Analysis of Reproductive Strategies and Immunological Interactions in Batrachochytrium dendrobatidis-Resistant Japanese Tree Frogs
Simple Summary
Abstract
1. Introduction
2. Materials and Methods
2.1. Field Investigation
2.2. Recording and Analyzing Call Parameters
2.3. Saliva Extraction and Hormone Assay
2.4. Analysis of Bd Infection Load
2.5. Blood Extraction and Immune Assay
2.6. Measurement of Sperm Quality
2.7. Statistical Analysis
3. Result
3.1. Bd Infection Intensity
3.2. Chorus Size and Physical Conditions
3.3. Sperm Quality
3.4. Physiological States
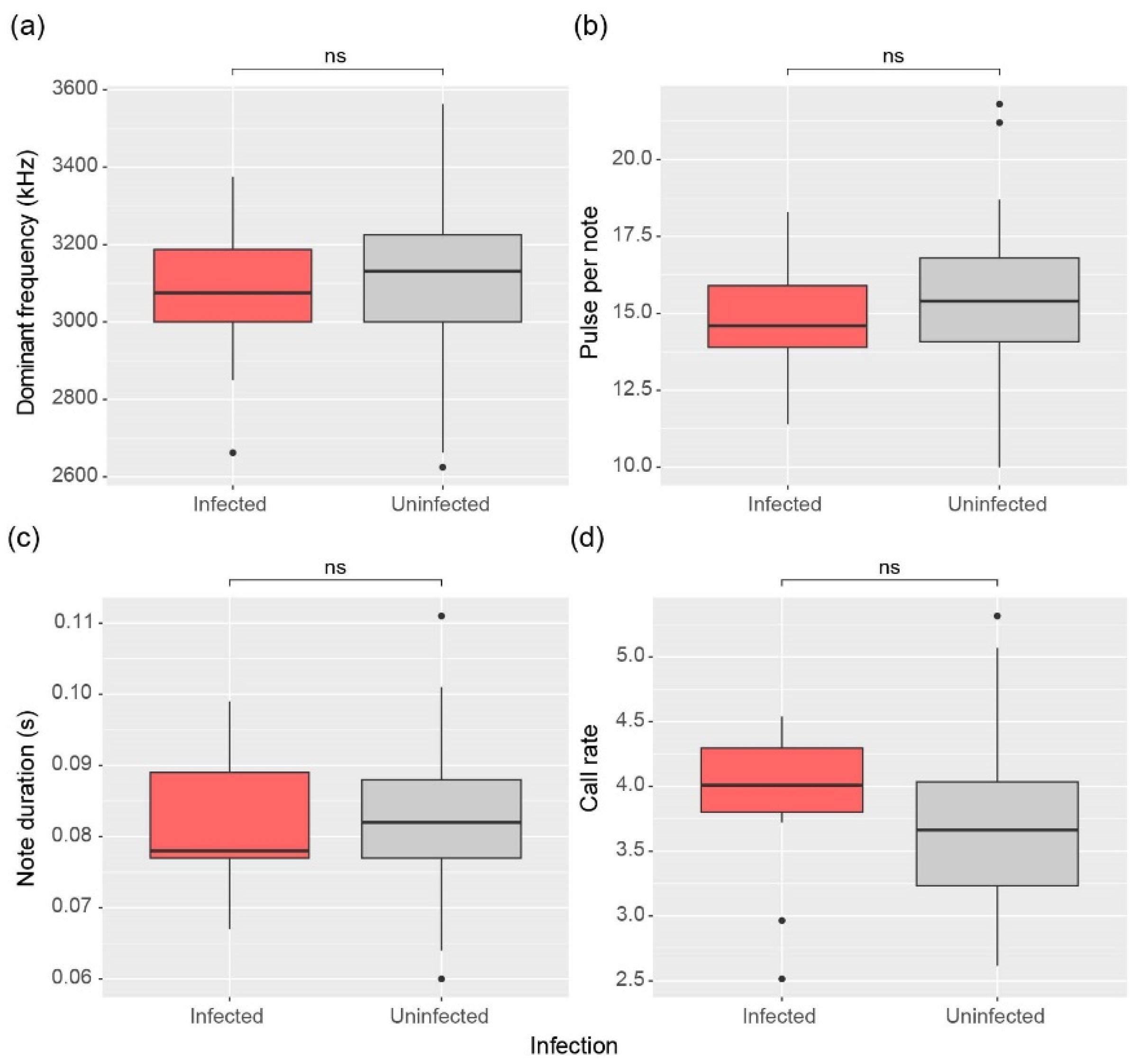
3.5. Call Parameters
3.6. Relationship of Behavior and Physiological Components
4. Discussion
4.1. Increased Reproductive Investment in Response to Bd Infection
4.2. Relationship in Behavioral and Physiological Components by Bd Infection
4.3. Population Sustainability in Species with Resistance to Bd
5. Conclusions
Author Contributions
Funding
Institutional Review Board Statement
Informed Consent Statement
Data Availability Statement
Conflicts of Interest
References
- Luedtke, J.A.; Chanson, J.; Neam, K.; Hobin, L.; Maciel, A.O.; Catenazzi, A.; Borzée, A.; Hamidy, A.; Aowphol, A.; Jean, A. Ongoing declines for the world’s amphibians in the face of emerging threats. Nature 2023, 622, 308–314. [Google Scholar] [CrossRef] [PubMed]
- Van Rooij, P.; Martel, A.; Haesebrouck, F.; Pasmans, F. Amphibian chytridiomycosis: A review with focus on fungus-host interactions. Vet. Res. 2015, 46, 1–22. [Google Scholar] [CrossRef] [PubMed]
- Berger, L.; Roberts, A.A.; Voyles, J.; Longcore, J.E.; Murray, K.A.; Skerratt, L.F. History and recent progress on chytridiomycosis in amphibians. Fungal Ecol. 2016, 19, 89–99. [Google Scholar] [CrossRef]
- Carver, S.; Bell, B.D.; Waldman, B. Does chytridiomycosis disrupt amphibian skin function? Copeia 2010, 2010, 487–495. [Google Scholar] [CrossRef]
- Voyles, J.; Young, S.; Berger, L.; Campbell, C.; Voyles, W.F.; Dinudom, A.; Cook, D.; Webb, R.; Alford, R.A.; Skerratt, L.F. Pathogenesis of chytridiomycosis, a cause of catastrophic amphibian declines. Science 2009, 326, 582–585. [Google Scholar] [CrossRef] [PubMed]
- Fong, J.J.; Cheng, T.L.; Bataille, A.; Pessier, A.P.; Waldman, B.; Vredenburg, V.T. Early 1900s detection of Batrachochytrium dendrobatidis in Korean amphibians. PLoS ONE 2015, 10, e0115656. [Google Scholar] [CrossRef]
