Geostatistical Analysis of the Variability in Sthenoteuthis oualaniensis Fishing Grounds in the Northwestern Indian Ocean High Seas
Simple Summary
Abstract
1. Introduction
2. Materials and Methods
2.1. Data Sources, Pre-Processing, and Fishing Ground Area
2.2. Global Spatial Autocorrelation
2.3. Local Spatial Autocorrelation
2.4. Migration Trajectory of the Center of Gravity and Standard Deviation Ellipse Analysis
2.5. GAM Analysis
3. Results and Analysis
3.1. Changes in Catch
3.2. Environmental Factor Contributions
3.3. Global Spatial Autocorrelation and Descriptive Statistics
3.4. Hotspot and Coldspot Distribution
3.5. Analysis of GAM Results
3.5.1. GAM Diagnostics
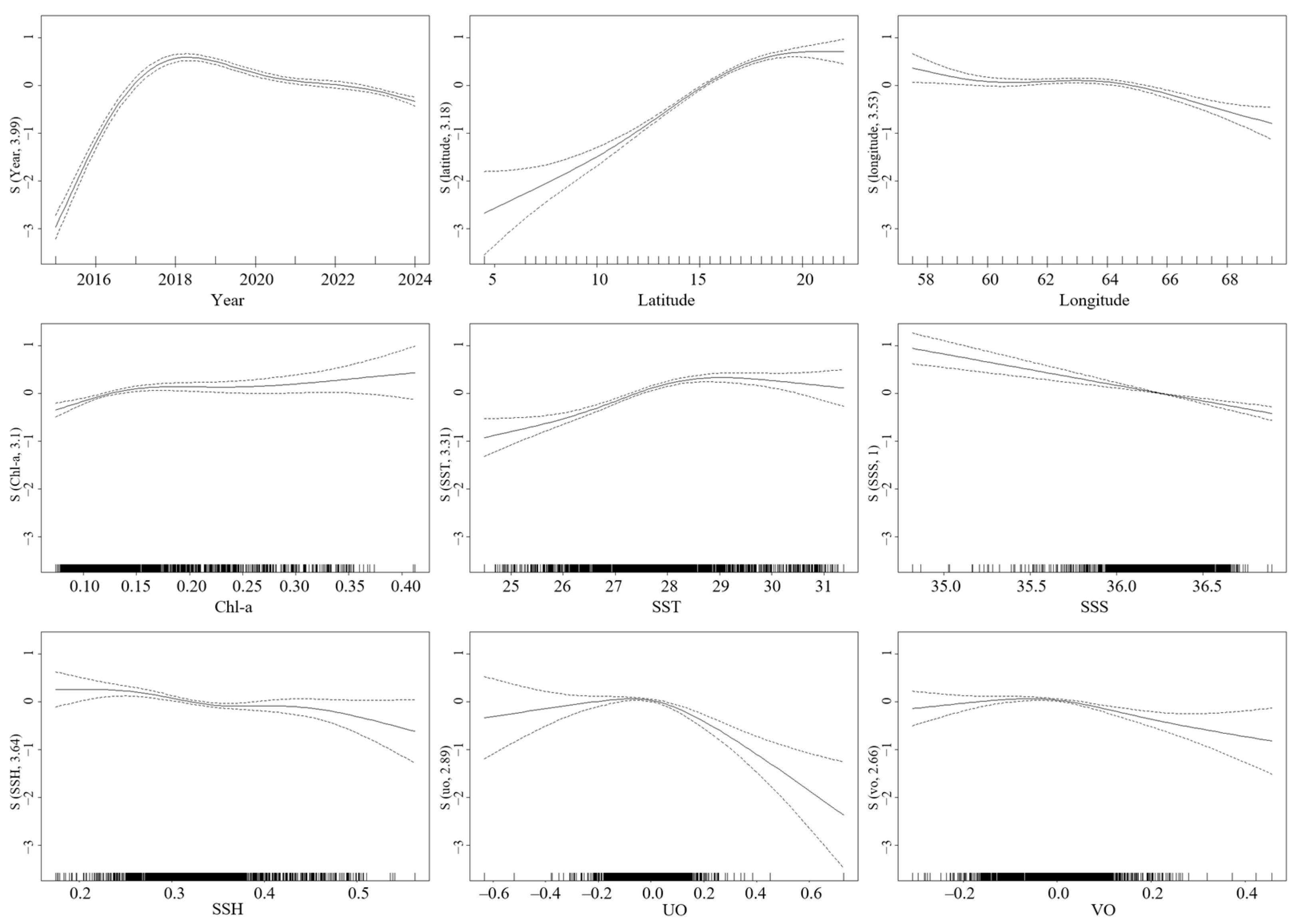
3.5.2. Relationship Between CPUE and Environmental/Spatiotemporal Factors
4. Discussion
4.1. Spatiotemporal Distribution Characteristics of S. oualaniensis Resources
4.2. Analysis of Fishing Ground Variability
4.3. Autocorrelation Analysis
5. Conclusions
Author Contributions
Funding
Institutional Review Board Statement
Informed Consent Statement
Data Availability Statement
Acknowledgments
Conflicts of Interest
References
- Swapna, P.; Krishnan, R.; Wallace, J. Indian Ocean and monsoon coupled interactions in a warming environment. Clim. Dyn. 2014, 42, 2439–2454. [Google Scholar] [CrossRef]
- Shankar, D.; Vinayachandran, P.; Unnikrishnan, A. The monsoon currents in the north Indian Ocean. Prog. Oceanogr. 2002, 52, 63–120. [Google Scholar] [CrossRef]
- Beal, L.M.; Hormann, V.; Lumpkin, R.; Foltz, G. The response of the surface circulation of the Arabian Sea to monsoonal forcing. J. Phys. Oceanogr. 2013, 43, 2008–2022. [Google Scholar] [CrossRef]
- Schott, F.A.; McCreary, J.P., Jr. The monsoon circulation of the Indian Ocean. Prog. Oceanogr. 2001, 51, 1–123. [Google Scholar] [CrossRef]
- Prasanna Kumar, S.; Muraleedharan, P.; Prasad, T.; Gauns, M.; Ramaiah, N.; De Souza, S.; Sardesai, S.; Madhupratap, M. Why is the Bay of Bengal less productive during summer monsoon compared to the Arabian Sea? Geophys. Res. Lett. 2002, 29, 2235. [Google Scholar] [CrossRef]
- Xinjun, C.; Bilin, L.; Siquan, T.; Weiguo, Q.; Xiaohu, Z. Fishery biology of purpleback squid, Sthenoteuthis oualaniensis, in the northwest Indian Ocean. Fish. Res. 2007, 83, 98–104. [Google Scholar] [CrossRef]
- Ge, X.; Bo, X.; Heng, Z.; Fenghua, T.; Feng, C.; Wenbin, Z. A study on spatial-temporal distribution and marine environmental elements of Symplectoteuthis oualaniensis fishing grounds in outer sea of Arabian Sea. South China Fish. Sci. 2022, 18, 10–19. [Google Scholar] [CrossRef]
