The Interplay of TLR-NFκB Signalling Pathway and Functional Immune-Related Enzymes in the Inflammatory Response of Ciona robusta
Abstract
Simple Summary
Abstract
1. Introduction
2. Materials and Methods
2.1. Ascidian Collection and Experimental Design
2.2. Immunohistochemistry
2.3. Extract Preparation and Protein Concentration
2.4. Phenoloxidase (PO)
2.5. Glutathione Peroxidase (GPx)
2.6. Lysozyme (LYS)
2.7. Alkaline Phosphatase (ALP) and Esterase (EST)
2.8. Statistical Analyses
3. Results
3.1. TLR4 and NFκB Immunolocalization
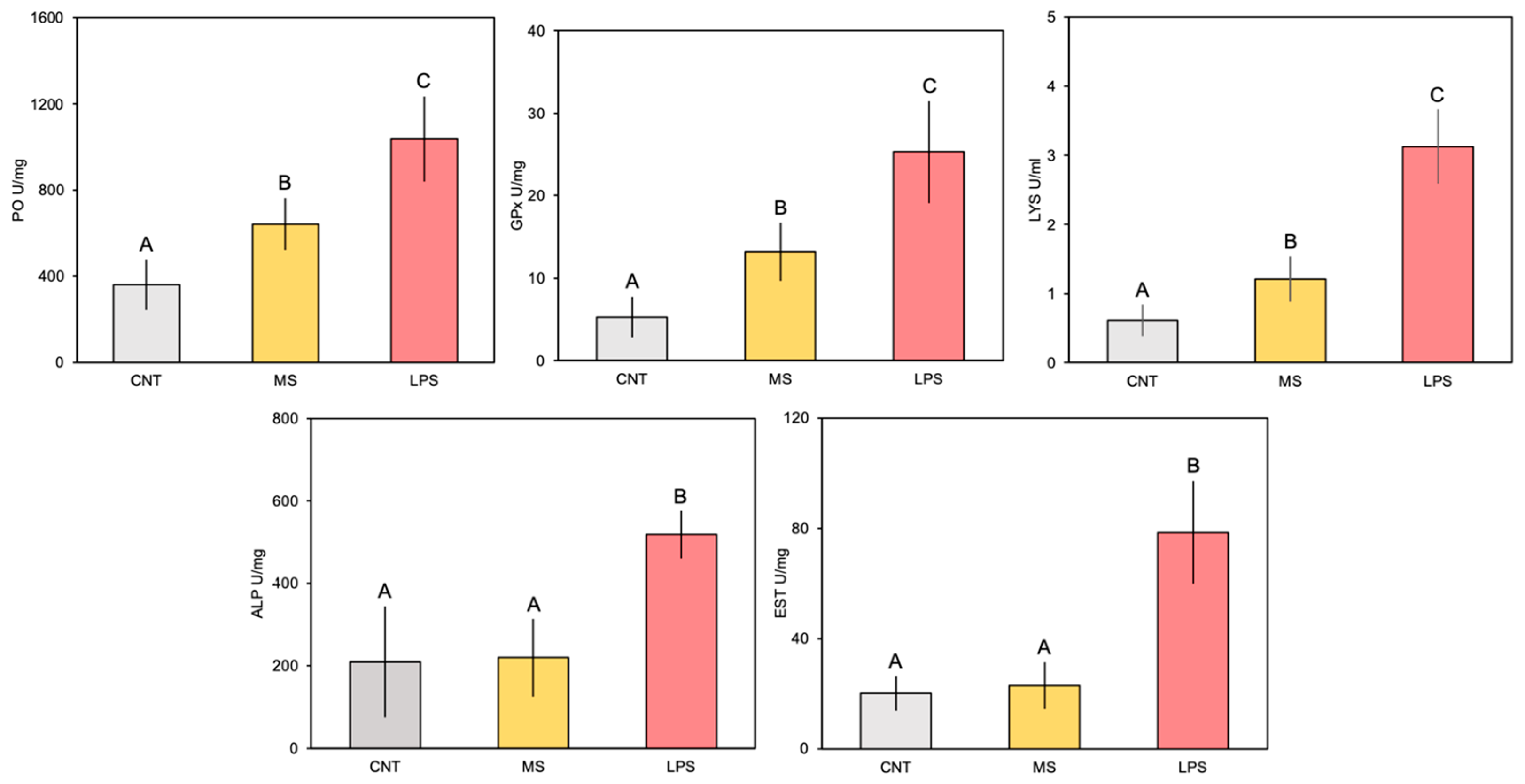
3.2. Enzymatic Response
4. Discussion
5. Conclusions
Supplementary Materials
Author Contributions
Funding
Institutional Review Board Statement
Informed Consent Statement
Data Availability Statement
Conflicts of Interest
References
- Delsuc, F.; Brinkmann, H.; Chourrout, D.; Philippe, H. Tunicates and not cephalochordates are the closest living relatives of vertebrates. Nature 2006, 439, 965–968. [Google Scholar] [CrossRef] [PubMed]
- Delsuc, F.; Tsagkogeorga, G.; Lartillot, N.; Philippe, H. Additional molecular support for the new chordate phylogeny. Genesis 2008, 46, 592–604. [Google Scholar] [CrossRef] [PubMed]
- Vizzini, A. Gene expression and regulation of molecules involved in pharynx inflammatory response induced by LPS in Ciona intestinalis. Invertebr. Surviv. J. 2017, 14, 119–128. [Google Scholar] [CrossRef]
- Longo, V.; Parrinello, D.; Longo, A.; Parisi, M.G.; Parrinello, N.; Colombo, P.; Cammarata, M. The conservation and diversity of ascidian cells and molecules involved in the inflammatory reaction: The Ciona robusta model. Fish Shellfish Immunol. 2021, 119, 384–396. [Google Scholar] [CrossRef] [PubMed]
- Azumi, K.; De Santis, R.; De Tomaso, A.; Rigoutsos, I.; Yoshizaki, F.; Pinto, M.R.; Marino, R.; Shida, K.; Ikeda, M.; Ikeda, M.; et al. Genomic analysis of immunity in a Urochordate and the emergence of the vertebrate immune system: “Waiting for Godot”. Immunogenetics 2003, 55, 570–581. [Google Scholar] [CrossRef] [PubMed]
- Parrinello, N.; Vizzini, A.; Salerno, G.; Sanfratello, M.A.; Cammarata, M.; Arizza, V.; Vazzana, M.; Parrinello, D. Inflamed adult pharynx tissues and swimming larva of Ciona intestinalis share Ci TNFα-producing cells. Cell Tissue Res. 2010, 341, 299–311. [Google Scholar] [CrossRef] [PubMed][Green Version]