- Bataille, A.; Fong, J.J.; Cha, M.; Wogan, G.O.; Baek, H.J.; Lee, H.; Min, M.S.; Waldman, B. Genetic evidence for a high diversity and wide distribution of endemic strains of the pathogenic chytrid fungus Batrachochytrium dendrobatidis in wild Asian amphibians. Mol. Ecol. 2013, 22, 4196–4209. [Google Scholar] [CrossRef] [PubMed]
- Swei, A.; Rowley, J.J.; Rödder, D.; Diesmos, M.L.; Diesmos, A.C.; Briggs, C.J.; Brown, R.; Cao, T.T.; Cheng, T.L.; Chong, R.A. Is chytridiomycosis an emerging infectious disease in Asia? PLoS ONE 2011, 6, e23179. [Google Scholar] [CrossRef]
- Fu, M.; Waldman, B. Ancestral chytrid pathogen remains hypervirulent following its long coevolution with amphibian hosts. Proc. R. Soc. B 2019, 286, 20190833. [Google Scholar] [CrossRef]
- Hollanders, M.; Grogan, L.F.; Nock, C.J.; McCallum, H.I.; Newell, D.A. Recovered frog populations coexist with endemic Batrachochytrium dendrobatidis despite load-dependent mortality. Ecol. Appl. 2023, 33, e2724. [Google Scholar] [CrossRef]
- Waddle, A.W.; Clulow, S.; Aquilina, A.; Sauer, E.L.; Kaiser, S.W.; Miller, C.; Flegg, J.A.; Campbell, P.T.; Gallagher, H.; Dimovski, I. Hotspot shelters stimulate frog resistance to chytridiomycosis. Nature 2024, 631, 344–349. [Google Scholar] [CrossRef] [PubMed]
- Rollins-Smith, L.A.; Woodhams, D.C. Amphibian Immunity; Oxford University Press: New York, NY, USA, 2012. [Google Scholar]
- Råberg, L.; Graham, A.L.; Read, A.F. Decomposing health: Tolerance and resistance to parasites in animals. Philos. Trans. R. Soc. B Biol. Sci. 2009, 364, 37–49. [Google Scholar] [CrossRef]
- An, D.; Waldman, B. Enhanced call effort in Japanese tree frogs infected by amphibian chytrid fungus. Biol. Lett. 2016, 12, 20160018. [Google Scholar] [CrossRef] [PubMed]
- Park, J.-K.; Do, Y. Wind turbine noise behaviorally and physiologically changes male frogs. Biology 2022, 11, 516. [Google Scholar] [CrossRef] [PubMed]
- Chatfield, M.W.; Brannelly, L.A.; Robak, M.J.; Freeborn, L.; Lailvaux, S.P.; Richards-Zawacki, C.L. Fitness consequences of infection by Batrachochytrium dendrobatidis in northern leopard frogs (Lithobates pipiens). EcoHealth 2013, 10, 90–98. [Google Scholar] [CrossRef]
- Clutton-Brock, T.H. Reproductive effort and terminal investment in iteroparous animals. Am. Nat. 1984, 123, 212–229. [Google Scholar] [CrossRef]
