Geochem. 2006, 12, 39–72. [Google Scholar] [CrossRef]
- Lajtha, K.; Marshall, J. Sources of variation in the stable isotopic composition of plants. In Stable Isotopes in Ecology and Environmental Science; Lajtha, K., Michener, R.H., Eds.; Blackwell Scientific Publications: Oxford, UK, 1994; pp. 1–21. [Google Scholar]
- Meyers, P.A. Preservation of elemental and isotopic source identification of sedimentary organic matter. Chem. Geol. 1994, 114, 289–302. [Google Scholar] [CrossRef]
- Cloern, J.E.; Canuel, E.A.; Harris, D. Stable carbon and nitrogen isotope composition of aquatic and terrestrial plants of the San Francisco Bay estuarine system. Limnol. Oceanogr. 2002, 47, 713–729. [Google Scholar] [CrossRef]
- Canfield, D.E.; Boudreau, B.P.; Mucci, A.; Gundersen, J.K. The early diagenetic formation of organic sulfur in the sediments of Mangrove Lake, Bermuda. Geochim. Et Cosmochim. Acta 1998, 62, 767–781. [Google Scholar] [CrossRef]
- Walter, L.M.; Burton, E.A. Dissolution of recent platform carbonate sediments in marine pore fluids. Am. J. Sci. 1990, 290, 601–643. [Google Scholar] [CrossRef]
- Glud, R.N. Oxygen dynamics of marine sediments. Mar. Biol. Res. 2008, 4, 243–289. [Google Scholar] [CrossRef]
- Bau, M.; Dulski, P. Distribution of yttrium and rare-earth elements in the Penge and Kuruman iron-formations, Transvaal Supergroup, South Africa. Precambrian Res. 1996, 79, 37–55. [Google Scholar] [CrossRef]
- Elderfield, H.; Greaves, M.J. The rare earth elements in seawater. Nature 1982, 296, 214–219. [Google Scholar] [CrossRef]
- Tostevin, R.; Shields, G.A.; Tarbuck, G.M.; He, T.; Clarkson, M.O.; Wood, R.A. Effective use of cerium anomalies as a redox proxy in carbonate-dominated marine settings. Chem. Geol. 2016, 438, 146–162. [Google Scholar] [CrossRef]
- Webb, G.E.; Kamber, B.S. Rare earth elements in Holocene reefal microbialites: A new shallow seawater proxy. Geochim. Cosmochim. Acta 2000, 64, 1557–1565. [Google Scholar] [CrossRef]
- Piper, D.Z.; Bau, M. Normalized rare earth elements in water, sediments, and wine: Identifying sources and environmental redox conditions. Am. J. Anal. Chem. 2013, 4, 69. [Google Scholar] [CrossRef]
- Osborne, A.H.; Haley, B.A.; Hathorne, E.C.; Plancherel, Y.; Frank, M. Rare earth element distribution in Caribbean seawater: Continental inputs versus lateral transport of distinct REE compositions in subsurface water masses. Mar. Chem. 2015, 177, 172–183. [Google Scholar] [CrossRef]
- Webb, G.E.; Nothdurft, L.D.; Kamber, B.S.; Kloprogge, J.; ZHAO, J.X. Rare earth element geochemistry of scleractinian coral skeleton during meteoric diagenesis: A sequence through neomorphism of aragonite to calcite. Sedimentology 2009, 56, 1433–1463. [Google Scholar] [CrossRef]
- Liu, X.; Hardisty, D.; Lyons, T.W.; Swart, P. Evaluating the integrity of the cerium paleoredox tracer through analysis of a modern marine carbonate analog. Geochim. Cosmochim. Acta 2018, 248, 25–42. [Google Scholar] [CrossRef]
- Lovley, D.R.; Phillips, E.J.; Gorby, Y.A.; Landa, E.R. Microbial reduction of uranium. Nature 1991, 350, 413. [Google Scholar] [CrossRef]
- McManus, J.; Berelson, W.M.; Klinkhammer, G.P.; Hammond, D.E.; Holm, C. Authigenic uranium: Relationship to oxygen penetration depth and organic carbon rain. Geochim. Cosmochim. Acta 2005, 69, 95–108. [Google Scholar] [CrossRef]
- Dunk, R.; Mills, R.; Jenkins, W. A reevaluation of the oceanic uranium budget for the Holocene. Chem. Geol. 2002, 190, 45–67. [Google Scholar] [CrossRef]
- Chen, X.; Romaniello, S.J.; Herrmann, A.D.; Wasylenki, L.E.; Anbar, A.D. Uranium isotope fractionation during coprecipitation with aragonite and calcite. Geochim. Cosmochim. Acta 2016, 188, 189–207. [Google Scholar] [CrossRef]
- Chen, X.; Romaniello, S.J.; Herrmann, A.D.; Samankassou, E.; Anbar, A.D. Biological effects on uranium isotope fractionation (238U/235U) in primary biogenic carbonates. Geochim. Cosmochim. Acta 2018, 240, 1–10. [Google Scholar] [CrossRef]