- Coll, M.; Navarro, J.; Olson, R.J.; Christensen, V. Assessing the trophic position and ecological role of squids in marine ecosystems by means of food-web models. Deep-Sea Res. II 2013, 95, 21–36. [Google Scholar] [CrossRef]
- Fan, W.; Wu, Y.; Cui, X. The study on fishing ground of neon flying squid, Ommastrephes bartrami, and ocean environment based on remote sensing data in the Northwest Pacific Ocean. Chin. J. Oceanol. Limnol. 2009, 27, 408–414. [Google Scholar] [CrossRef]
- Paulino, C.; Segura, M.; Chacón, G. Spatial variability of jumbo flying squid (Dosidicus gigas) fishery related to remotely sensed SST and chlorophyll-a concentration (2004–2012). Fish. Res. 2016, 173, 122–127. [Google Scholar] [CrossRef]
- Chen, J.; Zhang, S.; Cui, X.; Tang, F.; Li, J.; Zhao, G.; Han, H. Study on the habitat of Symplectoteuthis oualaniensis in the Northwest Indian Ocean based on the maximum entropy model. Mar. Fish. 2025, 47, 221–233. [Google Scholar] [CrossRef]
- Wen, L.; Zhang, H.; Fang, Z.; Chen, X. The Effects of Climate Change on Sthenoteuthis oualaniensis Habitats in the Northern Indian Ocean. Animals 2025, 15, 573. [Google Scholar] [CrossRef] [PubMed]
- Guisan, A.; Edwards, T.C., Jr.; Hastie, T. Generalized linear and generalized additive models in studies of species distributions: Setting the scene. Ecol. Model. 2002, 157, 89–100. [Google Scholar] [CrossRef]
- Solanki, H.; Bhatpuria, D.; Chauhan, P. Applications of generalized additive model (GAM) to satellite-derived variables and fishery data for prediction of fishery resources distributions in the Arabian Sea. Geocarto Int. 2017, 32, 30–43. [Google Scholar] [CrossRef]
- Dormann, C.F.; McPherson, J.M.; Araújo, M.B.; Bivand, R.; Bolliger, J.; Carl, G.; Davies, R.G.; Hirzel, A.; Jetz, W.; Kissling, W.D. Methods to account for spatial autocorrelation in the analysis of species distributional data: A review. Ecography 2007, 30, 609–628. [Google Scholar] [CrossRef]
- Maunder, M.N.; Punt, A.E. Standardizing catch and effort data: A review of recent approaches. Fish. Res. 2004, 70, 141–159. [Google Scholar] [CrossRef]
- Tian, S.; Chen, Y.; Chen, X.; Xu, L.; Dai, X. Impacts of spatial scales of fisheries and environmental data on catch per unit effort standardisation. Mar. Freshw. Res. 2009, 60, 1273–1284. [Google Scholar] [CrossRef]
- Zhao, G.; Wu, Z.; Cui, X.; Fan, W.; Shi, Y.; Xiao, G.; Tang, F. Spatial temporal patterns of chub mackerel fishing ground in the Northwest Pacific based on spatial autocorrelation model. Haiyang Xuebao 2022, 44, 22–35. [Google Scholar] [CrossRef]