- Tobler, U.; Borgula, A.; Schmidt, B.R. Populations of a susceptible amphibian species can grow despite the presence of a pathogenic chytrid fungus. PLoS ONE 2012, 7, e34667. [Google Scholar] [CrossRef] [PubMed]
- Valenzuela-Sánchez, A.; Azat, C.; Cunningham, A.A.; Delgado, S.; Bacigalupe, L.D.; Beltrand, J.; Serrano, J.M.; Sentenac, H.; Haddow, N.; Toledo, V. Interpopulation differences in male reproductive effort drive the population dynamics of a host exposed to an emerging fungal pathogen. J. Anim. Ecol. 2022, 91, 308–319. [Google Scholar] [CrossRef] [PubMed]
- Park, J.-K.; Do, Y. Seasonal pattern of advertisement calling and physiology in prolonged breeding Anurans, Japanese Tree Frog (Dryophytes japonicus). Animals 2023, 13, 1612. [Google Scholar] [CrossRef]
- Archard, G.A.; Goldsmith, A. Euthanasia methods, corticosterone and haematocrit levels in Xenopus laevis: Evidence for differences in stress? Anim. Welf. 2010, 19, 85–92. [Google Scholar] [CrossRef]
- Balko, J.A.; Posner, L.P.; Chinnadurai, S.K. Immersion in tricaine methanesulfonate (MS-222) is not sufficient for euthanasia of smokey jungle frogs (Leptodactylus pentadactylus). J. Zoo Wildl. Med. 2019, 50, 89–95. [Google Scholar]
- Navarro, K.; Jampachaisri, K.; Chu, D.; Pacharinsak, C. Bupivacaine as a euthanasia agent for African Clawed Frogs (Xenopus laevis). PLoS ONE 2022, 17, e0279331. [Google Scholar] [CrossRef] [PubMed]
- Romero, L.M.; Reed, J.M. Collecting baseline corticosterone samples in the field: Is under 3 min good enough? Comp. Biochem. Physiol. Part A Mol. Integr. Physiol. 2005, 140, 73–79. [Google Scholar] [CrossRef] [PubMed]
- Hammond, T.T.; Au, Z.A.; Hartman, A.C.; Richards-Zawacki, C.L. Assay validation and interspecific comparison of salivary glucocorticoids in three amphibian species. Conserv. Physiol. 2018, 6, coy055. [Google Scholar] [CrossRef]
- Boyle, D.G.; Boyle, D.; Olsen, V.; Morgan, J.; Hyatt, A. Rapid quantitative detection of chytridiomycosis (Batrachochytrium dendrobatidis) in amphibian samples using real-time Taqman PCR assay. Dis. Aquat. Org. 2004, 60, 141–148. [Google Scholar] [CrossRef]
- WOAH—World Organisation for Animal Health. Manual of Diagnostic Tests for Aquatic Animals—Chapter 2. 1. 1. Infection with Batrachochytrium dendrobatidis. 2019. Available online: https://www.woah.org/en/disease/chytridiomycosis-batrachochytrium-dendrobatidis/ (accessed on 27 July 2023).
