Energy and Arginine Density in the Diets of Arbor Acre Hens from 40 to 50 Weeks of Age: Effects on Development and Lipid Metabolism of Embryos
Abstract
:Simple Summary
Abstract
1. Introduction
2. Materials and Methods
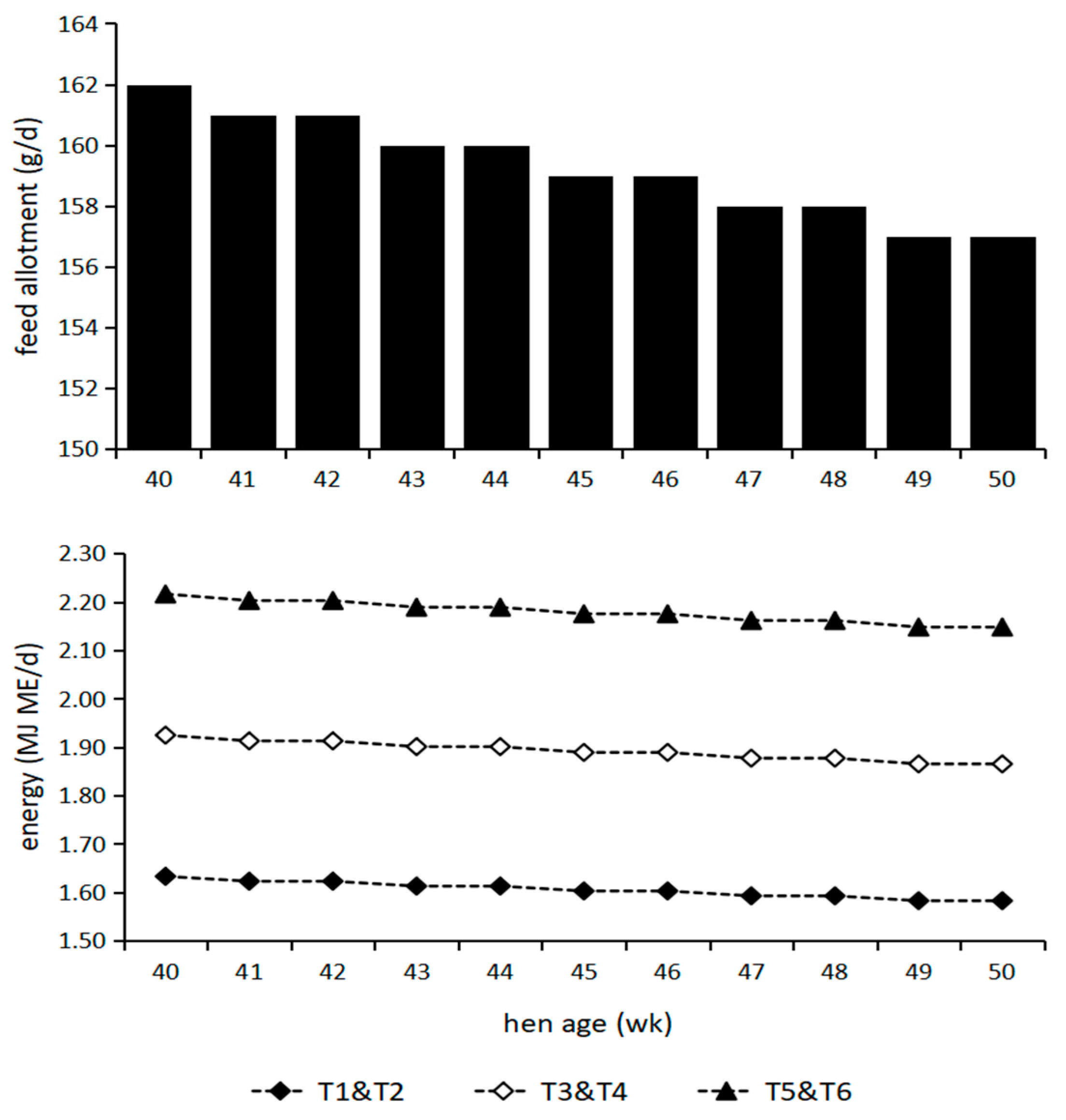
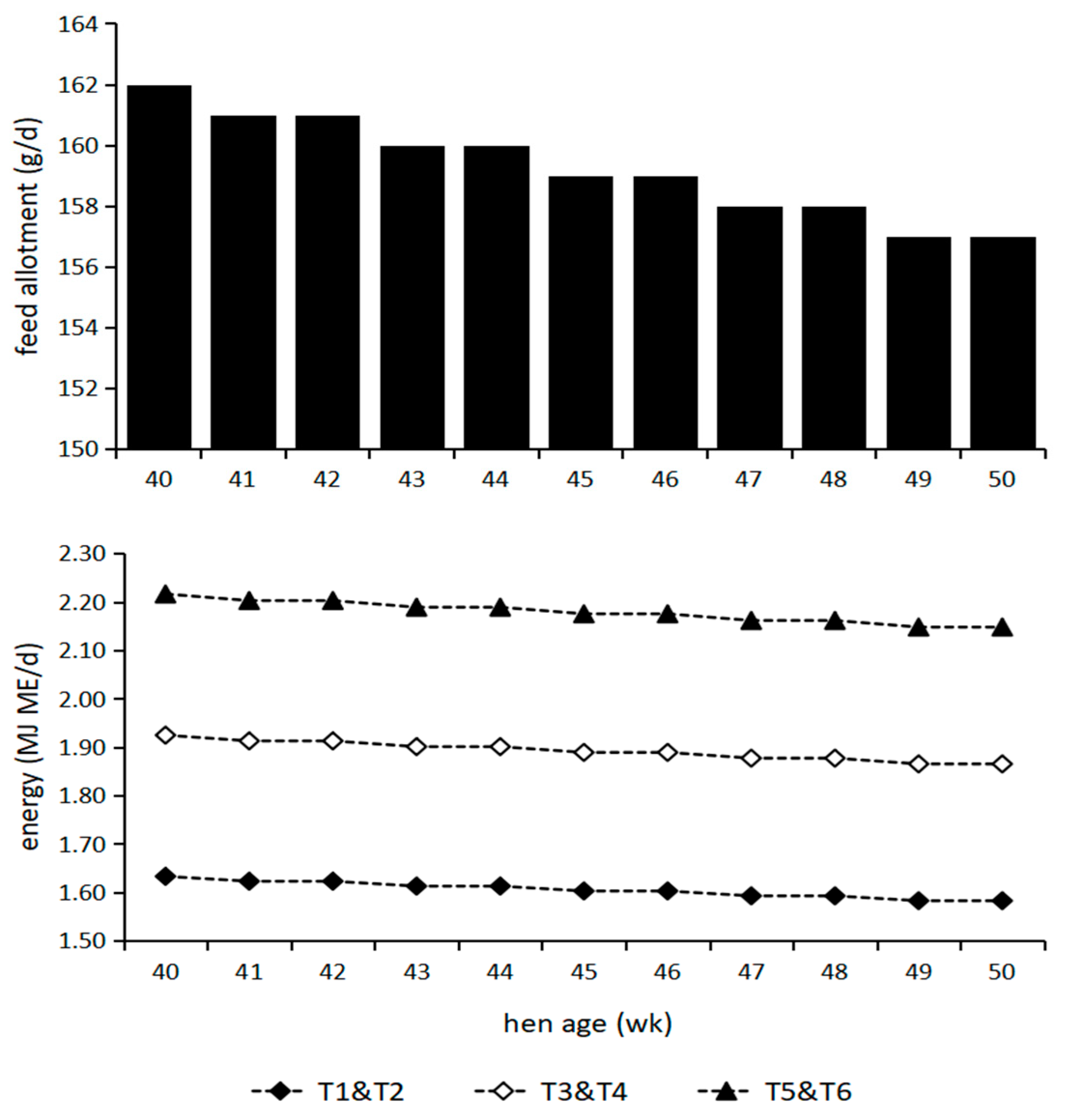
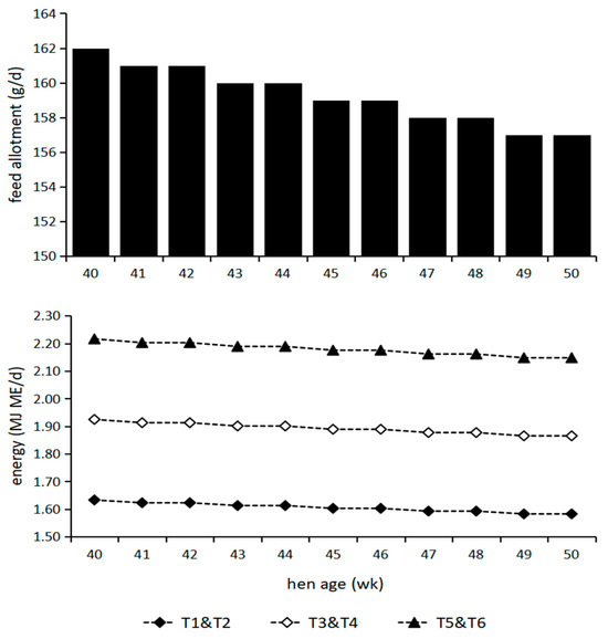
2.1. Birds and Experimental Design
2.2. Feeding and Management
2.3. Data and Sample Collection
2.4. Statistical Analysis
3. Results
3.1. Embryo Growth and Development
3.2. Biochemical and Endocrine Indexes of Embryonic Blood
4. Discussion
5. Conclusions
Author Contributions
Funding
Institutional Review Board Statement
Data Availability Statement
Conflicts of Interest
References
- Surai, P.F. Effect of selenium and vitamin E content of the maternal diet on the antioxidant system of the yolk and the developing chick. Br. Poult. Sci. 2000, 41, 235–243. [Google Scholar] [CrossRef]
- Tona, K.; Onagbesan, O.; De Ketelaere, B.; Decuypere, E.; Bruggeman, V. Effects of age of broiler breeders and egg storage on egg quality, hatchability, chick quality, chick weight, and chick posthatch growth to forty-two days. J. Appl. Poult. Res. 2004, 13, 10–18. [Google Scholar] [CrossRef]
- Iqbal, J.; Mukhtar, N.; Rehman, Z.U.; Khan, S.H.; Ahmad, T.; Anjum, M.S.; Pasha, R.H.; Umar, S. Effects of egg weight on the egg quality, chick quality, and broiler performance at the later stages of production (week 60) in broiler breeders. J. Appl. Poult. Res. 2017, 26, 183–191. [Google Scholar] [CrossRef]
- Johnson-Dahl, M.L.; Zuidhof, M.J.; Korver, D.R. The effect of maternal canthaxanthin supplementation and hen age on breeder performance, early chick traits, and indices of innate immune function. Poult. Sci. 2017, 96, 634–646. [Google Scholar] [CrossRef]
