Simple Summary
Food waste has been negatively impacting the environment, which can harm the human population. Enzymatic digestion is a great way to reuse and recycle food waste, and its product could be used to feed growing-finishing pigs. In this experiment, we investigated the meat quality and the fecal microbiota of pigs fed with enzymatically digested food waste. Results indicate feeding 100% enzymatically digested food waste did not alter the meat quality of finishing pigs in comparison to the pigs fed with traditional corn-soybean meal diet. However, pigs fed with enzymatically digested food waste contained more omega-3 fatty acids (i.e., eicosapentaenoic acid and docosahexaenoic acid) in the back-fat than pigs fed with corn-soybean diet. Moreover, feeding enzymatically digested food waste remarkably impacted fecal microbiome diversity of pigs, particularly increased the relative abundance of Lachnospiraceae family that was suggested to be positively correlated with the concentrations of beneficial fatty acids in the host. In summary, feeding enzymatically digested food waste to growing-finishing pigs not only contributes to the sustainability of agriculture, but also provides more beneficial fatty acids to pork consumers.
Abstract
This experiment aimed to evaluate meat quality, fatty acid profile in back-fat, and fecal microbiota of growing-finishing pigs fed with liquid enzymatically digested food waste. Fifty-six crossbred pigs (approximately 32.99 kg body weight) were assigned to one of two treatments with seven replicate pens and four pigs per pen. Pigs were fed with control (corn-soybean meal diets) or food waste from d 0 to 53, while all pigs were fed with the control diet from d 53 to 79. The 16S rRNA sequencing was used to analyze microbiota of feces collected on d 0, 28, 53, and 79. Meat quality and carcass characteristics were measured in one pig per pen at the end of the experiment. Pigs fed with food waste contained more (p < 0.05) eicosapentaenoic acid (EPA) and docosahexaenoic acid (DHA) in back-fat. Feeding food waste increased (p < 0.05) the relative abundances of Lachnospiraceae and Ruminococcaceae, but decreased (p < 0.05) the relative abundances of Streptococcaceae and Clostridiaceae in feces on d 29 or d 53. In conclusion, feeding enzymatically digested food waste did not affect pork quality, but provided more beneficial fatty acids to pork consumers and altered the fecal microbiota in growing-finishing pigs.
1. Introduction
According to the Food and Agriculture Organization [1], food waste is defined as a safe and nutritious food that has been discarded before human consumption. In 2015, approximately 22% of the U.S. municipal solid waste in landfills was food waste, which exceeded the percentages of other wastes, including paper, plastics, and textiles [2]. The accumulation of food waste in landfills may negatively impact the environment by releasing methane gas [3,4]. Several methods have been widely applied to reduce or recycle food waste, including composting, anaerobic digestion, and enzymatic digestion [5,6,7]. Enzymatic digestion can break down macronutrients (carbohydrates, proteins, and fats) to highly digestible nutrients. The current research focused on the food waste product produced through enzymatic digestion. The detailed procedures of food waste processing have been described in our previously published research [7,8]. Briefly, food waste (fruits, vegetables, meat, and bakery products) collected from local supermarkets were mixed and digested with enzymes, and then pasteurized 30 min at 75 to 77 °C. The final product was verified free of foodborne pathogens and was named enzymatically digested food waste in the current experiment. The chemical composition of enzymatically digested food waste indicated this food waste product contains a balanced amino acid profile for growing pigs [7]. Our previous study has also reported that pigs fed with enzymatically digested food waste had a similar fed efficiency to that pigs fed traditional corn-soybean meal diet [7]. However, carcass characteristics and meat quality of finishing pigs fed with this food waste product were not evaluated.
It has been widely accepted that diets or nutrients have remarkable impacts on the gut microbiota of pigs and human beings in different physiological stages [9,10]. The modification of gut microbes could reversely affect metabolic activities of the hosts [11,12]. However, there are limited research connecting nutrients, gut microbiota, and meat quality of pigs. Yan et al. [13] have stated that fiber (i.e., inulin) supplementation remarkably changed gut bacteria community by increasing the relative abundance of Bacteroides in cecal content of growing pigs. This change may consequently impact the types and concentrations of microbial metabolites, leading to reduced back fat accumulation in pigs [13]. Moreover, it has been recently reported that gut microbiota in obese animals may facilitate fat deposition, impacting body composition and meat quality [14]. In the present experiment, the enzymatically digested food waste contains more fat (30.23% on a dry matter basis), compared with traditional corn and soybean meal diets (approximately 5–6% fat on a dry matter basis) [7]. Therefore, there were two objectives in this study: (1) To evaluate the effects of feeding the enzymatically digested food waste on carcass characteristics and meat quality of finishing pigs; (2) to determine the impacts of feeding food waste on the fecal microbiota of growing-finishing pigs.
2. Materials and Methods
The animal use protocol was reviewed and approved by the Institutional Animal Care and Use Committee (#19322) at the University of California, Davis (UC Davis). The animal trial was conducted at the Swine Teaching and Research Center at UC Davis.
2.1. Animals, Husbandry, Experimental Design, and Dietary Treatments
The detailed procedures for the animal trial have been described in our previously published research [7], including animal husbandry, experimental design, and diets. Briefly, 56 crossbred growing pigs (approximately 32.99 kg initial body weight (BW)) were group housed in 14 concrete pens (2.44 × 3.81 m2) with two barrows and two gilts per pen. Pigs were randomly assigned to one of two treatments (control vs. food waste) with seven replicate pens per treatment. The experimental design was a randomized complete block design with weight within litter as blocks and pen as the experimental unit. Each pen contained a nipple drinker and a dry feeder to allow pigs having free access to water and feed.
The animal trial was conducted 79 days with 28 days as phase 1 (grower diets), 25 days as phase 2 (finisher-1 diets), and 26 days (finisher-2 diet) as phase 3. Pigs were fed either control or food waste diet in phases 1 and 2, and all pigs were fed with the control diet in phase 3. Control diets were formulated based on corn and soybean meal (Table 1). A liquid diet was enzymatically digested food waste supplemented with vitamin-mineral premix and salt. Liquid diet was weekly prepared and provided by California Safe Soil, LLC. (McClellan, CA, USA). All diets met current estimates for nutrient requirements for growing and finishing pigs [15].
Table 1.
Ingredient composition of control diets and liquid feed.