- Fan, X.M.; Cui, X.S.; Tang, F.H.; Fan, W.; Wu, Y.M.; Zhang, H. Research on the prediction model of spatial distribution of Sthenoteuthis oualaniensis in the open sen Arabian Sea based on PCA-GAM. J. Fish. China 2022, 46, 2340–2348. [Google Scholar] [CrossRef]
- Ren, P.; Wu, T.; Zhou, J. Analysis of spatial distribution pattern and evolutionary characteristics of cultivated lands based on spatial autocorrelation model and GIS platform—A case study of Longquanyi District, Chengdu, China. Chin. J. Eco-Agric. 2016, 24, 325–334. [Google Scholar] [CrossRef]
- Ping, J.; Green, C.; Zartman, R.; Bronson, K. Exploring spatial dependence of cotton yield using global and local autocorrelation statistics. Field Crops Res. 2004, 89, 219–236. [Google Scholar] [CrossRef]
- Feng, Y.; Chen, X.; Liu, Y. Detection of spatial hot spots and variation for the neon flying squid Ommastrephes bartramii resources in the northwest Pacific Ocean. Chin. J. Oceanol. Limnol. 2017, 35, 921–935. [Google Scholar] [CrossRef]
- Jackson, M.C.; Huang, L.; Xie, Q.; Tiwari, R.C. A modified version of Moran’s I. Int. J. Health Geogr. 2010, 9, 33. [Google Scholar] [CrossRef] [PubMed]
- Getis, A.; Ord, J.K. The analysis of spatial association by use of distance statistics. Geogr. Anal. 1992, 24, 189–206. [Google Scholar] [CrossRef]
- Tang, Y.; Gong, Y.; Zhang, H.; Zhao, G.; Tang, F. The Spatial Dynamics of Japanese Sardine (Sardinops sagax) Fishing Grounds in the Northwest Pacific: A Geostatistical Approach. Animals 2025, 15, 1597. [Google Scholar] [CrossRef]
- Woillez, M.; Rivoirard, J.; Petitgas, P. Notes on survey-based spatial indicators for monitoring fish populations. Aquat. Living Resour. 2009, 22, 155–164. [Google Scholar] [CrossRef]
- Lefever, D.W. Measuring geographic concentration by means of the standard deviational ellipse. Am. J. Sociol. 1926, 32, 88–94. [Google Scholar] [CrossRef]
- Yuting, F.; Haiyi, S.; Gang, H.; Hui, Z.; Changming, D. Relationships between environmental variables and spatial and temporal distribution of jack mackerel (Trachurus japonicus) in the Beibu Gulf, South China Sea. PeerJ 2021, 9, e12337. [Google Scholar] [CrossRef]
- Murase, H.; Nagashima, H.; Yonezaki, S.; Matsukura, R.; Kitakado, T. Application of a generalized additive model (GAM) to reveal relationships between environmental factors and distributions of pelagic fish and krill: A case study in Sendai Bay, Japan. ICES J. Mar. Sci. 2009, 66, 1417–1424. [Google Scholar] [CrossRef]