- Arizza, V.; Bonura, A.; La Paglia, L.; Urso, A.; Pinsino, A.; Vizzini, A. Transcriptional and in silico analyses of MIF cytokine and TLR signalling interplay in the LPS inflammatory response of Ciona robusta. Sci. Rep. 2020, 10, 11339. [Google Scholar] [CrossRef] [PubMed]
- Sasaki, N.; Ogasawara, M.; Sekiguchi, T.; Kusumoto, S.; Satake, H. Toll-like receptors of the ascidian Ciona intestinalis: Prototypes with hybrid functionalities of vertebrate Toll-like receptors. J. Biol. Chem. 2009, 284, 27336–27343. [Google Scholar] [CrossRef] [PubMed]
- Ozinsky, A.; Underhill, D.M.; Fontenot, J.D.; Hajjar, A.M.; Smith, K.D.; Wilson, C.B.; Schroeder, L.; Aderem, A. The repertoire for pattern recognition of pathogens by the innate immune system is defined by cooperation between toll-like receptors. Proc. Natl. Acad. Sci. USA 2000, 97, 13766–13771. [Google Scholar] [CrossRef]
- Akira, S.; Uematsu, S.; Takeuchi, O. Pathogen recognition and innate immunity. Cell 2006, 124, 783–801. [Google Scholar] [CrossRef]
- Muzio, M.; Ni, J.; Feng, P.; Dixit, V.M. IRAK (Pelle) family member IRAK-2 and MyD88 as proximal mediators of IL-1 signaling. Science 1997, 278, 1612–1615. [Google Scholar] [CrossRef] [PubMed]
- Wesche, H.; Henzel, W.J.; Shillinglaw, W.; Li, S.; Cao, Z. MyD88: An adapter that recruits IRAK to the IL-1 receptor complex. Immunity 1997, 7, 837–847. [Google Scholar] [CrossRef] [PubMed]
- Häcker, H.; Redecke, V.; Blagoev, B.; Kratchmarova, I.; Hsu, L.C.; Wang, G.G.; Kamps, M.P.; Raz, E.; Wagner, H.; Häcker, H.; et al. Specificity in Toll-like receptor signalling through distinct effector functions of TRAF3 and TRAF6. Nature 2006, 439, 204–207. [Google Scholar] [CrossRef] [PubMed]
- Oeckinghaus, A.; Ghosh, S. The NF-κB family of transcription factors and its regulation. Cold Spring Harb. Perspect. Biol. 2009, 1, a000034. [Google Scholar] [CrossRef] [PubMed]
- Sun, S.C.; Chang, J.H.; Jin, J. Regulation of nuclear factor-κB in autoimmunity. Trends Immunol. 2013, 34, 282–289. [Google Scholar] [CrossRef]
- Beinke, S.; Ley, S.C. Functions of NF-κB1 and NF-κB2 in immune cell biology. Biochem. J. 2004, 382, 393–409. [Google Scholar] [CrossRef]
- Vallabhapurapu, S.; Karin, M. Regulation and function of NF-κB transcription factors in the immune system. Annu. Rev. Immunol. 2009, 27, 693–733. [Google Scholar] [CrossRef]
- Sun, S.C. Non-canonical NF-κB signaling pathway. Cell Res. 2011, 21, 71–85. [Google Scholar] [CrossRef]
- Sun, S.C.; Ley, S.C. New insights into NF-κB regulation and function. Trends Immunol. 2008, 29, 469–478. [Google Scholar] [CrossRef]