- Heatley, J.J.; Johnson, M. Clinical technique: Amphibian hematology: A practitioner’s guide. J. Exot. Pet Med. 2009, 18, 14–19. [Google Scholar] [CrossRef]
- Forbes, K.M. Ecoimmunology at spatial scales. J. Anim. Ecol. 2020, 89, 2210–2213. [Google Scholar] [CrossRef] [PubMed]
- Demas, G.E.; Zysling, D.A.; Beechler, B.R.; Muehlenbein, M.P.; French, S.S. Beyond phytohaemagglutinin: Assessing vertebrate immune function across ecological contexts. J. Anim. Ecol. 2011, 80, 710–730. [Google Scholar] [CrossRef] [PubMed]
- Upton, R.; Clulow, S.; Calatayud, N.E.; Colyvas, K.; Seeto, R.G.; Wong, L.A.; Mahony, M.J.; Clulow, J. Generation of reproductively mature offspring from the endangered green and golden bell frog Litoria aurea using cryopreserved spermatozoa. Reprod. Fertil. Dev. 2021, 33, 562–572. [Google Scholar] [CrossRef] [PubMed]
- Lipke, C. Induced Spermiation and Sperm Morphology in the Green Poison Frog, Dendrobates auratus. Ph.D. Thesis, Tierärztliche Hochsch, Hannover, Germany, 2008. [Google Scholar]
- Clarke, K.R. Non-parametric multivariate analyses of changes in community structure. Aust. J. Ecol. 1993, 18, 117–143. [Google Scholar] [CrossRef]
- Oksanen, J.; Blanchet, F.G.; Kindt, R.; Legendre, P.; Minchin, P.R.; O’hara, R.; Simpson, G.L.; Solymos, P.; Stevens, M.H.H.; Wagner, H. Package ‘vegan’. Community Ecol. Package Version 2013, 2, 1–295. [Google Scholar]
- Hammond, T.T.; Blackwood, P.E.; Shablin, S.A.; Richards-Zawacki, C.L. Relationships between glucocorticoids and infection with Batrachochytrium dendrobatidis in three amphibian species. Gen. Comp. Endocrinol. 2020, 285, 113269. [Google Scholar] [CrossRef] [PubMed]
- Gervasi, S.S.; Hunt, E.G.; Lowry, M.; Blaustein, A.R. Temporal patterns in immunity, infection load and disease susceptibility: Understanding the drivers of host responses in the amphibian-chytrid fungus system. Funct. Ecol. 2014, 28, 569–578. [Google Scholar] [CrossRef]
- Bosch, J.; Rand, A.S.; Ryan, M.J. Signal variation and call preferences for whine frequency in the túngara frog, Physalaemus pustulosus. Behav. Ecol. Sociobiol. 2000, 49, 62–66. [Google Scholar] [CrossRef]
- Tarano, Z.; Herrera, E.A. Female preferences for call traits and male mating success in the Neotropical frog Physalaemus Enesefae. Ethology 2003, 109, 121–134. [Google Scholar] [CrossRef]
- Wells, K.D. The Ecology and Behavior of Amphibians; University of Chicago Press: Chicago, IL, USA, 2019. [Google Scholar]
- Titon, S.C.M.; de Assis, V.R.; Junior, B.T.; Barsotti, A.M.G.; Flanagan, S.P.; Gomes, F.R. Calling rate, corticosterone plasma levels and immunocompetence of Hypsiboas albopunctatus. Comp. Biochem. Physiol. Part A Mol. Integr. Physiol. 2016, 201, 53–60. [Google Scholar] [CrossRef] [PubMed]
- Brannelly, L.A.; Webb, R.; Skerratt, L.F.; Berger, L. Amphibians with infectious disease increase their reproductive effort: Evidence for the terminal investment hypothesis. Open Biol. 2016, 6, 150251. [Google Scholar] [CrossRef] [PubMed]
- Burrow, A.K.; Rumschlag, S.L.; Boone, M.D. Host size influences the effects of four isolates of an amphibian chytrid fungus. Ecol. Evol. 2017, 7, 9196–9202. [Google Scholar] [CrossRef] [PubMed]
- Dziminski, M.A.; Roberts, J.; Simmons, L.W. Sperm morphology, motility and fertilisation capacity in the myobatrachid frog Crinia georgiana. Reprod. Fertil. Dev. 2010, 22, 516–522. [Google Scholar] [CrossRef] [PubMed]
- Saino, N.; Ambrosini, R.; Martinelli, R.; Møller, A.P. Mate fidelity, senescence in breeding performance and reproductive trade-offs in the barn swallow. J. Anim. Ecol. 2002, 71, 309–319. [Google Scholar] [CrossRef]