- Gasper, J.R.; Kruse, G.H. Modeling of the spatial distribution of Pacific spiny dogfish (Squalus suckleyi) in the Gulf of Alaska using generalized additive and generalized linear models. Can. J. Fish. Aquat. Sci. 2013, 70, 1372–1385. [Google Scholar] [CrossRef]
- Murray, L.G.; Hinz, H.; Hold, N.; Kaiser, M.J. The effectiveness of using CPUE data derived from Vessel Monitoring Systems and fisheries logbooks to estimate scallop biomass. ICES J. Mar. Sci. 2013, 70, 1330–1340. [Google Scholar] [CrossRef]
- Song, Y.; Wang, T.; Xiong, M.; Yang, S.; Zhang, H.; Ying, J.; Shi, Y.; Zhao, G.; Zhang, X.; Liu, X.; et al. Analysis of the Distribution Characteristics of Jellyfish and Environmental Factors in the Seawater Intake Area of the Haiyang Nuclear Power Plant in China. Biology 2024, 13, 433. [Google Scholar] [CrossRef]
- Dormann, C.F.; Elith, J.; Bacher, S.; Buchmann, C.; Carl, G.; Carré, G.; Marquéz, J.R.G.; Gruber, B.; Lafourcade, B.; Leitão, P.J.; et al. Collinearity: A review of methods to deal with it and a simulation study evaluating their performance. Ecography 2013, 36, 27–46. [Google Scholar] [CrossRef]
- Zuur, A.F.; Ieno, E.N.; Elphick, C.S. A protocol for data exploration to avoid common statistical problems. Methods Ecol. Evol. 2010, 1, 3–14. [Google Scholar] [CrossRef]
- Plank, B.; Bellier, E.; Lazure, P. Modelling potential spawning habitat of sardine (Sardina pilchardus) and anchovy (Engraulis encrasicolus) in the Bay of Biscay. Fish. Oceanogr. 2010, 16, 16–30. [Google Scholar] [CrossRef]
- Jiangtao, F.; Jun, Z.; Xue, F.; Zuozhi, C. Relationship between Sthenoteuthis oualaniensis fishing ground and marine environmental factors in Nansha area. J. Shanghai Ocean Univ. 2019, 28, 419–426. [Google Scholar] [CrossRef]
- Jindian, X.; Lu, G. The temporal-spatial features of evaporation and precipitation and the effect on sea surface salinity in the tropical Indian Ocean. J. Oceanogr. 2018, 40, 90–102. [Google Scholar] [CrossRef]
- Chen, X.; Liu, B.; Chen, Y. A review of the development of Chinese distant-water squid jigging fisheries. Fish. Res. 2008, 89, 211–221. [Google Scholar] [CrossRef]
- Sun, S.; Li, D.; Liu, L.; Wang, Z.; Yin, Y. Global Major Weather and Climate Events in 2016 and the Possible Causes. Meteorol. Mon. 2017, 43, 477–485. [Google Scholar] [CrossRef]
- Shinoda, T.; Alexander, M.A.; Hendon, H.H. Remote Response of the Indian Ocean to Interannual SST Variations in the Tropical Pacific. J. Clim. 2004, 17, 362–372. [Google Scholar] [CrossRef]