- Li, F.; Ning, H.; Duan, X.; Chen, Z.; Xu, L. Effect of dietary l-arginine of broiler breeder hens on embryonic development, apparent metabolism, and immunity of offspring. Domest. Anim. Endocrinol. 2021, 74, 106537. [Google Scholar] [CrossRef]
- Saunders-Blades, J.L.; Korver, D.R. Effect of hen age and maternal vitamin D source on performance, hatchability, bone mineral density, and progeny in vitro early innate immune function. Poult. Sci. 2015, 94, 1233–1246. [Google Scholar] [CrossRef]
- NY/T 33-2004; Nutrient Requirements of Swine. Ministry of Agriculture and Rural Development: Beijing, China, 2004.
- Holsheimer, J.P.; Veerkamp, C.H. Effect of dietary energy, protein, and lysine content on performance and yields of two strains of male broiler chicks. Poult. Sci. 1992, 71, 872–879. [Google Scholar] [CrossRef]
- Zhang, M.; Li, Q.; Liu, P.; Xu, L.; Su, K.; Wang, D.; Zhou, R.; Chen, H. Study on Dietary Energy and Protein Requirements of Dawufen No.1 Commercial Layer Chicks Aged 5 to 9 Weeks. J. Anim. Nutr. 2018, 30, 2529–2540. [Google Scholar]
- Akinmoladun, O.F.; Falowo, A.B. Energy manipulation of isonitrogenous diets for broiler chickens. S. Afr. J. Anim. Sci. 2021, 51, 1. [Google Scholar] [CrossRef]
- Zuidhof, M.J. Lifetime productivity of conventionally and precision-fed broiler breeders. Poult. Sci. 2018, 97, 3921–3937. [Google Scholar] [CrossRef]
- Avila, L.P.; Sweeney, K.M.; Evans, C.R.; White, D.L.; Kim, W.K.; Regmi, P.; Williams, S.M.; Nicholds, J.; Wilson, J.L. Body composition, gastrointestinal, and reproductive differences between broiler breeders fed using everyday or skip-a-day rearing programs. Poult. Sci. 2023, 102, 102853. [Google Scholar] [CrossRef]
- Heijmans, J.; Duijster, M.; Gerrits, W.J.; Kemp, B.; Kwakkel, R.P.; van den Brand, H. Impact of growth curve and dietary energy-to-protein ratio on productive performance of broiler breeders. Poult. Sci. 2021, 100, 101131. [Google Scholar] [CrossRef]