The subsamples of diets were collected weekly and thoroughly mixed with analyzing dry matter (Method 930.15 [16]), crude fat (Method 954.02 [16]), and fatty acid profile by gas-liquid chromatography according to Methods 965.49 and 996.06 [16]. At the conclusion of the animal trial, 14 pigs (1 pig per pen) with BW close to the average BW of the pen were selected and harvested at the Meat Laboratory of UC Davis under the supervision of a federal inspector.
2.2. Carcass Characteristics and Fresh Meat Quality
2.2.1. Hot Carcass Weight (HCW), Estimated Lean, and Back-Fat
The HCW was obtained 45-min postmortem. Carcass yield was calculated by dividing HCW by final live weight. Carcasses were chilled at 4 °C for approximately 24 h. The left side of each chilled carcass was split between the 10th and 11th rib to expose the longissimus muscles (LM) for measuring loin eye area (LEA) and back-fat, according to the procedures described by Little et al. [17]. Back-fat samples were also analyzed for dry matter, crude fat, and fatty acid profile using the same methods described above. Estimated carcass lean was calculated according to the equation from Boler et al. [18]:
Estimated carcass lean, % = [8.588 + (0.465 × HCW, lb.) − (21.896 × 10th rib back-fat, in.) + (3.005 × 10th rib LEA, in.2)] ÷ HCW, lb.
2.2.2. Water Holding Capacity and Objective Tenderness
One random 1.25-cm chop and three slices of 2.54-cm thick chops were excised from the posterior of the 10th rib to analyze drip loss and objective tenderness. To measure drip loss, the chops were placed in individual bags and suspended with a metal hook for 24 h at 4 °C [19]. All chops were weighed before and after suspension to calculate drip-loss as the percentage of weight loss in each chop. The objective tenderness and cook loss were analyzed by following the procedures of the American Meat Science Association [20]. Briefly, the 2.54-cm thick chops were vacuum packaged and frozen at −20 °C until analysis. Prior to analysis, the chops were completely thawed in a cooler at 4 °C for approximately 24 h. Thawed chops were trimmed to 0.3 cm subcutaneous fat and weighed, before cooked on Weber Q 100 Gas Grill (Weber-Stephen Products Co., Palatine, IL, USA). Chops were grilled on one side until they reached an internal temperature of 40 °C, flipped and cooked to a final internal temperature of 71 °C (Fluke 52 K/J Two Channel Digital Thermometer, Fluke Co., Everett, WA, USA). Cooked chops were immediately weighed after cooking to calculate cook loss, which was reported as moisture loss during cooking as a percentage of raw weight. The cooked chops were then chilled overnight at 4 °C. A metal probe was used to remove four cores (1.27 cm diameter) from the center of each chop perpendicular to the muscle fiber, and then the cores were sheared using a Warner-Bratzler Shear Force equipment (WBSF; Salter, G-R Electric, Manhattan, KT, USA). The average WBSF values of four cores were reported for each chop.
2.2.3. Subjective Color, Marbling Score, Firmness Score, pH, and Moisture Content
Subjective color, marbling score, and firmness score were measured according to the standards established by the National Pork Producers Council [21,22]. Objective color of the lean muscle of chops was measured using a portable spectrophotometer (MiniScan EZ 4500L; Hunter Associates Laboratory Inc., Reston, VA, USA) utilizing an illuminant D65 light source, a 10° observer, and an aperture size of 25 mm. The results were expressed as L* (lightness), a* (redness), and b* (yellowness) values. To analyze pH, individual thin chops (~10 g) were placed in a Whirl-Pak bag and homogenized with deionized water in a 1:5 ratio by weight using a masticator (IUL masticator, IUL, S.A., Barcelona, Spain) for 2 min. Ultimate pH of the homogenate was measured with a hand-held pH meter (VWR Benchtop Meters, Radnor, PA, USA; 2 point calibration: pH 4 and 7). To analyze moisture content, 5 g of the sample was trimmed to 0 cm subcutaneous fat, placed into aluminum pans, covered with Whatman #1 filter paper, and oven dried at 110 °C for 24 h. Weight loss was measured to calculate moisture content.
2.3. Carcass Composition
The right sides of the carcasses were chilled approximately 24 h after slaughter, and fabricated. Shoulders and hams were fabricated according to the methods from Little et al. [17] and Boler et al. [18]. The fabricated cuts were weighed to calculate the following:
Lean cutting yield, % = [(trimmed ham, kg + trimmed loin, kg + Boston butt, kg + picnic, kg) ÷ half side chilled carcass weight, kg] × 100
Boneless lean cutting yield, % = [(inside ham, kg + outside ham, kg + knuckle, kg + light butt, kg + shank, kg + Canadian back, kg + tenderloin, kg + sirloin, kg + boneless Boston butt, kg + boneless picnic, kg) ÷ half side chilled carcass weight, kg] × 100
Carcass cutting yield, % = [(trimmed ham, kg + trimmed loin, kg + Boston butt, kg + picnic, kg + trimmed belly, kg) ÷ half side chilled carcass weight, kg] × 100
Boneless carcass cutting yield, % = [(inside ham, kg + outside ham, kg + knuckle, kg + light butt, kg + shank, kg + Canadian back, kg + tenderloin, kg + sirloin, kg + boneless Boston butt, kg + boneless picnic, kg + trimmed belly, kg) ÷ half side chilled carcass weight, kg] × 100
2.4. Fecal Microbiota
Fecal samples were collected from the same pig per pen via anal stimulation at the beginning of the experiment, on d 28, d 53, and d 79. Fresh fecal samples were immediately stored in −80 °C prior to further analysis. Bacterial DNA was extracted from fecal samples using the Quick-DNA Fecal/Soil Microbe Kit (Zymo Research, Irvine, CA, USA) following the manufacturer’s instructions. Extracted bacterial DNA was amplified with PCR, targeting the V4 region of the 16S rRNA gene with primers 515 F (5′-XXXXXXXXGTGTGCCAGCMGCCGCGGTAA-3′) with an 8 bp barcode (X) and Illumina adapter (GT) and 806 R (5′-GGACTACHVGGGTWTCTAAT-3′) [23]. Amplification included thermocycling conditions of 94 °C for 3 min for denaturation, 35 cycles of 94 °C for 45 s, 50 °C for 1 min, 72 °C for 1.5 min, and 72 °C for 10 min (final elongation). To reduce polymerase chain reaction (PCR) bias, each sample was amplified in triplicate. Each PCR reaction included 2 µL of template DNA, 0.5 µL of barcode primer, 0.5 µL (10 µM) of reverse primer, 12.5 µL of GoTaq 2X Green Master Mix (Promega, Madison, WI, USA), and 9.5 µL of nuclease free water. The triplicate PCR products were pooled and subjectively quantified based on the brightness of the bands on a 2% agarose gel with SYBR safe (Invitrogen Co., Carlsbad, CA, USA). All amplicons were then pooled at equal amounts. The pooled library was purified using the QIAquick PCR Purification Kit (Qiagen, Hilden, Germany) and submitted to the UC Davis Genome Center DNA Technologies Core for 250 bp paired-end sequencing on the Illumina MiSeq platform (Illumina, Inc. San Diego, CA, USA).