- Zhang, H.; Sun, S.C. NF-κB in inflammation and renal diseases. Cell Biosci. 2015, 5, 63. [Google Scholar] [CrossRef]
- Shimada, M.; Satoh, N.; Yokosawa, H. Involvement of Rel/NF-κB in regulation of ascidian notochord formation. Dev. Growth Differ. 2001, 43, 145–154. [Google Scholar] [CrossRef] [PubMed]
- Kawai, N.; Takahashi, H.; Nishida, H.; Yokosawa, H. Regulation of NF-κB/Rel by IκB is essential for ascidian notochord formation. Dev. Biol. 2005, 277, 80–91. [Google Scholar] [CrossRef] [PubMed]
- Parrinello, N.; Arizza, V.; Chinnici, C.; Parrinello, D.; Cammarata, M. Phenoloxidases in ascidian hemocytes: Characterization of the pro-phenoloxidase activating system. Comp. Biochem. Physiol. Part B Biochem. Mol. Biol. 2003, 135, 583–591. [Google Scholar] [CrossRef] [PubMed]
- Cammarata, M.; Arizza, V.; Cianciolo, C.; Parrinello, D.; Vazzana, M.; Vizzini, A.; Salerno, G.; Parrinello, N. The prophenoloxidase system is activated during the tunic inflammatory reaction of Ciona intestinalis. Cell Tissue Res. 2008, 333, 481–492. [Google Scholar] [CrossRef] [PubMed][Green Version]
- Daugavet, M.A.; Dobrynina, M.I.; Shaposhnikova, T.G.; Solovyeva, A.I.; Mittenberg, A.G.; Shabelnikov, S.V.; Babkina, I.Y.; Grinchenko, A.V.; Ilyaskina, D.V.; Podgornaya, O.I. New putative phenol oxidase in ascidian blood cells. Sci. Rep. 2022, 12, 14326. [Google Scholar] [CrossRef] [PubMed]
- Immesberger, A.; Burmester, T. Putative phenoloxidases in the tunicate Ciona intestinalis and the origin of the arthropod hemocyanin superfamily. J. Comp. Physiol. B 2004, 174, 169–180. [Google Scholar] [CrossRef] [PubMed]
- Amparyup, P.; Sutthangkul, J.; Charoensapsri, W.; Tassanakajon, A. Pattern recognition protein binds to lipopolysaccharide and β-1, 3-glucan and activates shrimp prophenoloxidase system. J. Biol. Chem. 2012, 287, 10060–10069. [Google Scholar] [CrossRef]
- Cammarata, M.; Parrinello, N. The ascidian prophenoloxidase activating system. Invertebr. Surviv. J. 2009, 6 (Suppl. S1), S67–S76. [Google Scholar]
- Vizzini, A.; Parrinello, D.; Sanfratello, M.A.; Trapani, M.R.; Mangano, V.; Parrinello, N.; Cammarata, M. Upregulated transcription of phenoloxidase genes in the pharynx and endostyle of Ciona intestinalis in response to LPS. J. Invertebr. Pathol. 2015, 126, 6–11. [Google Scholar] [CrossRef]
- Halliwell, B.; Gutteridge, J.M. Free Radicals in Biology and Medicine; Oxford University Press: New York, NY, USA, 2015. [Google Scholar]