- Kersten, S. Mechanisms of nutritional and hormonal regulation of lipogenesis. EMBO Rep. 2001, 2, 282–286. [Google Scholar] [CrossRef]
- Ginsberg, H.N. New perspectives on atherogenesis: Role of abnormal triglyceride-rich lipoprotein metabolism. Circulation 2002, 106, 2137–2142. [Google Scholar] [CrossRef]
- Han, G.P.; Kim, D.Y.; Kim, K.H.; Kim, J.H.; Kil, D.Y. Effect of dietary concentrations of metabolizable energy and neutral detergent fiber on productive performance, egg quality, fatty liver incidence, and hepatic fatty acid metabolism in aged laying hens. Poult. Sci. 2023, 102, 102497. [Google Scholar] [CrossRef]
- Pérez-Bonilla, A.; Novoa, S.; García, J.; Mohiti-Asli, M.; Frikha, M.; Mateos, G.G. Effects of energy concentration of the diet on productive performance and egg quality of brown egg-laying hens differing in initial body weight. Poult. Sci. 2012, 91, 3156–3166. [Google Scholar] [CrossRef]
- Castro, F.L.; Su, S.; Choi, H.; Koo, E.; Kim, W.K. L-Arginine supplementation enhances growth performance, lean muscle, and bone density but not fat in broiler chickens. Poult. Sci. 2019, 98, 1716–1722. [Google Scholar] [CrossRef]
- Uyanga, V.A.; Xin, Q.; Sun, M.; Zhao, J.; Wang, X.; Jiao, H.; Onagbesan, O.M.; Lin, H. Research Note: Effects of dietary L-Arginine on the production performance and gene expression of reproductive hormones in laying hens fed low crude protein diets. Poult. Sci. 2022, 101, 101816. [Google Scholar] [CrossRef]
- Gao, T.; Zhao, M.M.; Zhang, L.; Li, J.L.; Yu, L.L.; Lv, P.A.; Gao, F.; Zhou, G.H. Effects of in ovo feeding of l-arginine on the development of lymphoid organs and small intestinal immune barrier function in posthatch broilers. Anim. Feed. Sci. Technol. 2017, 225, 8–19. [Google Scholar] [CrossRef]