The software sabre (https://github.com/najoshi/sabre) was used to demultiplex and remove barcodes from raw sequences. Sequences were then imported into Quantitative Insights Into Microbial Ecology 2 (QIIME2; version 2018.6) for downstream filtering and bioinformatics analysis [24,25]. Plugin q2-dada2 [26] was used for quality control and constructing features. Taxonomic classification was assigned using the feature-classifier plugin [27] trained with SILVA rRNA database 99% Operational Taxonomic Units (OTU) (version 132; [28]).
2.5. Statistical Analysis
For all data except for fecal microbiota, normality was verified, and outliers were identified using the UNIVARIATE procedure (SAS Institute Inc., Cary, NC, USA). Data were analyzed by SAS ANOVA using PROC MIXED in a randomized complete block design with pen as the experimental unit. The statistical model included diet as the main effect and blocks (replicate and group) as random effects. Statistical significance and tendency were considered at p < 0.05 and 0.05 ≤ p < 0.10, respectively.
Data visualization and statistical analysis for fecal microbiota were conducted using the R program (version 3.6.1; [29]). Two alpha diversity indices, Chao1 and Shannon, were calculated using the phyloseq package [30]. Beta diversity was calculated based on the Bray-Curtis dissimilarity for principal coordinates analysis (PCoA). The homogeneity of multivariate dispersions was tested by the vegan package [31] using the betadisper function, before the adonis function was used to calculate PERMANOVA with 999 replicate permutations [32]. Pairwise post hoc comparison was performed using the pairwiseAdonis package [33]. Relative abundance was calculated using the phyloseq package and visualized using ggplot2 package in R [34].
3. Results and Discussion
3.1. Carcass Characteristics and Meat Quality
The complete nutrient composition of enzymatically digested food waste, including amino acids, carbohydrates, minerals, and fatty acids profile has been published in Jinno et al. [7]. The data of growth performance was also published in Jinno et al. [7]. In brief summary, growing-finishing pigs fed with food waste diet as the sole ingredient grew slower than pigs fed a corn and soybean meal diet. Pigs in the food waste treatment had lighter final BW than pigs in control, although those pigs had better feed efficiency at the last phase of the experiment. Therefore, the pigs fed with food waste diet had lighter (p = 0.05) ending live weight (Table 2). Pigs fed with food waste also had lower HCW (p < 0.05) than the pigs fed with control. No differences were observed in carcass yield, loin eye area, 10th rib back-fat, and estimated carcass lean.
Table 2.
Carcass characteristics of finishing pigs fed control and enzymatically digested food waste.
No differences were also observed in LM moisture content, shear force values, cook loss, pH, objective color (L*, a*, and b*), subjective color, marbling score, and drip loss between two dietary treatments (Table 3). Pork chops from pigs fed with food waste tended to have lower (p = 0.087) subjective firmness score than those from pigs fed with control. Consistent with ending live weight, the half carcass chilled weight also tended to be lighter (p = 0.054) in pigs fed with food waste, compared with pigs in the control treatment (Table 4). However, no differences were observed in lean cutting yield, boneless lean cutting yield, carcass cutting yield, and boneless carcass cutting yield between two treatments.
Table 3.
Characteristics of longissimus muscle of finishing pigs fed control and enzymatically digested food waste.
Table 4.
Carcass cutability of finishing pigs fed control and enzymatically digested food waste.
There are limited data reporting carcass characteristics, and meat quality of pigs fed diets containing or consisting solely of food waste. Chae et al. [35] and Kjos et al. [36] reported that feeding up to 40% of dried kitchen waste did not affect carcass characteristics of finishing pigs. Westendorf et al. [37] also revealed that feeding cafeteria food waste (22.4% dry matter) had similar pork quality compared with pigs fed corn and soybean meal. However, Choe et al. [38] pointed out that pork from pigs consumed dried food waste collected from South Korean restaurants had greater L* and b* values, indicating a brighter and yellower appearance. In the same study, a higher drip loss was also detected in the pork from pigs fed with dried food waste [38]. The authors [38] explained this pale, soft, and exudative meat was likely due to the lower ultimate LM pH in pork from pigs fed with food waste [39,40]. Considering the high fat concentration in the enzymatically digested food waste, pigs in the present study were only fed the food waste diet at growing and early finishing stages (phases 1 and 2) to avoid soft fat in pork. Feeding food waste to growing-finishing pigs did not affect carcass characteristics, LM quality, and carcass cutability, in comparison to feeding corn and soybean meal. Those observations are consistent with the majority of published research described above. Thus, feeding food waste containing high fat did not negatively impact the meat quality of finishing pigs if they were only fed at growing and early finishing periods.
3.2. Back-Fat Composition and Fatty Acids Profile
Dietary lipids are important energy sources for animal maintenance, growth, and production. Thus, increasing the concentration of dietary fat/lipids is a practical method to enhance the growth rate and feed efficiency of pigs [41]. However, adding fat to diets may also increase carcass fatness and reduce carcass leanness [42]. In the present study, no differences were observed in moisture and crude fat content in the back-fat of pigs between control and food waste treatments (Table 5). In combination with the results of estimated carcass lean percentage described above, the findings of this study indicate feeding enzymatically digested food waste in growing, and early finishing stages did not increase carcass fatness.
Table 5.
Back-fat chemical composition and fatty acid profile of finishing pigs fed control and enzymatically digested food waste.
Feeding food waste as the sole diet significantly (p < 0.05) impacted the fatty acid profile of back-fat, although all pigs were fed control in the last phase of this experiment (Table 5). The back-fat in pigs fed with food waste had greater (p < 0.05) concentration of pentadecylic acid, margaric acid, myristoleic acid, palmitoleic acid, oleic acid, vaccenic acid, gondoic acid, eicosapentaenoic acid (EPA), and docosahexaenoic acid (DHA), compared with the back-fat of pigs in the control group. However, pigs fed with food waste contained less (p < 0.05) palmitic acid, arachidic acid, linoleic acid, linolenic acid, and eicosadienoic acid in back-fat, compared with pigs fed control diet. Control diets contained 16.81% to 16.95% of saturated fatty acids and 81.53 to 82.12% of unsaturated fatty acids in overall crude fat. Food waste diet contained 36.36% of saturated fatty acids and 54.61% of unsaturated fatty acids in overall crude fat. However, control pigs contained more (p < 0.05) saturated fatty acids (30.64 vs. 27.25%) in their back-fat than pigs fed with food waste diet. There was no difference in the concentration of total unsaturated fatty acids in the back-fat of pigs fed different diets.