- Livermore, B.; Dahl, T.; Bizzarro, M.; Connelly, J. Uranium isotope compositions of biogenic carbonates–Implications for U uptake in shells and the application of the paleo-ocean oxygenation proxy. Geochim. Cosmochim. Acta 2020, 287, 50–64. [Google Scholar] [CrossRef]
- Rolison, J.M.; Stirling, C.H.; Middag, R.; Rijkenberg, M.J. Uranium stable isotope fractionation in the Black Sea: Modern calibration of the 238U/235U paleo-redox proxy. Geochim. Cosmochim. Acta 2017, 203, 69–88. [Google Scholar] [CrossRef]
- Stirling, C.H.; Andersen, M.B.; Potter, E.-K.; Halliday, A.N. Low-temperature isotopic fractionation of uranium. Earth Planet. Sci. Lett. 2007, 264, 208–225. [Google Scholar] [CrossRef]
- Elrick, M.; Polyak, V.; Algeo, T.J.; Romaniello, S.; Asmerom, Y.; Herrmann, A.D.; Anbar, A.D.; Zhao, L.; Chen, Z.-Q. Global-ocean redox variation during the middle-late Permian through Early Triassic based on uranium isotope and Th/U trends of marine carbonates. Geology 2017, 45, 163–166. [Google Scholar] [CrossRef]
- Song, H.; Song, H.; Algeo, T.J.; Tong, J.; Romaniello, S.J.; Zhu, Y.; Chu, D.; Gong, Y.; Anbar, A.D. Uranium and carbon isotopes document global-ocean redox-productivity relationships linked to cooling during the Frasnian-Famennian mass extinction. Geology 2017, 45, 887–890. [Google Scholar] [CrossRef]
- Clarkson, M.O.; Stirling, C.H.; Jenkyns, H.C.; Dickson, A.J.; Porcelli, D.; Moy, C.M.; Pogge von Strandmann, P.A.E.; Cooke, I.R.; Lenton, T.M. Uranium isotope evidence for two episodes of deoxygenation during Oceanic Anoxic Event 2. Proc. Natl. Acad. Sci. USA 2018, 115, 2918–2923. [Google Scholar] [CrossRef] [PubMed]
- Chen, X.; Romaniello, S.J.; Herrmann, A.D.; Hardisty, D.; Gill, B.C.; Anbar, A.D. Diagenetic effects on uranium isotope fractionation in carbonate sediments from the Bahamas. Geochim. Cosmochim. Acta 2018, 237, 294–311. [Google Scholar] [CrossRef]
- Tissot, F.L.; Chen, C.; Go, B.M.; Naziemiec, M.; Healy, G.; Bekker, A.; Swart, P.K.; Dauphas, N. Controls of eustasy and diagenesis on the 238U/235U of carbonates and evolution of the seawater (234U/238U) during the last 1.4 Myr. Geochim. Cosmochim. Acta 2018, 242, 233–265. [Google Scholar] [CrossRef]
- Anbar, A.D. Molybdenum stable isotopes: Observations, interpretations and directions. Rev. Mineral. Geochem. 2004, 55, 429–454. [Google Scholar] [CrossRef]
- Dahl, T.W.; Canfield, D.E.; Rosing, M.T.; Frei, R.E.; Gordon, G.W.; Knoll, A.H.; Anbar, A.D. Molybdenum evidence for expansive sulfidic water masses in~ 750Ma oceans. Earth Planet. Sci. Lett. 2011, 311, 264–274. [Google Scholar] [CrossRef]
- Herrmann, A.D.; Kendall, B.; Algeo, T.J.; Gordon, G.W.; Wasylenki, L.E.; Anbar, A.D. Anomalous molybdenum isotope trends in Upper Pennsylvanian euxinic facies: Significance for use of δ98Mo as a global marine redox proxy. Chem. Geol. 2012, 324, 87–98. [Google Scholar] [CrossRef]
- Siebert, C.; Kramers, J.; Meisel, T.; Morel, P.; Nägler, T.F. PGE, Re-Os, and Mo isotope systematics in Archean and early Proterozoic sedimentary systems as proxies for redox conditions of the early Earth. Geochim. Cosmochim. Acta 2005, 69, 1787–1801. [Google Scholar] [CrossRef]
- Arthur, M.A.; Sageman, B.B. Marine black shales: Depositional mechanisms and environments of ancient deposits. Annu. Rev. Earth Planet. Sci. 1994, 22, 499–551. [Google Scholar] [CrossRef]
- Gordon, G.; Lyons, T.; Arnold, G.L.; Roe, J.; Sageman, B.; Anbar, A. When do black shales tell molybdenum isotope tales? Geology 2009, 37, 535–538. [Google Scholar] [CrossRef]
- Siebert, C.; McManus, J.; Bice, A.; Poulson, R.; Berelson, W.M. Molybdenum isotope signatures in continental margin marine sediments. Earth Planet. Sci. Lett. 2006, 241, 723–733. [Google Scholar] [CrossRef]