- Esser, A.F.; Gonçalves, D.R.; Rorig, A.; Cristo, A.B.; Perini, R.; Fernandes, J.I. Effects of guanidionoacetic acid and arginine supplementation to vegetable diets fed to broiler chickens subjected to heat stress before slaughter. Braz. J. Poult. Sci. 2017, 19, 429–436. [Google Scholar] [CrossRef]
- Toghyani, M.; Tahmasebi, S.; Modaresi, M.; Fosoul, S.S. Effect of Arginine and Threonine in Ovo Supplementation on Immune Responses and Some Serum Biochemical Attributes in Broiler Chickens. Ital. J. Anim. Sci. 2019, 18, 342–349. [Google Scholar] [CrossRef]
- Jobgen, W.S.; Fried, S.K.; Fu, W.J.; Meininger, C.J.; Wu, G. Regulatory role for the Arginine- nitric oxide pathway in metabolism of energy substrates. Nutr. Biochem. 2006, 17, 571–588. [Google Scholar] [CrossRef]
- Jobgen, W.S.; Meininger, C.J.; Smith, S.B.; Spencer, T.E.; Jobgen, S.C.; Lee, M.-J.; Fried, S.K.; Wu, G. Dietary Arginine supplementation reduces fat mass in diet- induced- obese rats by improving glucose and fatty acid metabolism. FASEB J. 2007, 21, 537–538. [Google Scholar] [CrossRef]
- Wu, G.Y.; Lee, M.J.; Fried, S.K. The Arginine- NO pathway modulates lipolysis in adipose tissues of obese human subjects. FASEB J. 2007, 21, 830–831. [Google Scholar] [CrossRef]
- Yousif, A.M.F. Effect of Dietary L-Arginine Supplementation on Growth Performance, Abdominal Lipid Rate, and Lipid Metabolism in Broiler Chicks. Ph.D. Thesis, Northwest Agriculture and Forestry University, Xianyang, China, 2013. [Google Scholar]
- Vaughn, S.E. Review of the third edition of the Guide for the Care and Use of Agricultural Animals in Research and Teaching (Short Survey). J. Am. Assoc. Lab. Anim. Sci. 2012, 51, 298–300. [Google Scholar] [PubMed]
- Tables of feed ingredients and nutritional values in China, 15th edition, 2004. China Feed 2004, 21, 28–33.