Fatty acids accumulated in pork fat can be obtained from direct absorption of fatty acids from the diet and from de novo lipogenesis of non-lipid substrates. In the finishing phase, at least half of the daily lipid deposition is associated with de novo lipogenesis when pigs were fed with a typical corn and soybean meal diet [43]. The increased de novo lipogenesis may affect fatty acid compositions in pork fat by increasing the proportion of saturated fatty acids in pork fat [44]. In addition, it has been reported that increased dietary fat content and dietary palmitic acid concentration could inhibit de novo lipogenesis in pigs [45,46]. Therefore, (1) the greater amount of saturated fatty acids in back-fat of pigs fed with the control diet occurred, due to de novo lipogenesis of glucose liberated from corn starch, and (2) pigs fed with food waste may have had more dietary fatty acids deposited to pork fat. This is also the likely reason for the increased palmitic acid in back-fat of pigs fed with the control diets.
As discussed above, the dietary fatty acid composition could partially reflect the fatty acid profile in pork fat, and vice versa. The food waste diet was produced by enzymatically digesting supermarket food wastes, which included approximately 20% of meat from livestock or fish. Thus, the back-fat in pigs fed with food waste diet were composed of more monosaturated fatty acids and polyunsaturated fatty acids, including oleic acid, EPA, and DHA than pigs in control. Although there are apparent health benefits with consumption of polyunsaturated fatty acids, the greater degree of unsaturation of fatty acids in meat may also increase lipid peroxidation [47,48,49]. In the present study, pigs provided food waste had a greater concentration of monounsaturated fatty acids, DHA, and EPA, but less total polyunsaturated fatty acids than pigs fed with corn and soybean meal diet. It has been reported that linoleic acid greater than 15% of total fat may result in soft fat in pork [50]. Results of our work revealed that fat in pigs fed with food waste diet contained much lower linoleic acid (15.08 vs. 19.51%) compared with pigs fed with the control diet. Therefore, current results suggested that feeding food waste had the potential to enhance beneficial fatty acid content in pork.
3.3. Fecal Microbiota
Alpha diversity indices of fecal microbiota are shown in Figure 1. Chao1 and Shannon indices of fecal microbiota were decreased (p < 0.05) from d 0 to d 28 and plateaued throughout the feeding program when pigs fed with the control diet. However, Chao1 index of fecal microbiota was the greatest (p < 0.05) on d 28, but the lowest (p < 0.05) on d 79 for pigs fed with food waste. Shannon index of fecal microbiota was increased (p < 0.05) on d 28 then remained stable on d 53, but reduced (p < 0.05) in fecal samples on d 79 when pigs were fed with food waste. Chao1 index measures microbial population richness and Shannon index measures microbial diversity (richness and evenness) of fecal microbiota [51,52]. Results of alpha diversity indicated that feeding enzymatically digested food waste increased the richness and evenness of microbial community in feces.
Figure 1.
Pig fecal alpha diversity as indicated by Chao1 (A) and Shannon (B). For Chao1 index, Diet, p < 0.001; Day, p = 0.20; Diet × day, p < 0.05. For Shannon index, Diet, p < 0.001; Day, p < 0.05; Diet × day, p < 0.01. a–e Means without a common superscript are different (p < 0.05).
Total reads were filtered to remove the bacterial phyla with low prevalence and abundance, and taxa present in less than 50% of the samples. A total of 797,905 qualified reads were obtained with a mean of 13,259 reads per sample. Interactive effect of diet and day was observed in the overall bacterial composition (Adonis, p < 0.05) with statistically no heterogeneous dispersion (Betadisper, df = 7, F = 0.9621, p = 0.4693). Differences were observed in the bacterial composition at phyla level of fecal microbiota between control and food waste on d 28 (Pairwise-Adonis, R2 = 0.44, p < 0.05) and d 53 (Pairwise-Adonis, R2 = 0.32, p < 0.05). Pigs fed with food waste formed separate clusters from pigs fed with control (Figure 2). This observation indicated that bacterial composition was altered when pigs were fed with enzymatically digested food waste. However, all pigs were clustered together on d 79, indicating pigs in the food waste treatment had similar fecal bacterial composition compared with pigs in the control treatment at the end of the experiment.
Figure 2.
Beta diversity of dietary treatments and different phases were analyzed by principal coordinate analysis (PCoA) based on the Bray-Curtis dissimilarity. Symbols indicate dietary treatments and colors indicate different dates.