- Polovina, J.J.; Howell, E.; Kobayashi, D.R.; Seki, M.P. The transition zone chlorophyll front, a dynamic global feature defining migration and forage habitat for marine resources. Prog. Oceanogr. 2001, 49, 469–483. [Google Scholar] [CrossRef]
- Fu, Y.; Wu, X.; Jin, P.; Chen, X.; Xing, Q.; Chai, F.; Cao, J.; Yu, W. Evaluating the potential impacts of mesoscale eddies on the distribution and abundance of an environmentally sensitive squid species (Sthenoteuthis oualaniensis) in the Arabian Sea. Mar. Environ. Res. 2025, 210, 107337. [Google Scholar] [CrossRef] [PubMed]
- Gaube, P.; Chelton, D.B.; Samelson, R.M.; Schlax, M.G.; O’Neill, L.W. Satellite Observations of Mesoscale Eddy-Induced Ekman Pumping. J. Phys. Oceanogr. 2015, 45, 104–132. [Google Scholar] [CrossRef]
- Jin, P.; Zhang, Y.; Du, Y.; Chen, X.; Kindong, R.; Xue, H.; Chai, F.; Yu, W. Eddy impacts on abundance and habitat distribution of a large predatory squid off Peru. Mar. Environ. Res. 2024, 195, 106368. [Google Scholar] [CrossRef]
- Pierce, G.J.; Valavanis, V.D.; Guerra, A.; Jereb, P.; Orsi-Relini, L.; Bellido, J.M.; Katara, I.; Piatkowski, U.; Pereira, J.; Balguerias, E.; et al. A review of cephalopod–environment interactions in European Seas. Hydrobiologia 2008, 612, 49–70. [Google Scholar] [CrossRef]
- Riekkola, L.; Sprogis, K.R.; Penna, A.D.; Goff, V.A.; Harcourt, R.; Cole, R.; Constantine, R.; Goetz, K.T.; Lundquist, D.; Stuck, E.; et al. Large-scale differences, mesoscale similarities: Neighbouring marine predator populations provide insights into Southern Ocean productivity. Glob. Ecol. Conserv. 2025, 62, e03788. [Google Scholar] [CrossRef]
- Haibin, H.; Bohui, J.; Yongchuang, S.; Peiwen, J.; Heng, Z.; Chen, S.; Yuyan, S.; Yang, L.; Delong, X. Response of the Northwest Indian Ocean purpleback flying squid (Sthenoteuthis oualaniensis) fishing grounds to marine environmental changes and its prediction model construction based on multi-models and multi-spatial and temporal scales. Ecol. Indic. 2023, 154, 110809. [Google Scholar] [CrossRef]
- Roxy, M.K.; Ritika, K.; Terray, P.; Masson, S. The Curious Case of Indian Ocean Warming. J. Clim. 2014, 27, 8501–8509. [Google Scholar] [CrossRef]
- Terhaar, J.; Burger, F.A.; Vogt, L.; Frölicher, T.L.; Stocker, T.F. Record sea surface temperature jump in 2023–2024 unlikely but not unexpected. Nature 2025, 639, 942–946. [Google Scholar] [CrossRef]
- Pinsky, M.L.; Selden, R.L.; Kitchel, Z.J. Climate-Driven Shifts in Marine Species Ranges: Scaling from Organisms to Communities. Annu. Rev. Mar. Sci. 2020, 12, 153–179. [Google Scholar] [CrossRef]