- Shan, Y.L.; Huang, R.L. (Eds.) Modern Broiler Production Manual; China Agricultural Press: Beijing, China, 2001. [Google Scholar]
- Niu, S.; Xu, L.; Zhang, H.; Lu, L.; Lv, R.; Tian, B. Effects of maternal dietary energy level on lipid metabolism related indexes in embryonic yolk and serum during the middle laying period in broiler breeders. Chin. J. Anim. Nutr. 2013, 25, 50–58. [Google Scholar]
- Pinchasov, Y. Relationship between the weight of hatching eggs and subsequent early performance of broiler chicks. Br. Poult. Sci. 1991, 32, 109–115. [Google Scholar] [CrossRef]
- Granghelli, C.A.; Burbarelli, M.F.C.; Lelis, K.D.; Pelissari, P.H.; Utimi, N.B.P.; Leite, B.G.S.; Roque, F.A.; Zorzetto, P.S.; Balieiro, J.C.C.; Araujo, L.F.; et al. Effects of dietary metabolizable energy levels and beak trimming on the performance, egg quality, and economic viability of layers. Poult. Sci. 2019, 98, 5831–5839. [Google Scholar] [CrossRef]
- Li, F.; Mou, S.Y.; Liu, Y.; Jiang, D.; Wang, C.; Chen, Y.L.; Ren, H.L.; Xu, L.M. Maternal dietary energy levels affected the lipid deposition of offspring embryos at the end of the laying period of broiler breeder hens. Ital. J. Anim. Sci. 2018, 17, 180–183. [Google Scholar] [CrossRef]
- Li, F.; Shan, M.X.; Gao, X.; Yang, Y.; Yang, X.; Zhang, Y.Y.; Hu, J.W.; Shan, A.S.; Cheng, B.J. Effects of nutrition restriction of fat- and lean-line broiler breeder hens during the laying period on offspring performance, blood biochemical parameters, and hormone levels. Domest. Anim. Endocrinol. 2019, 68, 73–82. [Google Scholar] [CrossRef]
- Zhang, Y.; Dan, A.; Li, F.; Hu, J.; Wang, L.; Li, Y.; Cheng, B.; Bi, C. Effects of restricted feeding of hens on blood indicators related to lipid metabolism in offspring embryos. China Agric. Sci. 2011, 44, 4088–4095. [Google Scholar]
- Jiang, D. Effect of Low-Energy Diets on Embryonic Fat Metabolism of Broiler Breeders in the Late Egg-Laying Period. Master’s Thesis, Northeast Agricultural University, Harbin, China, 2014. [Google Scholar]
- Laudadio, V.; Passantino, L.; Perillo, A.; Lopresti, G.; Passantino, A.; Khan, R.U.; Tufarelli, V. Productive performance and histological features of intestinal mucosa of broiler chickens fed different dietary protein levels. Poult. Sci. 2012, 91, 265–270. [Google Scholar] [CrossRef]
- Cao, Y.; Wang, Q.; Du, Y.; Liu, F.; Zhang, Y.; Feng, Y.; Jin, F. L-Arginine and docetaxel syner-gistically enhance anti-tumor immunity by modifying the immune status of tumor-bearing mice. Int. Immunopharmacol. 2016, 35, 7–14. [Google Scholar] [CrossRef] [PubMed]
- Thommes, R.C.; Shulman, R.W. Endocrine control of lipid metabolism in the developing chick embryo. Gen. Comp. Endocrinol. 1967, 8, 54–60. [Google Scholar] [CrossRef]
- Lewis, G.F. New Insights Into the Regulation of HDL Metabolism and Reverse Cholesterol Transport. Circ. Res. 2005, 96, 1221–1232. [Google Scholar] [CrossRef] [PubMed]
- Lima, E.D.; de Oliveira, D.H.; de Abreu, M.L.; Rosa, P.V.; de Laurentiz, A.C.; Naves, L.D.; Rodrigues, P.B. Supplemental L-arginine improves feed conversion and modulates lipid metabolism in male and female broilers from 29 to 42 days of age. Animal 2021, 15, 100120. [Google Scholar]