- Murphy, C.G. Determinants of chorus tenure in barking treefrogs (Hyla gratiosa). Behav. Ecol. Sociobiol. 1994, 34, 285–294. [Google Scholar] [CrossRef]
- Legett, H.D.; Page, R.A.; Bernal, X.E. Synchronized mating signals in a communication network: The challenge of avoiding predators while attracting mates. Proc. R. Soc. B 2019, 286, 20191067. [Google Scholar] [CrossRef]
- Ryan, M.J.; Tuttle, M.D.; Taft, L.K. The costs and benefits of frog chorusing behavior. In Behavioral Ecology and Sociobiology; Springer: Berlin/Heidelberg, Germany, 1981; pp. 273–278. [Google Scholar]
- Adams, A.J.; Kupferberg, S.J.; Wilber, M.Q.; Pessier, A.P.; Grefsrud, M.; Bobzien, S.; Vredenburg, V.T.; Briggs, C.J. Extreme drought, host density, sex, and bullfrogs influence fungal pathogen infection in a declining lotic amphibian. Ecosphere 2017, 8, e01740. [Google Scholar] [CrossRef]
- Leary, C.J. Close-range vocal signals elicit a stress response in male green treefrogs: Resolution of an androgen-based conflict. Anim. Behav. 2014, 96, 39–48. [Google Scholar] [CrossRef]
- Romero, M.L.; Butler, L.K. Endocrinology of stress. Int. J. Comp. Psychol. 2007, 20, 89–95. [Google Scholar] [CrossRef]
- Moore, I.T.; Jessop, T.S. Stress, reproduction, and adrenocortical modulation in amphibians and reptiles. Horm. Behav. 2003, 43, 39–47. [Google Scholar] [CrossRef] [PubMed]
- Reeder, N.M.; Pessier, A.P.; Vredenburg, V.T. A reservoir species for the emerging amphibian pathogen Batrachochytrium dendrobatidis thrives in a landscape decimated by disease. PLoS ONE 2012, 7, e33567. [Google Scholar] [CrossRef]
- Kärvemo, S.; Laurila, A.; Höglund, J. Urban environment and reservoir host species are associated with Batrachochytrium dendrobatidis infection prevalence in the common toad. Dis. Aquat. Org. 2019, 134, 33–42. [Google Scholar] [CrossRef]








Disclaimer/Publisher’s Note: The statements, opinions and data contained in all publications are solely those of the individual author(s) and contributor(s) and not of MDPI and/or the editor(s). MDPI and/or the editor(s) disclaim responsibility for any injury to people or property resulting from any ideas, methods, instructions or products referred to in the content. |
© 2025 by the authors. Licensee MDPI, Basel, Switzerland. This article is an open access article distributed under the terms and conditions of the Creative Commons Attribution (CC BY) license (https://creativecommons.org/licenses/by/4.0/).
Share and Cite
Lee, J.-E.; Park, J.-K.; Do, Y. Analysis of Reproductive Strategies and Immunological Interactions in Batrachochytrium dendrobatidis-Resistant Japanese Tree Frogs. Animals 2025, 15, 154. https://doi.org/10.3390/ani15020154
Lee J-E, Park J-K, Do Y. Analysis of Reproductive Strategies and Immunological Interactions in Batrachochytrium dendrobatidis-Resistant Japanese Tree Frogs. Animals. 2025; 15(2):154. https://doi.org/10.3390/ani15020154
Chicago/Turabian StyleLee, Ji-Eun, Jun-Kyu Park, and Yuno Do. 2025. "Analysis of Reproductive Strategies and Immunological Interactions in Batrachochytrium dendrobatidis-Resistant Japanese Tree Frogs" Animals 15, no. 2: 154. https://doi.org/10.3390/ani15020154
APA StyleLee, J.-E., Park, J.-K., & Do, Y. (2025). Analysis of Reproductive Strategies and Immunological Interactions in Batrachochytrium dendrobatidis-Resistant Japanese Tree Frogs. Animals, 15(2), 154. https://doi.org/10.3390/ani15020154