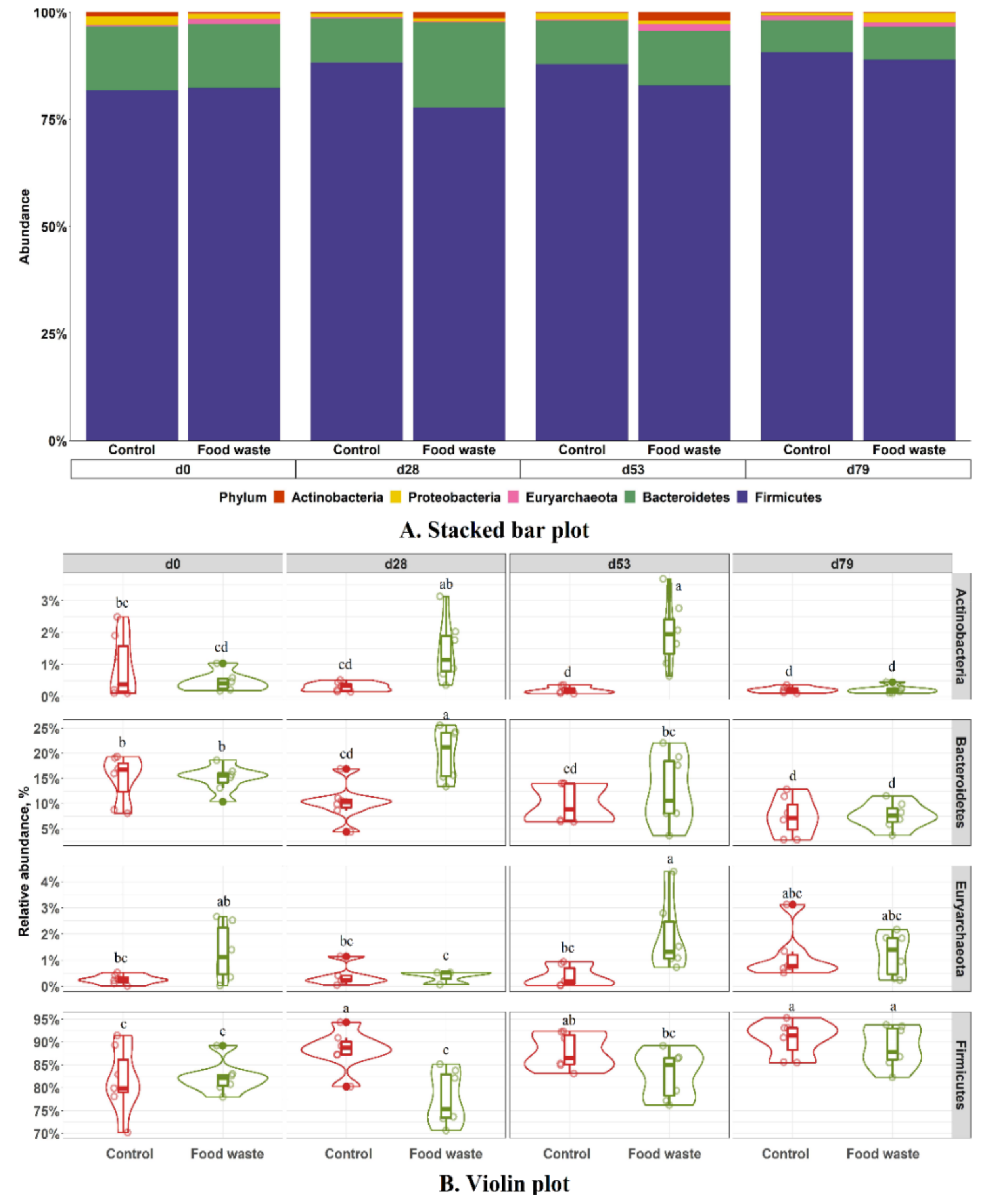
The three dominant phyla in fecal microbiota were Firmicutes, Bacteroidetes, and Proteobacteria, regardless of treatments and dates (Figure 3). No difference was observed in the relative abundances of Proteobacteria between control and food waste treatments. However, pigs fed with food waste had lower (p < 0.05) relative abundance of Firmicutes, but higher (p < 0.05) relative abundance of Bacteroidetes than pigs in control on d 28. No difference was observed in the relative abundance of those two phyla on d 0, 53, and 79. The relative abundance of Euryarchaeota was higher (p < 0.05) on d 53, and the relative abundance of Actinobacteria was higher (p < 0.05) on d 28 and 53 in fecal samples collected from pigs fed with food waste than pigs in control. The increase in the relative abundance of Actinobacteria was most likely due to the high fiber content of food waste diet (84.2 g/kg acid detergent fiber), compared with the control diets (44.5 and 47.0 g/kg acid detergent fiber in phases 1 and 2, respectively). This result was consistent with gut microbiota changes in humans when a high fiber diet was consumed [53]. No difference was observed in Firmicutes to Bacteroidetes ratio between two dietary treatments, but the ratio was increased (p < 0.05) as the age of animal was increased (Figure 4). The Firmicutes to Bacteroidetes ratio has been consistently reported as an important microbial marker for obesity in human studies, as the ratio is increased in obese people compared with lean people [54,55]. Therefore, the increased Firmicutes to Bacteroidetes ratio in feces was likely associated with the enhanced fat accumulation in the body as the age of pigs increased.
Figure 3.
Stacked bar plot showing the relative abundance of bacterial phyla in feces of pigs fed with the control diet or food waste diet (A). Violin plot showing the relative abundance of individual bacterial phylum in feces of pigs (B). Diet, p < 0.05; Day, p < 0.05; Diet × day, p < 0.05. a–d Means without a common superscript are different (p < 0.05).
Figure 4.
Firmicutes to Bacteroidetes abundance ratio in fecal samples of growing-finishing pigs fed with control or food waste diet. a–c Least square means without a common superscript are different (p < 0.05).
Within the Firmicutes at the family level, feeding enzymatically digested food waste increased (p < 0.05) the relative abundances of Acidaminococcaceae (0.75% vs. 0.22%), Lachnospiraceae (41.68% vs. 17.30%), and Ruminococcaceae (26.71% vs. 11.38%), but decreased (p < 0.05) the relative abundances of Clostridiaceae (5.90% vs. 21.06%), Lactobacillaceae (1.66% vs. 5.53%), and Strepococcaceae (5.36% vs. 19.95%) in pig fecal samples collected on d 28 (Figure 5). Feeding enzymatically digested food waste also increased (p < 0.05) the relative abundances of Lachnospiraceae (23.92% vs. 10.60%) and Peptostreptococcaceae (28.86% vs. 16.77%) and decreased (p < 0.05) the relative abundances of Clostridiaceae (22.80% vs. 32.45%) and Strepococcaceae (0.11% vs. 15.24%) in pig fecal samples collected on d 53, compared with control.
Figure 5.
Stacked bar plot of relative abundance of Firmicutes family in feces of pigs fed with the control diet or food waste diet (A). Violin plot showing the relative abundance of selected individual Firmicutes family in feces of pigs (B). Diet, p < 0.05; Day, p < 0.05; Diet × day, p < 0.05. a–e Means without a common superscript are different (p < 0.05).
Growing evidence indicates the significant impacts of nutrients on gut microbiota in pigs and in humans [9,10]. However, many other internal and external factors may affect gut microbiota diversity as well, such as animal health status, environment, genetics, etc. In the current study, two major differences existed between the two treatments, including nutrient compositions and diet form. The control diets were a solid diet based on corn and soybean meal, whereas, food waste diet was liquid with a relatively high concentration of fat. Thus, it was highly possible that these two external factors had co-founding effects on the gut microbiota of growing-finishing pigs, which needs to be investigated in future research. To our knowledge, there was no research exploring the impacts of liquid feeding on gut microbiota of growing pigs. The following discussion mainly focused on the impacts of nutrients in experimental diets on gut microbiota. Results in the current study were in close agreement with the findings reported in few published research with adult humans and rats [56,57,58]. For instance, a rat study reported by Zhao et al. [56] demonstrated that high fat diet (45% fat) suppressed the relative abundance of Lachnospiraceae and Acidaminococcaceae in fecal contents of rats, compared with normal fat diet (10% fat). A reduced relative abundance of Lactobacillaceae and an increased relative abundance of Ruminococcaceae was also observed in the feces of rats fed with high fat (43% fat) diet, compared with rats fed with normal diet (12% fat) [57]. In addition, Costantini et al. [58] revealed that feeding omega-3 fatty acids increased abundance of the Lachnospiraceae members. Therefore, the increased relative abundance of Lachnospiraceae in feces that was observed in this study was likely due to the relatively high concentration of EPA and DHA in food waste.