- Fouad, A.M.; El-Senousey, H.K.; Yang, X.J.; Yao, J.H. Dietary L-Arginine supplementation reduces abdominal fat content by modulating lipid metabolism in broiler chickens. Animal 2013, 7, 1239–1245. [Google Scholar] [CrossRef] [PubMed]
- Lee, S.; Lee, K.; Choi, G.; Desai, M.; Lee, S.; Pang, M.; Jo, I.; Kim, Y. Feed restriction during pregnancy/lactation induces programmed changes in lipid, adiponectin and leptin levels with gender differences in rat offspring. J. Matern.-Fetal Neonatal Med. 2013, 26, 908–914. [Google Scholar] [CrossRef]
- Griffin, H.D.; Whitehead, C.C. Plasma lipoprotein concentration as an indicator of fatness in broilers: Development and use of a simple assay for plasma very low density lipoproteins. Br. Poult. Sci. 1982, 23, 307–313. [Google Scholar] [CrossRef]
- Rajman, M.; Juráni, M.; Lamošová, D.; Máčajová, M.; Sedlačková, M.; Košťál, Ľ.; Ježová, D.; Výboh, P. The effects of feed restriction on plasma biochemistry in growing meat type chickens (Gallus gallus). Comp. Biochem. Physiol. Part A Mol. Integr. Physiol. 2006, 145, 363–371. [Google Scholar] [CrossRef]
- Sato, M.; Tachibana, T.; Furuse, M. Total lipid and triacylglycerol contents in the liver of broiler and layer chickens at embryonic stages and hatching. Anim. Sci. J. 2006, 77, 526–531. [Google Scholar] [CrossRef]
- Dewil, E.; Darras, V.M.; Spencer, G.S.; Lauterio, T.J.; Decuypere, E. The regulation of GH-dependent hormones and enzymes after feed restriction in dwarf and control chickens. Life Sci. 1999, 64, 1359–1371. [Google Scholar] [CrossRef]
- Yu, L.L.; Gao, T.; Zhao, M.M.; Lv, P.A.; Zhang, L.; Li, J.L.; Jiang, Y.; Gao, F.; Zhou, G.H. In ovo feeding of L-Arginine alters energy metabolism in post-hatch broilers. Poult. Sci. 2018, 97, 140–148. [Google Scholar] [CrossRef]
- Kim, S.W.; McPherson, R.L.; Wu, G. Dietary Arginine Supplementation Enhances the Growth of Milk-Fed Young Pigs. J. Nutr. 2004, 134, 625–630. [Google Scholar] [CrossRef] [PubMed]
- Xu, Y.Q.; Guo, Y.W.; Shi, B.L.; Yan, S.M.; Guo, X.Y. Dietary Arginine supplementation enhances the growth performance and immune status of broiler chickens. Livest. Sci. 2018, 209, 8–13. [Google Scholar] [CrossRef]
- Pablo, F.D.; Roth, J.; Hernandez, E.; Pruss, R.M. Insulin Is Present in Chicken Eggs and Early Chick Embryos. Endocrinology 1982, 111, 1909–1916. [Google Scholar] [CrossRef] [PubMed]
- Moilanen, E.; Whittle, B.; Moncada, S. Nitric Oxide as a factor in inflammation. In Inflammation Basic Principles and Clinical Correlates, 3rd ed.; Lippincott Williams & Wilkins: Philadelphia, PA, USA, 1999; pp. 787–800. [Google Scholar]
- Mittal, A.; Kakkar, R. Nitric Oxide Synthases and Their Inhibitors: A Review. Lett. Drug Des. Discov. 2020, 17, 228–252. [Google Scholar] [CrossRef]
- Salil, G.; Nevin, K.G.; Rajamohan, T. Arginine-rich coconut kernel diet influences nitric oxide synthase activity in alloxandiabetic rats. J. Sci. Food Agric. 2012, 92, 1903–1908. [Google Scholar] [CrossRef]
- Luo, H.J.; Yang, Z.; Zeng, J.; Luo, X.C.; Liang, K. Effect of l-Arginine on serum no, nos and thymus t cells subsets under heat stress in mice. Acta Nutr. Sin. 2006, 28, 292–295. [Google Scholar]
