Characteristics of the Gut Microbiota in Different Segments of the Gastrointestinal Tract of Big-Eyed Bamboo Snake (Pseudoxenodon macrops)
Abstract
Simple Summary
Abstract
1. Introduction
2. Materials and Methods
2.1. Sample Collection
2.2. Total DNA Extraction and Library Construction
2.3. Sequencing Data Processing and Species Annotation
2.4. Diversity Analysis and Functional Prediction
3. Results
3.1. Sequencing of the Microbiota in the Gastrointestinal Tract of Big-Eyed Bamboo Snake
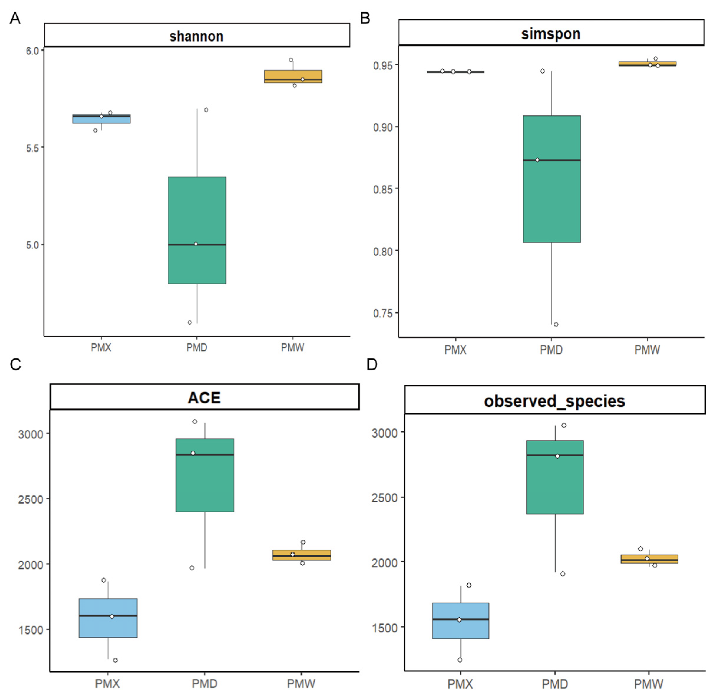
3.2. Diversity of Microbial Composition in Different Gastrointestinal Segments
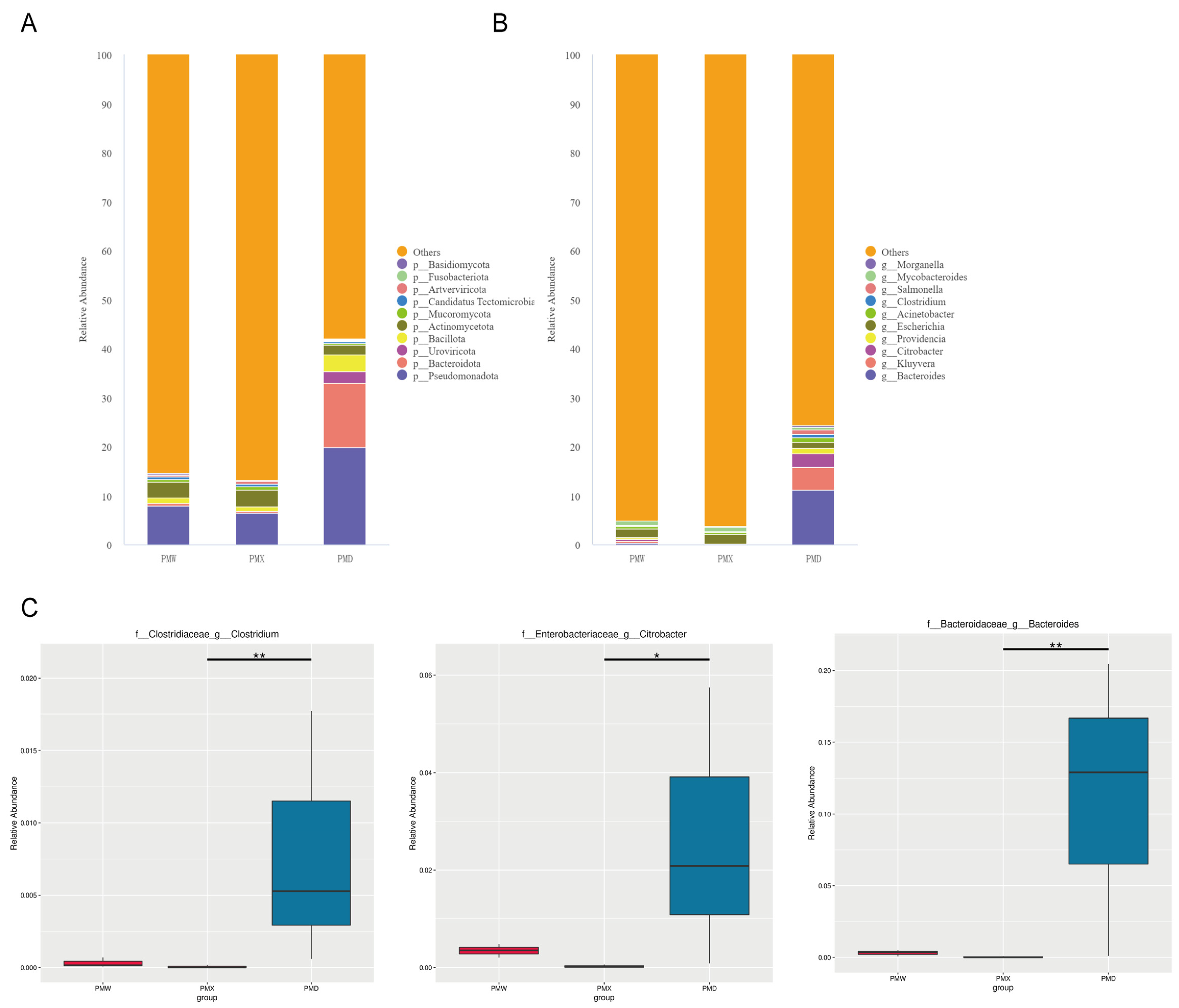
3.3. Comparative Analysis of Microbial Composition and Structure in Different Gastrointestinal Segments
3.4. Function Prediction Analysis
4. Discussion
5. Conclusions
Supplementary Materials
Author Contributions
Funding
Institutional Review Board Statement
Informed Consent Statement
Data Availability Statement
Acknowledgments
Conflicts of Interest
References
- Thursby, E.; Juge, N. Introduction to the human gut microbiota. Biochem. J. 2017, 474, 1823–1836. [Google Scholar] [CrossRef] [PubMed]
- Schmidt, T.S.B.; Raes, J.; Bork, P. The human gut microbiome: From association to modulation. Cell 2018, 172, 1198–1215. [Google Scholar] [CrossRef] [PubMed]
- Hoffbeck, C.; Middleton, D.M.R.L.; Nelson, N.J.; Taylor, M.W. 16S rRNA gene-based meta-analysis of the reptile gut microbiota reveals environmental effects, host influences and a limited core microbiota. Mol. Ecol. 2023, 32, 6044–6058. [Google Scholar] [CrossRef] [PubMed]
- Wang, S.; Zhou, X.; Ma, Y.; Zhang, S.; Gong, X.; Zhang, B.; Zhou, J.; Chen, G.-Q.; Shi, W.; Yang, Y. Gut-to-brain neuromodulation by synthetic butyrate-producing commensal bacteria. Innov. Life 2024, 2, 100082. [Google Scholar] [CrossRef]
- Zhu, G.; Song, H.; Duan, M.; Wang, J.; Luo, J.; Yang, S.; Wu, F.; Jiang, J.; Chen, J.; Tang, W. Dietary preferences affect the gut microbiota of three snake species (Squamata: Colubridae). Front. Microbiol. 2025, 16, 1559646. [Google Scholar] [CrossRef]
- Siddiqui, R.; Maciver, S.K.; Khan, N.A. Gut microbiome-immune system interaction in reptiles. J. Appl. Microbiol. 2022, 132, 2558–2571. [Google Scholar] [CrossRef]
- Yang, J.; Liu, W.; Han, X.; Hao, X.; Yao, Q.; Du, W. Gut microbiota modulation enhances the immune capacity of lizards under climate warming. Microbiome 2024, 12, 37. [Google Scholar] [CrossRef]
- Title, P.O.; Singhal, S.; Grundler, M.C.; Costa, G.C.; Pyron, R.A.; Colston, T.J.; Grundler, M.R.; Prates, I.; Stepanova, N.; Jones, M.E.H.; et al. The macroevolutionary singularity of snakes. Science 2024, 383, 918–923. [Google Scholar] [CrossRef]