Limited research has been reported on the impacts of food waste on the gut microbiome of pigs, in particular, in the growing and finishing stages. Results from the current experiment indicated that the nutrient composition (high fat) in a complete feed has significant effects on the gut microbiome of growing-finishing pigs. More research is needed to decipher the interactions between nutrients and the gut microbiome and their potential regulatory roles in animal health and overall production. Interestingly, the differences of fecal microbiota between treatments disappeared, when all pigs were switched to control diet in the last phase of the experiment. This observation also confirmed that nutrients play huge roles in regulating gut microbiota diversity. This was also the likely reason that feeding enzymatically digested food waste in growing, and early finishing stages did not affect meat quality and carcass characteristics of finishing pigs.
4. Conclusions
Feeding enzymatically digested food waste to growing and early finishing pigs did not affect meat quality, but did change the back-fat fatty acid profile. There were more beneficial fatty acids, such as EPA and DHA, in back-fat of pigs fed food waste diet. The shelf-life of pork from pigs fed food waste should be further investigated because the increased amount of EPA and DHA may affect the shelf life of pork by changing the rate of lipid oxidation. Feeding enzymatically digested food waste also modified the fecal microbiota of growing-finishing pigs. Changes in fecal microbiota are most likely due to the differences in nutrient compositions of diets containing food waste and corn-soybean meal. Future studies are warranted to further analyze the fecal microbiome of growing pigs, and probably extending to weaned pigs when they are fed with enzymatically digested food waste as dry form.
Author Contributions
Conceptualization, Y.L. and A.K.; methodology, C.J., E.A.M., X.Y., Y.L.; software, P.S., C.J., Y.L.; validation, Y.L.; formal analysis, C.J. and Y.L.; investigation, Y.L.; resources, D.M., S.Z., X.Y. and Y.L.; data curation, C.J. and Y.L.; writing—original draft preparation, C.J. and Y.L.; writing—Review and editing, C.J., P.S., E.A.M., A.K., D.M., S.Z., X.Y., and Y.L.; visualization, C.J.; supervision, Y.L.; project administration, Y.L.
Funding
This research received no external funding.
Acknowledgments
We thank Swine Facility Manager, Aaron G. Prinz, and Meat Laboratory Manager, Caleb Sehnert, for their assistance in completing this research.
Conflicts of Interest
The authors declare no conflict of interest.
References
- FAO. What is Food Loss and Food Waste? Available online: http://www.fao.org/food-loss-and-food-waste/en/ (accessed on 5 April 2019).
- US EPA. National Overview: Facts and Figures on Materials, Wastes and Recycling. Available online: https://www.epa.gov/facts-and-figures-about-materials-waste-and-recycling/national-overview-facts-and-figures-materials (accessed on 18 April 2019).
- Bingemer, H.G.; Crutzen, P.J. The production of methane from solid wastes. J. Geophys. Res. Atmos. 1987, 92, 2181–2187. [Google Scholar] [CrossRef]
- Gunders, D.; Bloom, J. Wasted: How America is Losing up to 40 Percent of its Food from Farm to Fork to Landfill; Natural Resources Defense Council: New York, NY, USA, 2017. [Google Scholar]
- Kim, J.-D.; Park, J.-S.; In, B.-H.; Kim, D.; Namkoong, W. Evaluation of pilot-scale in vessel composting for food waste treatment. J. Hazard. Mater. 2008, 154, 272–277. [Google Scholar] [CrossRef] [PubMed]
- Xu, C.; Shi, W.; Hong, J.; Zhang, F.; Chen, W. Life cycle assessment of food waste-based biogas generation. Renew. Sust. Energ. Rev. 2015, 49, 169–177. [Google Scholar] [CrossRef]
- Jinno, C.; He, Y.; Morash, D.; McNamara, E.; Zicari, S.; King, A.; Stein, H.H.; Liu, Y. Enzymatic digestion turns food waste into feed for growing pigs. Anim. Feed Sci. Technol. 2018, 242, 48–58. [Google Scholar] [CrossRef]
- Pandey, P.; Lejeune, M.; Biswas, S.; Morash, D.; Weimer, B.; Young, G. A new method for converting foodwaste into pathogen free soil amendment for enhancing agricultural sustainability. J. Clean. Prod. 2018, 112, 205–213. [Google Scholar] [CrossRef]
- Frese, S.A.; Parker, K.; Calvert, C.C.; Mills, D.A. Diet shapes the gut microbiome of pigs during nursing and weaning. Microbiome 2015, 3, 28–37. [Google Scholar] [CrossRef]
- Muegge, B.D.; Kuczynski, J.; Knights, D.; Clemente, J.C.; González, A.; Fontana, L.; Henrissat, B.; Knight, R.; Gordon, J.I. Diet drives convergence in gut microbiome functions across mammalian phylogeny and within humans. Science 2011, 332, 970–974. [Google Scholar] [CrossRef]
- Bäckhed, F.; Ding, H.; Wang, T.; Hooper, L.V.; Koh, G.Y.; Nagy, A.; Semenkovich, C.F.; Gordon, J.I. The gut microbiota as an environmental factor that regulates fat storage. Proc. Natl. Acad. Sci. USA 2004, 101, 15718–15723. [Google Scholar] [CrossRef]
- Pedersen, H.K.; Gudmundsdottir, V.; Nielsen, H.B.; Hyotylainen, T.; Nielsen, T.; Jensen, B.A.H.; Forslund, K.; Hildebrand, F.; Prifti, E.; Falony, G.; et al. Human gut microbes impact host serum metabolome and insulin sensitivity. Nature 2016, 535, 376–381. [Google Scholar] [CrossRef]