- Wang, J.; Wang, X.; Xiang, R.; Sun, W. Effect of L-NAME on pulmonary arterial pressure, plasma nitric oxide and pulmonary hypertension syndrome morbidity in broilers. Br. Poult. Sci. 2002, 43, 615–620. [Google Scholar] [CrossRef]
- McQuillan, L.P.; Leung, G.K.; Marsden, P.A.; Kostyk, S.K.; Kourembanas, S. Hypoxia inhibits expression of eNOS via transcriptional and posttranscriptional mechanisms. Am. J. Physiol.-Heart Circ. Physiol. 1994, 267, H1921–H1927. [Google Scholar] [CrossRef] [PubMed]
- Berkenbosch, J.W.; Baribeau, J.; Perreault, T. Decreased synthesis and vasodilation to nitric oxide in piglets with hypoxia-induced pulmonary hypertension. Am. J. Physiol.-Lung Cell. Mol. Physiol. 2000, 278, L276–L283. [Google Scholar] [CrossRef]
- Reeves, J.T.; Ballam, G.; Hofmeister, S.; Pickett, C.; Morris, K.; Peacock, A. Improved arterial oxygenation with feed restriction in rapidly growing broiler chickens. Comp. Biochem. Physiol. A Comp. Physiol. 1991, 99, 481–485. [Google Scholar] [CrossRef] [PubMed]
- Huang, Y.; Pan, J.; Tang, Z.; Li, J.; Tan, X.; Wang, X. Effects of early and late feeding on plasma NO levels, erythrocyte specific volume and cardiac index in broiler chickens. Livest. Vet. Med. 2007, 12, 4–7. [Google Scholar]
- Buyse, J.; Decuypere, E.; Darras, V.M.; Vleurick, L.M.; Kuhn, E.R.; Veldhuis, J.D. Food deprivation and feeding of broiler chickens is associated with rapid and interdependent changes in the somatotrophic and thyrotrophic axes. Br. Poult. Sci. 2000, 41, 107–116. [Google Scholar] [CrossRef] [PubMed]
- Kim, J.W. The endocrine regulation of chicken growth. Asian-Australas. J. Anim. Sci. 2010, 23, 1668–1676. [Google Scholar] [CrossRef]
- Zhang, Y.; Shan, A.; Li, F.; Hu, J.; Wang, L.; Li, Y.; Cheng, B.; Bi, C. Effect of Maternal Feed Restriction on Serum Lipid Metabolism During Embryo Period. Sci. Agric. Sin. 2011, 44, 4088–4095. [Google Scholar]
- Emadi, M.; Kaveh, K.; Bejo, M.H.; Ideris, A.; Jahanshiri, F.; Ivan, M.; Alimon, R.A. Growth Performance and Blood Parameters as Influenced by Different Levels of Dietary Arginine in Broiler Chickens. J. Anim. Vet. Adv. 2012, 9, 70–74. [Google Scholar] [CrossRef]
- Chikhou, F.H.; Moloney, A.P.; Allen, P.; Quirke, J.F.; Austin, F.H.; Roche, J.F. Long-term effects of cimaterol in Friesi an steers: I, Growth, feed efficiency, and selected carcass traits. J. Anim. Sci. 1993, 71, 906–913. [Google Scholar] [CrossRef]
- Oliveira, C.H.; Dias, K.M.; Bernardes, R.D.; Diana, T.F.; Rodrigueiro, R.J.; Calderano, A.A.; Albino, L.F. The effects of Arginine supplementation through different ratios of Arginine: Lysine on performance, skin quality and creatine levels of broiler chickens fed diets reduced in protein content. Poult. Sci. 2022, 101, 102148. [Google Scholar] [CrossRef] [PubMed]
- Vieira, P.M.; Vieira, A.V.; Sanders, E.J.; Steyrer, E.; Nimpf, J.; Schneider, W.J. Chicken yolk contains bona fide high density lipoprotein particles. J. Lipid Res. 1995, 36, 601–610. [Google Scholar] [CrossRef] [PubMed]

| Item | Treatments | |||||
|---|---|---|---|---|---|---|
| T1 | T2 | T3 | T4 | T5 | T6 | |