- Bakun, A. Fronts and eddies as key structures in the habitat of marine fish larvae: Opportunity, adaptive response and competitive advantage. Sci. Mar. 2006, 70, 105–122. [Google Scholar] [CrossRef]
- Lu, H.; Wang, H.; He, J.; Chen, X.; Liu, K.; Chen, X. The mechanism of influence of monsoon changes on the fisheries biology and oceanography of Sthenoteuthis oualaniensis in northwest Indian Ocean. J. Fish. Sci. China 2022, 29, 1669–1678. [Google Scholar] [CrossRef]
- Xing, Q.; Yu, H.; Wang, H.; Ito, S.I.; Yu, W. Mesoscale eddies exert inverse latitudinal effects on global industrial squid fisheries. Sci. Total Environ. 2024, 950, 175211. [Google Scholar] [CrossRef] [PubMed]
- Wen, L.H.; Zhang, H.; Fang, Z.; Chen, X.J. Spatial and temporal distribution of fishing ground of Sthenoteuthis oualaniensis in northern Indian Ocean with different fishing methods. J. Shanghai Ocean Univ. 2021, 30, 1079–1089. [Google Scholar] [CrossRef]
- Fu, Y.; Wu, X.; Jin, P.; Zhang, Z.; Xing, Q.; Wei, Y. Impacts of mesoscale eddies on the spatial and temporal distribution of Sthenoteuthis oualaniensis in the Northwest Indian Ocean. J. Fish. Sci. China 2024, 31, 454–464. [Google Scholar] [CrossRef]
- Ciannelli, L.; Fauchald, P.; Chan, K.S.; Agostini, V.N.; Dingsør, G.E. Spatial fisheries ecology: Recent progress and future prospects. J. Mar. Syst. 2007, 71, 223–236. [Google Scholar] [CrossRef]
- Zhang, X.; Han, H.; Tang, Y.; Chen, Z. Spatial Distribution Characteristics and Driving Factors of Tourism Resources in China. Land 2023, 12, 1029. [Google Scholar] [CrossRef]
- Yuan, X.W.; Liu, Z.L.; Jin, Y.; Cui, X.S.; Zhou, W.F.; Cheng, J.H. Inter-decadal variation of spatial aggregation of Trichiurus japonicus in East China Sea based on spatial autocorrelation analysis. Chin. J. Appl. Ecol. 2017, 28, 3409–3416. [Google Scholar] [CrossRef]
- Wu, X.; Jin, P.; Zhang, Y.; Yu, W. Spatial Distribution and Abundance of a Pelagic Squid during the Evolution of Eddies in the Southeast Pacific Ocean. J. Mar. Sci. Eng. 2024, 12, 1015. [Google Scholar] [CrossRef]
- Wu, X.; Jin, P.; Zhang, Y.; Yu, W. Changing Humboldt Squid Abundance and Distribution at Different Stages of Oceanic Mesoscale Eddies. J. Mar. Sci. Eng. 2024, 12, 626. [Google Scholar] [CrossRef]
- Chen, Z.; Du, Y.; Wen, Z.; Wu, R.; Wang, C. Indo-Pacific climate during the decaying phase of the 2015/16 El Niño: Role of southeast tropical Indian Ocean warming. Clim. Dyn. 2018, 50, 4707–4719. [Google Scholar] [CrossRef]