- Bura-Nakić, E.; Andersen, M.B.; Archer, C.; de Souza, G.F.; Marguš, M.; Vance, D. Coupled Mo-U abundances and isotopes in a small marine euxinic basin: Constraints on processes in euxinic basins. Geochim. Cosmochim. Acta 2018, 222, 212–229. [Google Scholar] [CrossRef]
- Kendall, B.; Dahl, T.W.; Anbar, A.D. The stable isotope geochemistry of molybdenum. Rev. Mineral. Geochem. 2017, 82, 683–732. [Google Scholar] [CrossRef]
- Chen, X.; Romaniello, S.J.; Anbar, A.D. Preliminary exploration of molybdenum isotope fractionation during coprecipitation of molybdate with abiotic and microbial calcite. Chem. Geol. 2021, 566, 120102. [Google Scholar] [CrossRef]
- Burdige, D.J.; Zimmerman, R.C. Impact of sea grass density on carbonate dissolution in Bahamian sediments. Limnol. Oceanogr. 2002, 47, 1751–1763. [Google Scholar] [CrossRef]
- Erickson, B.E.; Helz, G.R. Molybdenum(VI) speciation in sulfidic waters. Geochim. Cosmochim. Acta 2000, 64, 1149–1158. [Google Scholar] [CrossRef]
- Dahl, T.W.; Anbar, A.D.; Gordon, G.W.; Rosing, M.T.; Frei, R.; Canfield, D.E. The behavior of molybdenum and its isotopes across the chemocline and in the sediments of sulfidic Lake Cadagno, Switzerland. Geochim. Cosmochim. Acta 2010, 74, 144–163. [Google Scholar] [CrossRef]
- Neubert, N.; Nägler, T.F.; Böttcher, M.E. Sulfidity controls molybdenum isotope fractionation into euxinic sediments: Evidence from the modern Black Sea. Geology 2008, 36, 775–778. [Google Scholar] [CrossRef]
- Turekian, K.K.; Wedepohl, K.H. Distribution of the elements in some major units of the earth’s crust. Geol. Soc. Am. Bull. 1961, 72, 175–192. [Google Scholar]







| Sequential Extraction Reagents and Times | |||
|---|---|---|---|
| Chemical Phase | Reagent | Smp:Sol Ratio | Physical Parameters |
| Exchangeable | 1 M sodium bicarbonate | 1:50 | 24 h at room temperature |
| Carbonate | 1 M sodium acetate buffered to pH of 5 with acetic acid followed by 1 M nitric acid | 1:50 (sodium acetate); | 24 h at room temperature (sodium acetate) followed by 1 h at room temperature (nitric) |
| 1:20 (Nitric) | |||
| Oxide | 1 M hydroxylamine hydrochloride in 25% acetic acid | 1:50 | 6 h at 95 °C |
| Organic | 0.02 M nitric acid in 30% hydrogen peroxide | 1:50 | >24 h at 85 °C |
| Residual | Concentrated nitric acid | 1:10 | >24 h at 95 °C |
Disclaimer/Publisher’s Note: The statements, opinions and data contained in all publications are solely those of the individual author(s) and contributor(s) and not of MDPI and/or the editor(s). MDPI and/or the editor(s) disclaim responsibility for any injury to people or property resulting from any ideas, methods, instructions or products referred to in the content. |
© 2023 by the authors. Licensee MDPI, Basel, Switzerland. This article is an open access article distributed under the terms and conditions of the Creative Commons Attribution (CC BY) license (https://creativecommons.org/licenses/by/4.0/).
Share and Cite
Magette, E.; Turner, A.; Peng, Y.; Herrmann, A.D. Syndepositional Uptake of Uranium, Molybdenum and Vanadium into Modern Bahamian Carbonate Sediments during Early Diagenesis. Geosciences 2023, 13, 66. https://doi.org/10.3390/geosciences13030066
Magette E, Turner A, Peng Y, Herrmann AD. Syndepositional Uptake of Uranium, Molybdenum and Vanadium into Modern Bahamian Carbonate Sediments during Early Diagenesis. Geosciences. 2023; 13(3):66. https://doi.org/10.3390/geosciences13030066
Chicago/Turabian StyleMagette, Evan, Adam Turner, Yongbo Peng, and Achim D. Herrmann. 2023. "Syndepositional Uptake of Uranium, Molybdenum and Vanadium into Modern Bahamian Carbonate Sediments during Early Diagenesis" Geosciences 13, no. 3: 66. https://doi.org/10.3390/geosciences13030066
APA StyleMagette, E., Turner, A., Peng, Y., & Herrmann, A. D. (2023). Syndepositional Uptake of Uranium, Molybdenum and Vanadium into Modern Bahamian Carbonate Sediments during Early Diagenesis. Geosciences, 13(3), 66. https://doi.org/10.3390/geosciences13030066