- Masila, N.M.; Ross, K.E.; Gardner, M.G.; Whiley, H. Zoonotic and public health implications of Campylobacter species and squamates (lizards, snakes and amphisbaenians). Pathogens 2020, 9, 799. [Google Scholar] [CrossRef]
- Pawlak, A.; Małaszczuk, M.; Dróżdż, M.; Bury, S.; Kuczkowski, M.; Morka, K.; Cieniuch, G.; Korzeniowska-Kowal, A.; Wzorek, A.; Korzekwa, K.; et al. Virulence factors of Salmonella spp. isolated from free-living grass snakes Natrix natrix. Environ. Microbiol. Rep. 2024, 16, e13287. [Google Scholar] [CrossRef]
- Wang, T.; Rindom, E. The physiological response to digestion in snakes: A feast for the integrative physiologist. Comp. Biochem. Physiol. Part A Mol. Integr. Physiol. 2021, 254, 110891. [Google Scholar] [CrossRef]
- Tang, W.; Zhu, G.; Shi, Q.; Yang, S.; Ma, T.; Kumar, S.; Wen, A.; Xu, H.; Wang, Q.; Jiang, Y.; et al. Characterizing the microbiota in gastrointestinal tract segments of Rhabdophis subminiatus: Dynamic changes and functional predictions. MicrobiologyOpen 2019, 8, e789. [Google Scholar] [CrossRef]
- Smith, S.N.; Colston, T.J.; Siler, C.D. Venomous snakes reveal ecological and phylogenetic factors influencing variation in gut and oral microbiomes. Front. Microbiol. 2021, 12, 657754. [Google Scholar] [CrossRef]
- IUCN SSC Snake Specialist Group. Pseudoxenodon macrops. In The IUCN Red List of Threatened Species; IUCN: Gland, Switzerland, 2021; e.T192158A123456789. [Google Scholar]
- Liao, J.; Tang, M.; Peng, L.; Jiang, L.; You, Z.; Chen, W. The complete mitochondrial genome sequence of big-eyed Mountain keelback Pseudoxenodon macrops. Mitochondrial DNA Part B 2020, 5, 736–737. [Google Scholar] [CrossRef] [PubMed]
- Roberts, J.R.; Bernstein, J.M.; Austin, C.C.; Hains, T.; Mata, J.; Kieras, M.; Pirro, S.; Ruane, S. Whole snake genomes from eighteen families of snakes (Serpentes: Caenophidia) and their applications to systematics. J. Hered. 2024, 115, 487–497. [Google Scholar] [CrossRef] [PubMed]
- Han, X.; Guan, Z.; Xu, M.; Zhang, Y.; Yao, H.; Meng, F.; Zhuo, Y.; Yu, G.; Cao, X.; Du, X.; et al. A novel follicle-stimulating hormone vaccine for controlling fat accumulation. Theriogenology 2020, 148, 103–111. [Google Scholar] [CrossRef] [PubMed]
- Rindom, E.; Bundgaard, K.; Svane, A.; Fammé, A.G.P.; Farup, J.; Jessen, N.; Vincenzo, F.; Wang, T. Rapid stimulation of protein synthesis in digesting snakes: Unveiling a novel gut-pancreas-muscle axis. Acta Physiol. 2025, 241, e70006. [Google Scholar] [CrossRef]
- Jin, W.Y.; Guo, J.X.; Zhang, M.; Teng, L.-Z.; Chao, Y.; Sansonetti, P.J.; Gao, Y.-Z. Absolute quantification of the microbiota spatial distribution in the murine large intestine. Innov. Life 2023, 1, 100030. [Google Scholar] [CrossRef]