- Yan, H.; Potu, R.; Lu, H.; Almeida, V.V. de; Stewart, T.; Ragland, D.; Armstrong, A.; Adeola, O.; Nakatsu, C.H.; Ajuwon, K.M. Dietary fat content and fiber type modulate hind gut microbial community and metabolic markers in the pig. PLoS ONE 2013, 8, e59581. [Google Scholar] [CrossRef]
- Yang, H.; Xiang, Y.; Robinson, K.; Wang, J.; Zhang, G.; Zhao, J.; Xiao, Y. Gut microbiota is a major contributor to adiposity in pigs. Front. Microbiol. 2018, 9, 3045–3057. [Google Scholar] [CrossRef] [PubMed]
- National Research Council, Division on Earth and Life Studies, Board on Agriculture and Natural Resources, Committee on Nutrient Requirements of Swine. Nutrient Requirements of Swine, Eleventh Revised Edition; National Academic Press: Washington, DC, USA, 2012; ISBN 978-0-309-22423-9. [Google Scholar]
- AOAC. International Official Methods of Analysis of AOAC; AOAC: Gaithersburg, MD, USA, 2007. [Google Scholar]
- Little, K.L.; Bohrer, B.M.; Maison, T.; Liu, Y.; Stein, H.H.; Boler, D.D. Effects of feeding canola meal from high-protein or conventional varieties of canola seeds on growth performance, carcass characteristics, and cutability of pigs. J. Anim. Sci. 2015, 93, 1284–1297. [Google Scholar] [CrossRef] [PubMed]
- Boler, D.; Holmer, S.; Duncan, D.; Carr, S.; Ritter, M.; Stites, C.; Petry, D.; Hinson, R.; Allee, G.; McKeith, F. Fresh meat and further processing characteristics of ham muscles from finishing pigs fed ractopamine hydrochloride. J. Anim. Sci. 2011, 89, 210–220. [Google Scholar] [CrossRef] [PubMed]
- Leick, C.M.; Puls, C.L.; Ellis, M.; Killefer, J.; Carr, T.R.; Scramlin, S.M.; England, M.B.; Gaines, A.M.; Wolter, B.F.; Carr, S.N. Effect of distillers dried grains with solubles and ractopamine (Paylean) on quality and shelf-life of fresh pork and bacon. J. Anim. Sci. 2010, 88, 2751–2766. [Google Scholar] [CrossRef] [PubMed]
- National Live Stock Meat Board. Research Guidelines for Cookery, Sensory Evaluation, and Instrumental Tenderness Measurements of Fresh Meat; American Meat Science Association: Savoy, IL, USA, 1995; ISBN 0-88700-018-5. [Google Scholar]
- NPPC. Procedures to Evaluate Market Hogs, 3rd ed.; Pork Producers Council: Des Moines, IA, USA, 1991. [Google Scholar]
- NPPC. Pork Quality Standards; National Pork Producers Council: Des Moines, IA, USA, 1999. [Google Scholar]
- Caporaso, J.G.; Lauber, C.L.; Walters, W.A.; Berg-Lyons, D.; Huntley, J.; Fierer, N.; Owens, S.M.; Betley, J.; Fraser, L.; Bauer, M.; et al. Ultra-high-throughput microbial community analysis on the Illumina HiSeq and MiSeq platforms. ISME J. 2012, 6, 1621–1624. [Google Scholar] [CrossRef] [PubMed]
- Bolyen, E.; Rideout, J.R.; Dillon, M.R.; Bokulich, N.A.; Abnet, C.; Al-Ghalith, G.A.; Alexander, H.; Alm, E.J.; Arumugam, M.; Asnicar, F. QIIME 2: Reproducible, Interactive, Scalable, and Extensible Microbiome Data Science; PeerJ Preprints: Corte Madera, CA, USA, 2018. [Google Scholar]
- Caporaso, J.G.; Kuczynski, J.; Stombaugh, J.; Bittinger, K.; Bushman, F.D.; Costello, E.K.; Fierer, N.; Peña, A.G.; Goodrich, J.K.; Gordon, J.I.; et al. QIIME allows analysis of high-throughput community sequencing data. Nat. Methods 2010, 7, 335–336. [Google Scholar] [CrossRef]
- Callahan, B.J.; McMurdie, P.J.; Rosen, M.J.; Han, A.W.; Johnson, A.J.A.; Holmes, S.P. DADA2: High resolution sample inference from Illumina amplicon data. Nat. Methods 2016, 13, 581–583. [Google Scholar] [CrossRef]
- Bokulich, N.A.; Kaehler, B.D.; Rideout, J.R.; Dillon, M.; Bolyen, E.; Knight, R.; Huttley, G.A.; Gregory Caporaso, J. Optimizing taxonomic classification of marker-gene amplicon sequences with QIIME 2’s q2-feature-classifier plugin. Microbiome 2018, 6, 90–106. [Google Scholar] [CrossRef]
- Quast, C.; Pruesse, E.; Yilmaz, P.; Gerken, J.; Schweer, T.; Yarza, P.; Peplies, J.; Glöckner, F.O. The SILVA ribosomal RNA gene database project: Improved data processing and web-based tools. Nucleic Acids Res. 2013, 41, D590–D596. [Google Scholar] [CrossRef]
- Team, R.C. R: A language and environment for statistical computing; R Foundation for statistical computing: Vienna, Austria, 2019. [Google Scholar]
- McMurdie, P.J.; Holmes, S. phyloseq: An R package for reproducible interactive analysis and graphics of microbiome census data. PLoS ONE 2013, 8, e61217. [Google Scholar] [CrossRef]
- Oksanen, J.; Blanchet, F.G.; Kindt, R.; Legendre, P.; Minchin, P.R.; O’hara, R.B.; Simpson, G.L.; Solymos, P.; Stevens, M.H.H.; Wagner, H. Package ‘Vegan.’ Community Ecology Package Version; R Foundation: Vienna, Austria, 2013. [Google Scholar]
- Anderson, M.J. Distance-based tests for homogeneity of multivariate dispersions. Biometrics 2006, 62, 245–253. [Google Scholar] [CrossRef] [PubMed]
- Martinez Arbizu, P. PairwiseAdonis: Pairwise Multilevel Comparison Using Adonis. R Package Version 00; R Foundation: Vienna, Austria, 2017. [Google Scholar]
- Wickham, H. Ggplot2: Elegant Graphics for Data Analysis; Springer: Berlin, Germany, 2016; ISBN 3-319-24277-6. [Google Scholar]