- Zheng, F.; Liu, J.-P.; Fang, X.-H.; Song, M.-R.; Yang, C.-Y.; Yuan, Y.; Li, K.-X.; Wang, J.; Zhu, J. The Predictability of Ocean Environments that Contributed to the 2020/21 Extreme Cold Events in China: 2020/21 La Niña and 2020 Arctic Sea Ice Loss. Adv. Atmos. Sci. 2022, 39, 658–675. [Google Scholar] [CrossRef]
- Han, W.; Meehl, G.A.; Stammer, D.; Hu, A.; Hamlington, B.; Kenigson, J.; Palanisamy, H. Spatial Patterns of Sea Level Variability Associated with Natural Internal Climate Modes. Surv. Geophys. 2017, 38, 217–250. [Google Scholar] [CrossRef]
- Huang, Y.; Zhao, G.; Yang, J.; Yang, L.; Yang, Y.; Jiaba, W.; Shama, Z.; Yang, J. Evolution of Potential Distribution Areas and Cultivation Zones of Morchella esculenta (L.) Pers. Under Climate Warming: Application of Ensemble Models and Production Dynamics Models. J. Fungi 2025, 11, 475. [Google Scholar] [CrossRef]
- Currie, J.C.; Lengaigne, M.; Vialard, J.; Kaplan, D.M.; Aumont, O.; Naqvi, S.W.A.; Maury, O. Indian Ocean Dipole and El Niño/Southern Oscillation impacts on regional chlorophyll anomalies in the Indian Ocean. Biogeosciences 2013, 10, 6677–6698. [Google Scholar] [CrossRef]








| Variable | Year | Latitude | Longitude | Chl-a | SST | SSH | SSS | UO | VO |
|---|---|---|---|---|---|---|---|---|---|
| VIF value | 1.28 | 1.269 | 2.084 | 1.716 | 2.824 | 2.126 | 1.273 | 1.162 | 1.15 |
| Year | Mean | SD | Skwenss | Kurtosis | CV | Moran’s I | Z-Score | p-Values |
|---|---|---|---|---|---|---|---|---|
| 2016 | 1.25 | 1.21 | 1.01 | 0.52 | 0.97 | 0.58 | 5.04 | 0.00 |
| 2017 | 5.05 | 7.46 | 2.08 | 3.78 | 1.48 | 0.30 | 10.79 | 0.00 |
| 2018 | 5.94 | 7.61 | 3.05 | 10.55 | 1.28 | 0.13 | 6.75 | 0.00 |
| 2019 | 8.26 | 7.56 | 1.93 | 6.28 | 0.92 | 0.15 | 11.31 | 0.00 |
| 2020 | 5.01 | 5.37 | 5.42 | 110.04 | 1.07 | 0.16 | 13.85 | 0.00 |
| 2021 | 4.28 | 3.78 | 1.99 | 6.32 | 0.88 | 0.43 | 15.83 | 0.00 |
| 2022 | 5.22 | 4.27 | 1.96 | 5.29 | 0.82 | 0.61 | 23.18 | 0.00 |
| 2023 | 4.93 | 4.05 | 1.71 | 4.84 | 0.82 | 0.29 | 14.28 | 0.00 |
| 2024 | 3.63 | 4.07 | 2.83 | 13.79 | 1.13 | 0.70 | 48.07 | 0.00 |
| GAM | R2 | AIC | Explanation Rate (%) |
|---|---|---|---|
| log(CPUE + 0.1)~s(Year) | 0.237 | 4819.917 | 23.9 |
| log(CPUE + 0.1)~s(Year) + s(Longitude) | 0.466 | 4193.471 | 46.8 |
| log(CPUE + 0.1)~s(Year) + s(Longitude) + s(Latitude) | 0.480 | 4148.185 | 48.3 |
| log(CPUE + 0.1)~s(Year) + s(Longitude) + s(Latitude) + s(Chl-a) | 0.492 | 4109.596 | 49.7 |
| log(CPUE + 0.1)~s(Year) + s(Longitude) + s(Latitude) + s(Chl-a) + s(SST) | 0.509 | 4054.524 | 51.3 |
| log(CPUE + 0.1)~s(Year) + s(Longitude) + s(Latitude) + s(Chl-a) + s(SST) + s(SSS) | 0.512 | 4044.422 | 51.8 |