- Rong, B.; Zhang, Q.; Zhang, X.; Zhang, N.; Shen, Z.; Pang, Y.; Lin, X.; Liu, D.; Yang, X. Hyocholic acid: A novel therapeutic strategy for metabolic syndrome. Innov. Life 2024, 2, 100093. [Google Scholar] [CrossRef]
- Zhang, J.; Tan, S.; Lyu, B.; Yu, M.; Lan, Y.; Tang, R.; Fan, Z.; Guo, P.; Shi, L. Differences in gut microbial composition and characteristics among three populations of the bamboo pitviper (Viridovipera stejnegeri). Ecol. Evol. 2024, 14, e70742. [Google Scholar] [CrossRef]
- Zhu, F.; Sun, K.; Zhang, H.; Lu, J.; Guo, P.; Zhang, J.; Xu, Y.; Lyu, B. Comparative analyses of Lycodon rufozonatus and Lycodon rosozonatus gut microbiota in different regions. Ecol. Evol. 2024, 14, e70480. [Google Scholar] [CrossRef] [PubMed]
- Shin, N.R.; Whon, T.W.; Bae, J.W. Proteobacteria: Microbial signature of dysbiosis in gut microbiota. Trends Biotechnol. 2015, 33, 496–503. [Google Scholar] [CrossRef] [PubMed]
- Rizzatti, G.; Lopetuso, L.R.; Gibiino, G.; Binda, C.; Gasbarrini, A. Proteobacteria: A common factor in human diseases. Biomed Res. Int. 2017, 2017, 9351507. [Google Scholar] [CrossRef] [PubMed]
- Nowicki, S.; de Laurent, Z.R.; de Villiers, E.P.; Githinji, G.; Charles, K.J. The utility of Escherichia coli as a contamination indicator for rural drinking water: Evidence from whole genome sequencing. PLoS ONE 2021, 16, e0245910. [Google Scholar] [CrossRef]
- Alteri, C.J.; Mobley, H.L. Escherichia coli physiology and metabolism dictates adaptation to diverse host microenvironments. Curr. Opin. Microbiol. 2012, 15, 3–9. [Google Scholar] [CrossRef]
- Santana, P.T.; Rosas, S.L.B.; Ribeiro, B.E.; Marinho, Y.; de Souza, H.S.P. Dysbiosis in inflammatory bowel disease: Pathogenic role and potential therapeutic targets. Int. J. Mol. Sci. 2022, 23, 3464. [Google Scholar] [CrossRef]
- Wu, G.D.; Chen, J.; Hoffmann, C.; Bittinger, K.; Chen, Y.Y.; Keilbaugh, S.A.; Bewtra, M.; Knights, D.; Walters, W.A.; Knight, R.; et al. Linking long-term dietary patterns with gut microbial enterotypes. Science 2011, 334, 105–108. [Google Scholar] [CrossRef]
- Kim, H.B.; Isaacson, R.E. The pig gut microbial diversity: Understanding the pig gut microbial ecology through the next generation high throughput sequencing. Vet. Microbiol. 2015, 177, 242–251. [Google Scholar] [CrossRef]
- Arumugam, M.; Raes, J.; Pelletier, E.; Le Paslier, D.; Yamada, T.; Mende, D.R.; Fernandes, G.R.; Tap, J.; Bruls, T.; Batto, J.M.; et al. Enterotypes of the human gut microbiome. Nature 2011, 473, 174–180. [Google Scholar] [CrossRef]
- Kohl, K.D.; Cary, T.L.; Karasov, W.H.; Dearing, M.D. Restructuring of the amphibian gut microbiota through metamorphosis. Environ. Microbiol. Rep. 2013, 5, 899–903. [Google Scholar] [CrossRef]