- Chae, B.J.; Choi, S.C.; Kim, Y.G.; Kim, C.H.; Sohn, K.S. Effects of feeding dried food waste on growth and nutrient digestibility in growing-finishing pigs. Asian Australas. J. Anim. Sci. 2000, 13, 1304–1308. [Google Scholar] [CrossRef]
- Kjos, N.P.; Øverland, M.; Bryhni, E.A.; SØrheim, O. Food waste products in diets for growing-finishing pigs: Effect on growth performance, carcass characteristics and meat quality. Acta Agric. Scand. Sect. Anim. Sci. 2000, 50, 193–204. [Google Scholar] [CrossRef]
- Westendorf, M.L.; Dong, Z.C.; Schoknecht, P.A. Recycled cafeteria food waste as a feed for swine: Nutrient content digestibility, growth, and meat quality. J. Anim. Sci. 1998, 76, 2976–2983. [Google Scholar] [CrossRef] [PubMed]
- Choe, J.; Moyo, K.M.; Park, K.; Jeong, J.; Kim, H.; Ryu, Y.; Kim, J.; Kim, J.; Lee, S.; Go, G. Meat quality traits of pigs finished on food waste. Korean J. Food Sci. Anim. Resour. 2017, 37, 690–697. [Google Scholar] [CrossRef]
- Apple, J.; Kegley, E.; Maxwell, C., Jr.; Rakes, L.; Galloway, D.; Wistuba, T. Effects of dietary magnesium and short-duration transportation on stress response, postmortem muscle metabolism, and meat quality of finishing swine. J. Anim. Sci. 2005, 83, 1633–1645. [Google Scholar] [CrossRef]
- Ryu, Y.C.; Kim, B.C. The relationship between muscle fiber characteristics, postmortem metabolic rate, and meat quality of pig longissimus dorsi muscle. Meat Sci. 2005, 71, 351–357. [Google Scholar] [CrossRef]
- Liu, Y.; Kil, D.Y.; Perez-Mendoza, V.G.; Song, M.; Pettigrew, J.E. Supplementation of different fat sources affects growth performance and carcass composition of finishing pigs. J. Anim. Sci. Biotechnol. 2018, 9, 56–63. [Google Scholar] [CrossRef]
- Pettigrew, J.; Moser, R.; Miller, E.; Ullrey, D.; Lewis, A. Swine nutrition. Fat Swine Nutr. 1991, 133–145. [Google Scholar]
- Azain, M. Fat in swine nutrition. Swine Nutr. 2001, 2, 95–105. [Google Scholar]
- Lampe, J.F.; Baas, T.J.; Mabry, J.W. Comparison of grain sources for swine diets and their effect on meat and fat quality traits. J. Anim. Sci. 2006, 84, 1022–1029. [Google Scholar] [CrossRef] [PubMed]
- Allee, G.L.; Baker, D.H.; Leveille, G.A. Influence of level of dietary fat on adipose tissue lipogenesis and enzymatic activity in the pig. J. Anim. Sci. 1971, 33, 1248–1254. [Google Scholar] [CrossRef] [PubMed]
- Smith, D.R.; Knabe, D.A.; Smith, S.B. Depression of lipogenesis in swine adipose tissue by specific dietary fatty acids. J. Anim. Sci. 1996, 74, 975–983. [Google Scholar] [CrossRef] [PubMed]
- Mitchaothai, J.; Yuangklang, C.; Wittayakun, S.; Vasupen, K.; Wongsutthavas, S.; Srenanul, P.; Hovenier, R.; Everts, H.; Beynen, A.C. Effect of dietary fat type on meat quality and fatty acid composition of various tissues in growing-finishing swine. Meat Sci. 2007, 76, 95–101. [Google Scholar] [CrossRef]
- Rezar, V.; Pajk, T.; Marinsek Logar, R.; Jese Janezic, V.; Salobir, K.; Oresnik, A.; Salobir, J. Wheat bran and oat bran effectively reduce oxidative stress induced by high-fat diets in pigs. Ann. Nutr. Metab. 2003, 47, 78–84. [Google Scholar] [CrossRef]
- Tao, L. Oxidation of polyunsaturated fatty acids and its impact on food quality and human health. Adv. Food Technol. Nutr. Sci. Open J. 2015, 1, 135–142. [Google Scholar] [CrossRef]
- Whittington, F.M.; Prescott, N.J.; Wood, J.D.; Enser, M. The effect of dietary linoleic acid on the firmness of backfat in pigs of 85 kg live weight. J. Sci. Food Agric. 1986, 37, 753–761. [Google Scholar] [CrossRef]
- Chao, A. Nonparametric estimation of the number of classes in a population. Scand. J. Stat. 1984, 265–270. [Google Scholar]
- Shannon, C.E. A mathematical theory of communication. Bell Syst. Tech. J. 1948, 27, 379–423. [Google Scholar] [CrossRef]
- Dominianni, C.; Sinha, R.; Goedert, J.J.; Pei, Z.; Yang, L.; Hayes, R.B.; Ahn, J. Sex, body mass index, and dietary fiber intake influence the human gut microbiome. PLoS ONE 2015, 10, e0124599. [Google Scholar] [CrossRef]
- Mathur, R.; Barlow, G.M. Obesity and the microbiome. Expert Rev. Gastroenterol. Hepatol. 2015, 9, 1087–1099. [Google Scholar] [CrossRef] [PubMed]
- Barlow, G.M.; Yu, A.; Mathur, R. Role of the gut microbiome in obesity and diabetes mellitus. Nutr. Clin. Pract. 2015, 30, 787–797. [Google Scholar] [CrossRef] [PubMed]
- Zhao, L.; Zhang, Q.; Ma, W.; Tian, F.; Shen, H.; Zhou, M. A combination of quercetin and resveratrol reduces obesity in high-fat diet-fed rats by modulation of gut microbiota. Food Funct. 2017, 8, 4644–4656. [Google Scholar] [CrossRef] [PubMed]
- Lecomte, V.; Kakkoush, N.O.; Maloney, C.A.; Ralpuria, M.; Huinao, K.D.; Mitchell, H.M.; Morris, M.J. Changes in gut microbiota in rats fed a high fat diet correlate with obesity-associated metabolic parameters. PLoS ONE 2015, 10, e0126931. [Google Scholar] [CrossRef]
- Costantini, L.; Molinari, R.; Farinon, B.; Merendino, N. Impact of omega-3 fatty acids on the gut microbiota. Int. J. Mol. Sci. 2017, 18, 2645–2662. [Google Scholar] [CrossRef]
© 2019 by the authors. Licensee MDPI, Basel, Switzerland. This article is an open access article distributed under the terms and conditions of the Creative Commons Attribution (CC BY) license (http://creativecommons.org/licenses/by/4.0/).