| log(CPUE + 0.1)~s(Year) + s(Longitude) + s(Latitude) + s(Chl-a) + s(SST) + s(SSS) + s(SSH) | 0.518 | 4025.721 | 52.3 |
| log(CPUE + 0.1)~s(Year) + s(Longitude) + s(Latitude) + s(Chl-a) + s(SST) + s(SSS) + s(SSH) + s(UO) | 0.530 | 3981.758 | 53.6 |
| log(CPUE + 0.1)~s(Year) + s(Longitude) + s(Latitude) + s(Chl-a) + s(SST) + s(SSS) + s(SSH) + s(UO) + s(VO) | 0.537 | 3962.039 | 54.4 |
| Parameter | df | F | p Value |
|---|---|---|---|
| year | 4.000 | 172.811 | 2 × 10−16 |
| latitude | 3.670 | 167.040 | 2 × 10−16 |
| longitude | 3.869 | 13.852 | 2 × 10−16 |
| Chl-a | 3.581 | 7.214 | 3.24 × 10−5 |
| SST | 3.787 | 27.207 | 2 × 10−16 |
| SSS | 1.000 | 34.839 | 2 × 10−16 |
| SSH | 3.920 | 5.436 | 2.41 × 10−4 |
| UO | 3.524 | 11.980 | 2 × 10−16 |
| VO | 3.232 | 7.212 | 6.34 × 10−5 |
Disclaimer/Publisher’s Note: The statements, opinions and data contained in all publications are solely those of the individual author(s) and contributor(s) and not of MDPI and/or the editor(s). MDPI and/or the editor(s) disclaim responsibility for any injury to people or property resulting from any ideas, methods, instructions or products referred to in the content. |
© 2026 by the authors. Licensee MDPI, Basel, Switzerland. This article is an open access article distributed under the terms and conditions of the Creative Commons Attribution (CC BY) license.
Share and Cite
Zhou, R.; Zheng, H.; Shi, Y.; Li, L.; Fan, W.; Li, Z.; Zhao, G.; Tang, F. Geostatistical Analysis of the Variability in Sthenoteuthis oualaniensis Fishing Grounds in the Northwestern Indian Ocean High Seas. Animals 2026, 16, 393. https://doi.org/10.3390/ani16030393
Zhou R, Zheng H, Shi Y, Li L, Fan W, Li Z, Zhao G, Tang F. Geostatistical Analysis of the Variability in Sthenoteuthis oualaniensis Fishing Grounds in the Northwestern Indian Ocean High Seas. Animals. 2026; 16(3):393. https://doi.org/10.3390/ani16030393
Chicago/Turabian StyleZhou, Ruizhi, Hanfeng Zheng, Yongchuang Shi, Lingzhi Li, Wei Fan, Ziniu Li, Guoqing Zhao, and Fenghua Tang. 2026. "Geostatistical Analysis of the Variability in Sthenoteuthis oualaniensis Fishing Grounds in the Northwestern Indian Ocean High Seas" Animals 16, no. 3: 393. https://doi.org/10.3390/ani16030393
APA StyleZhou, R., Zheng, H., Shi, Y., Li, L., Fan, W., Li, Z., Zhao, G., & Tang, F. (2026). Geostatistical Analysis of the Variability in Sthenoteuthis oualaniensis Fishing Grounds in the Northwestern Indian Ocean High Seas. Animals, 16(3), 393. https://doi.org/10.3390/ani16030393