- Lesser, M.P.; Bythell, J.C.; Gates, R.D.; Johnstone, R.W.; Hoegh-Guldberg, O. Are infectious diseases really killing corals? Alternative interpretations of the experimental and ecological data. J. Exp. Mar. Biol. Ecol. 2007, 346, 36–44. [Google Scholar] [CrossRef]
- Jollès, P.; Jollès, J. What’s new in lysozyme research? Always a model system, today as yesterday. Mol. Cell. Biochem. 1984, 63, 165–189. [Google Scholar] [CrossRef] [PubMed]
- Di Falco, F.; Cammarata, M.; Vizzini, A. Molecular characterisation, evolution and expression analysis of g-type lysozymes in Ciona intestinalis. Dev. Comp. Immunol. 2017, 67, 457–463. [Google Scholar] [CrossRef] [PubMed]
- Van Herreweghe, J.M.; Michiels, C.W. Invertebrate lysozymes: Diversity and distribution, molecular mechanism and in vivo function. J. Biosci. 2012, 37, 327–348. [Google Scholar] [CrossRef] [PubMed]
- Li, H.; Wei, X.; Yang, J.; Zhang, R.; Zhang, Q.; Yang, J. The bacteriolytic mechanism of an invertebrate-type lysozyme from mollusk Octopus ocellatus. Fish Shellfish Immunol. 2019, 93, 232–239. [Google Scholar] [CrossRef] [PubMed]
- Parisi, M.G.; Lentini, A.; Cammarata, M. Seasonal changes in morpho-functional aspects of two Anemonia sulcata (Pennant, 1777) wild populations. Mar. Biodivers. 2017, 47, 561–573. [Google Scholar] [CrossRef]
- Stamatis, H.; Christakopoulos, P.; Kekos, D.; Macris, B.J.; Kolisis, F.N. Studies on the synthesis of short-chain geranyl esters catalysed by Fusarium oxysporum esterase in organic solvents. J. Mol. Catal. B Enzym. 1998, 4, 229–236. [Google Scholar] [CrossRef]
- Copeland, R.A. Enzymes: A Practical Introduction to Structure, Mechanism, and Data Analysis; John Wiley & Sons: Hoboken, NJ, USA, 2023. [Google Scholar]
- Lopes, D.B.; Fraga, L.P.; Fleuri, L.F.; Macedo, G.A. Lipase and esterase: To what extent can this classification be applied accurately? Food Sci. Technol. 2011, 31, 603–613. [Google Scholar] [CrossRef]
- Vizzini, A.; Pergolizzi, M.; Vazzana, M.; Salerno, G.; Di Sano, C.; Macaluso, P.; Arizza, V.; Parrinello, D.; Cammarata, M.; Parrinello, N. FACIT collagen (1α-chain) is expressed by hemocytes and epidermis during the inflammatory response of the ascidian Ciona intestinalis. Dev. Comp. Immunol. 2008, 32, 682–692. [Google Scholar] [CrossRef]
- Parrinello, N.; Vizzini, A.; Arizza, V.; Salerno, G.; Parrinello, D.; Cammarata, M.; Giaramita, F.T.; Vazzana, M. Enhanced expression of a cloned and sequenced Ciona intestinalis TNFα-like (CiTNFα) gene during the LPS-induced inflammatory response. Cell Tissue Res. 2008, 334, 305–317. [Google Scholar] [CrossRef]