- Keenan, S.W.; Engel, A.S.; Elsey, R.M. The alligator gut microbiome and implications for archosaur symbioses. Sci. Rep. 2013, 3, 2877. [Google Scholar] [CrossRef]
- Wexler, H.M. Bacteroides: The good, the bad, and the nitty-gritty. Clin. Microbiol. Rev. 2007, 20, 593–621. [Google Scholar] [CrossRef]
- Gauffin Cano, P.; Santacruz, A.; Moya, Á.; Sanz, Y. Bacteroides uniformis CECT 7771 ameliorates metabolic and immunological dysfunction in mice with high-fat-diet–induced obesity. PLoS ONE 2012, 7, e41079. [Google Scholar] [CrossRef] [PubMed]
- Colston, T.J.; Noonan, B.P.; Jackson, C.R. Phylogenetic analysis of bacterial communities in different regions of the gastrointestinal tract of Agkistrodon piscivorus, the cottonmouth snake. PLoS ONE 2015, 10, e0128793. [Google Scholar] [CrossRef] [PubMed]
- Costello, E.K.; Gordon, J.I.; Secor, S.M.; Knight, R. Postprandial remodeling of the gut microbiota in Burmese pythons. ISME J. 2010, 4, 1375–1385. [Google Scholar] [CrossRef] [PubMed]
- Yan, S.; Zeng, M.; Wang, H.; Zhang, H. Micromonospora: A prolific source of bioactive secondary metabolites with therapeutic potential. J. Med. Chem. 2022, 65, 8735–8771. [Google Scholar] [CrossRef]
- McDermid, K.J.; Kittle, R.P.; Veillet, A.; Plouviez, S.; Muehlstein, L.; Balazs, G.H. Identification of gastrointestinal microbiota in Hawaiian green turtles (Chelonia mydas). Evol. Bioinform. 2020, 16, 1176934320914603. [Google Scholar] [CrossRef]
- Jiang, H.Y.; Ma, J.E.; Li, J.; Zhang, X.J.; Li, L.M.; He, N.; Liu, H.Y.; Luo, S.Y.; Wu, Z.J.; Han, R.C.; et al. Diets alter the gut microbiome of crocodile lizards. Front. Microbiol. 2017, 8, 2073. [Google Scholar] [CrossRef]
- Shang, Y.; Zhong, H.; Liu, G.; Wang, X.; Wu, X.; Wei, Q.; Shi, L.; Zhang, H. Characteristics of microbiota in different segments of the digestive tract of Lycodon rufozonatus. Animals 2023, 13, 731. [Google Scholar] [CrossRef]
- Khan, I.; Bu, R.; Ali, Z.; Iqbal, M.S.; Shi, H.; Ding, L.; Hong, M. Metagenomics analysis reveals the composition and functional differences of fecal microbiota in wild, farm, and released Chinese three-keeled pond turtles (Mauremys reevesii). Animals 2024, 14, 1750. [Google Scholar] [CrossRef]
- Wang, C.; Li, C.; You, F.; Zhou, Y.; Tu, G.; Liu, R.; Yi, P.; Wu, X.; Nie, H. Multi-omics analysis of gut microbiome and host metabolism in different populations of Chinese alligators (Alligator sinensis) during various reintroduction phases. Ecol. Evol. 2025, 15, e71221. [Google Scholar] [CrossRef]
- Warnecke, F.; Luginbühl, P.; Ivanova, N.; Ghassemian, M.; Richardson, T.H.; Stege, J.T.; Cayouette, M.; McHardy, A.C.; Djordjevic, G.; Aboushadi, N.; et al. Metagenomic and functional analysis of hindgut microbiota of a wood-feeding higher termite. Nature 2007, 450, 560–565. [Google Scholar] [CrossRef]