- Bradford, M.M. A rapid and sensitive method for the quantitation of microgram quantities of protein utilizing the principle of protein-dye binding. Anal. Biochem. 1976, 72, 248–254. [Google Scholar] [CrossRef]
- Winder, A.J.; Harris, H. New assays for the tyrosine hydroxylase and dopa oxidase activities of tyrosinase. Eur. J. Biochem. 1991, 198, 317–326. [Google Scholar] [CrossRef] [PubMed]
- Ross, N.W.; Firth, K.J.; Wang, A.; Burka, J.F.; Johnson, S.C. Changes in hydrolytic enzyme activities of naive Atlantic salmon Salmo salar skin mucus due to infection with the salmon louse Lepeophtheirus salmonis and cortisol implantation. Dis. Aquat. Org. 2000, 41, 43–51. [Google Scholar] [CrossRef] [PubMed]
- Parry, R.M., Jr.; Chandan, R.C.; Shahani, K.M. A rapid and sensitive assay of muramidase. Proc. Soc. Exp. Biol. Med. 1965, 119, 384–386. [Google Scholar] [CrossRef] [PubMed]
- Zeng, L.; Swalla, B.J. Molecular phylogeny of the protochordates: Chordate evolution. Can. J. Zool. 2005, 83, 24–33. [Google Scholar] [CrossRef]
- Tsagkogeorga, G.; Turon, X.; Hopcroft, R.R.; Tilak, M.K.; Feldstein, T.; Shenkar, N.; Loya, Y.; Huchon, D.; Douzery, E.J.P.; Delsuc, F. An updated 18S rRNA phylogeny of tunicates based on mixture and secondary structure models. BMC Evol. Biol. 2009, 9, 187. [Google Scholar] [CrossRef] [PubMed]
- Ermak, T.H. The renewing cell populations of ascidians. Am. Zool. 1982, 22, 795–805. [Google Scholar] [CrossRef]
- Sawada, T.; Zhang, J.; Cooper, E.L. Sustained viability and profileration of hemocytes from the cultured pharynx of Styela clava. Mar. Biol. 1994, 119, 597–603. [Google Scholar] [CrossRef]
- Peddie, C.M.; Smith, V.J. “Lymphocyte-like” cells in ascidians: Precursors for vertebrate lymphocytes? Fish Shellfish Immunol. 1995, 5, 613–629. [Google Scholar] [CrossRef]
- Peddie, C.M.; Richest, A.C.; Smith, V.J. Proliferation of undifferentiated blood cells from the solitary ascidian, Ciona intestinalis in vitro. Dev. Comp. Immunol. 1995, 19, 377–387. [Google Scholar] [CrossRef]
- Trapani, M.R.; Sanfratello, M.A.; Mangano, V.; Parrinello, D.; Vizzini, A.; Cammarata, M. Phenoloxidases of different sizes are modulated by LPS inoculation into Ciona intestinalis tunic and pharynx. Invertebr. Surviv. J. 2015, 12, 75–81. Available online: https://www.isj.unimore.it/index.php/ISJ/issue/view/2 (accessed on 24 July 2024).
- Nappi, A.J.; Ottaviani, E. Cytotoxicity and cytotoxic molecules in invertebrates. BioEssays 2000, 22, 469–480. [Google Scholar] [CrossRef]
- Sadd, B.M.; Schmid-Hempel, P. PERSPECTIVE: Principles of ecological immunology. Evol. Appl. 2009, 2, 113–121. [Google Scholar] [CrossRef] [PubMed]
- Hikima, J.I.; Minagawa, S.; Hirono, I.; Aoki, T. Molecular cloning, expression and evolution of the Japanese flounder goose-type lysozyme gene, and the lytic activity of its recombinant protein. Biochim. Biophys. Acta BBA-Gene Struct. Expr. 2001, 1520, 35–44. [Google Scholar] [CrossRef]
- Zheng, W.; Tian, C.; Chen, X. Molecular characterization of goose-type lysozyme homologue of large yellow croaker and its involvement in immune response induced by trivalent bacterial vaccine as an acute-phase protein. Immunol. Lett. 2007, 113, 107–116. [Google Scholar] [CrossRef]
- De Petrocellis, L.; Orlando, P.; Pierobon, P.; De Falco, M.; Ruggiero, A.M.; Stefano, G.S.; Tino, A.; Grippo, P. Kelletinin A, from the marine mollusc Buccinulum corneum, promotes differentiation in Hydra vulgaris. Res. Commun. Mol. Pathol. Pharmacol. 1999, 103, 17–28. Available online: http://refhub.elsevier.com/S0022-2011(16)30010-6/h0050 (accessed on 24 July 2024).



| Ordinary One-Way ANOVA | F | p Value | R Square |
|---|---|---|---|
| TLR4 | 170.00 | <0.0001 | 0.95 |
| NFκB | 51.24 | <0.0001 | 0.87 |
| Ordinary One-Way ANOVA | F | p Value | R Square |
|---|---|---|---|
| PO | 15.29 | 0.0044 | 0.83 |
| GPx | 16.08 | 0.0039 | 0.84 |
| LYS | 30.52 | 0.0007 | 0.91 |
| EST | 42.11 | <0.0001 | 0.84 |
| ALP | 12.09 | 0.0028 | 0.72 |
Disclaimer/Publisher’s Note: The statements, opinions and data contained in all publications are solely those of the individual author(s) and contributor(s) and not of MDPI and/or the editor(s). MDPI and/or the editor(s) disclaim responsibility for any injury to people or property resulting from any ideas, methods, instructions or products referred to in the content. |
© 2024 by the authors. Licensee MDPI, Basel, Switzerland. This article is an open access article distributed under the terms and conditions of the Creative Commons Attribution (CC BY) license (https://creativecommons.org/licenses/by/4.0/).
Share and Cite
Bisanti, L.; La Corte, C.; Dara, M.; Bertini, F.; Vizioli, J.; Parisi, M.G.; Cammarata, M.; Parrinello, D. The Interplay of TLR-NFκB Signalling Pathway and Functional Immune-Related Enzymes in the Inflammatory Response of Ciona robusta. Animals 2024, 14, 2169. https://doi.org/10.3390/ani14152169
Bisanti L, La Corte C, Dara M, Bertini F, Vizioli J, Parisi MG, Cammarata M, Parrinello D. The Interplay of TLR-NFκB Signalling Pathway and Functional Immune-Related Enzymes in the Inflammatory Response of Ciona robusta. Animals. 2024; 14(15):2169. https://doi.org/10.3390/ani14152169
Chicago/Turabian StyleBisanti, Luca, Claudia La Corte, Mariano Dara, Federica Bertini, Jacopo Vizioli, Maria Giovanna Parisi, Matteo Cammarata, and Daniela Parrinello. 2024. "The Interplay of TLR-NFκB Signalling Pathway and Functional Immune-Related Enzymes in the Inflammatory Response of Ciona robusta" Animals 14, no. 15: 2169. https://doi.org/10.3390/ani14152169
APA StyleBisanti, L., La Corte, C., Dara, M., Bertini, F., Vizioli, J., Parisi, M. G., Cammarata, M., & Parrinello, D. (2024). The Interplay of TLR-NFκB Signalling Pathway and Functional Immune-Related Enzymes in the Inflammatory Response of Ciona robusta. Animals, 14(15), 2169. https://doi.org/10.3390/ani14152169