- Terrapon, N.; Lombard, V.; Drula, É.; Lapébie, P.; Al-Masaudi, S.; Gilbert, H.J.; Henrissat, B. PULDB: The expanded database of polysaccharide utilization loci. Nucleic Acids Res. 2018, 46, D677–D683. [Google Scholar] [CrossRef]
- Schmid, J.; Heider, D.; Wendel, N.J.; Sperl, N.; Sieber, V. Bacterial glycosyltransferases: Challenges and opportunities of a highly diverse enzyme class toward tailoring natural products. Front. Microbiol. 2016, 7, 182. [Google Scholar] [CrossRef]
- Wang, L.; Zhang, Y.; Xu, J.; Shi, Q.; Peng, Y.; Long, C.; Li, L.; Yin, Y. Listening to enteric bacteria from the perspective of antibiotic alternatives in animal husbandry. Innov. Life 2023, 1, 100022. [Google Scholar] [CrossRef]







Disclaimer/Publisher’s Note: The statements, opinions and data contained in all publications are solely those of the individual author(s) and contributor(s) and not of MDPI and/or the editor(s). MDPI and/or the editor(s) disclaim responsibility for any injury to people or property resulting from any ideas, methods, instructions or products referred to in the content. |
© 2025 by the authors. Licensee MDPI, Basel, Switzerland. This article is an open access article distributed under the terms and conditions of the Creative Commons Attribution (CC BY) license (https://creativecommons.org/licenses/by/4.0/).
Share and Cite
Xiang, R.; Chen, J.; Wang, J.; Song, H.; Jiang, J.; Wu, F.; Luo, J.; Duan, M.; Zhu, G. Characteristics of the Gut Microbiota in Different Segments of the Gastrointestinal Tract of Big-Eyed Bamboo Snake (Pseudoxenodon macrops). Animals 2025, 15, 3035. https://doi.org/10.3390/ani15203035
Xiang R, Chen J, Wang J, Song H, Jiang J, Wu F, Luo J, Duan M, Zhu G. Characteristics of the Gut Microbiota in Different Segments of the Gastrointestinal Tract of Big-Eyed Bamboo Snake (Pseudoxenodon macrops). Animals. 2025; 15(20):3035. https://doi.org/10.3390/ani15203035
Chicago/Turabian StyleXiang, Ruijia, Ji Chen, Ji Wang, Huina Song, Jiuyan Jiang, Fei Wu, Jingxue Luo, Mingwen Duan, and Guangxiang Zhu. 2025. "Characteristics of the Gut Microbiota in Different Segments of the Gastrointestinal Tract of Big-Eyed Bamboo Snake (Pseudoxenodon macrops)" Animals 15, no. 20: 3035. https://doi.org/10.3390/ani15203035
APA StyleXiang, R., Chen, J., Wang, J., Song, H., Jiang, J., Wu, F., Luo, J., Duan, M., & Zhu, G. (2025). Characteristics of the Gut Microbiota in Different Segments of the Gastrointestinal Tract of Big-Eyed Bamboo Snake (Pseudoxenodon macrops). Animals, 15(20), 3035. https://doi.org/10.3390/ani15203035