| Ingredient | ||||||
| Corn (g/kg) | 495 | 492.5 | 640 | 636.8 | 651 | 647.8 |
| Soybean meal (g/kg) | 178.6 | 177.7 | 240 | 238.8 | 83.4 | 83 |
| Corn protein powder (g/kg) | - | - | - | - | 85.7 | 85.3 |
| Wheat bran (g/kg) | 225.4 | 224.3 | - | - | - | - |
| Soybean oil (g/kg) | - | - | 20 | 19.9 | 71.2 | 70.8 |
| DL-Methionine (g/kg) | 1.1 | 1.1 | 0.8 | 0.8 | 0.4 | 0.4 |
| L-Lysine HCl (g/kg) | 0.7 | 0.7 | - | - | 3.6 | 3.6 |
| L-Arginine (g/kg) | 0.5 | 5.5 | - | 5 | 3.5 | 8.5 |
| Limestone (g/kg) | 76.4 | 76 | 75.9 | 75.5 | 75.9 | 75.5 |
| CaHPO4 (g/kg) | 15 | 14.9 | 16 | 15.9 | 18 | 17.9 |
| Salt (g/kg) | 3 | 3 | 3 | 3 | 3 | 3 |
| Choline chloride (g/kg) | 1 | 1 | 1 | 1 | 1 | 1 |
| Vitamin-mineral premix 1 (g/kg) | 3.3 | 3.3 | 3.3 | 3.3 | 3.3 | 3.3 |
| Total | 1000 | 1000 | 1000 | 1000 | 1000 | 1000 |
| Nutrient composition 2 | ||||||
| ME (MJ/kg) | 10.08 | 10.08 | 11.88 | 11.88 | 13.68 | 13.68 |
| Cross energy (MJ/kg) | (14.18) | (14.23) | (16.82) | (16.74) | (19.33) | (19.21) |
| CP (g/kg) | 160.9 (160.5) | 160.1 (159.7) | 160.6 (160.1) | 159.8 (159.7) | 160.6 (160.3) | 159.8 (159.8) |
| Digestible lysine (g/kg) | 6.7 | 6.6 | 6.7 | 6.7 | 6.7 | 6.6 |
| Digestible methionine (g/kg) | 2.9 | 2.9 | 2.9 | 2.9 | 2.9 | 2.9 |
| Digestible arginine (g/kg) | 9.6 | 14.5 | 9.6 | 14.5 | 9.6 | 14.5 |
| Arginine (g/kg) | (10.62) | (16.09) | (10.67) | (16.11) | (10.58) | (16.05) |
| Digestible methionine + cysteine (g/kg) | 4.8 | 4.8 | 4.9 | 4.9 | 4.8 | 4.8 |
| Ca (g/kg) | 31.6 (31.5) | 31.4 (31.4) | 31.6 (31.5) | 31.4 (31.3) | 31.6 (31.5) | 31.4 (31.4) |
| Total P (g/kg) | 6.9 (6.8) | 6.9 (6.9) | 5.8 (5.7) | 5.7 (5.8) | 5.5 (5.5) | 5.5 (5.4) |
| Available P (g/kg) | 4.1 | 4.1 | 4.1 | 4.1 | 4.1 | 4 |
| NaCl (g/kg) | 2.9 | 2.9 | 2.9 | 2.9 | 2.9 | 2.9 |
| Items | Energy | Arginine | Energy × Arginine | Pooled SEM | p Value | ||||||||||
|---|---|---|---|---|---|---|---|---|---|---|---|---|---|---|---|
| Energy (MJ/kg) | 10.08 | 11.88 | 13.68 | 10.08 | 10.08 | 11.88 | 11.88 | 13.68 | 13.68 | Energy | Arginine | Energy × Arginine | |||
| Arginine (g/kg) | 9.60 | 14.50 | 9.60 | 14.50 | 9.60 | 14.50 | 9.60 | 14.50 | |||||||
| E0 (g) | 69.66 a | 69.12 a | 67.57 b | 68.48 | 69.08 | 69.72 | 69.59 | 68.63 | 69.60 | 67.09 | 68.04 | 0.5912 | <0.0001 | 0.0824 | 0.3198 |
| E11 (g) | 64.76 a | 63.65 a | 61.72 b | 63.19 | 63.56 | 64.78 | 64.73 | 63.46 | 63.84 | 61.34 | 62.11 | 1.1408 | 0.0020 | 0.5815 | 0.8781 |
| E13 (g) | 63.91 a | 62.67 ab | 61.51 b | 62.78 | 62.62 | 63.38 | 64.45 | 63.70 | 61.64 | 61.25 | 61.77 | 1.0249 | 0.0084 | 0.7965 | 0.0846 |
| E15 (g) | 62.02 | 61.46 | 60.13 | 60.77 | 61.63 | 61.17 | 62.87 | 61.71 | 61.20 | 59.44 | 60.83 | 1.8710 | 0.3476 | 0.4286 | 0.6650 |
| E17 (g) | 61.07 | 60.19 | 59.54 | 60.05 | 60.49 | 60.69 | 61.45 | 60.11 | 60.26 | 59.34 | 59.75 | 1.3888 | 0.3003 | 0.5869 | 0.9535 |
| E19 (g) | 60.41 | 60.11 | 59.29 | 59.82 | 60.05 | 60.23 | 60.58 | 60.01 | 60.22 | 59.22 | 59.35 | 1.3143 | 0.4619 | 0.7616 | 0.9926 |
| Items | Energy | Arginine | Energy × Arginine | Pooled SEM | p Value | ||||||||||
|---|---|---|---|---|---|---|---|---|---|---|---|---|---|---|---|
| Energy (MJ/kg) | 10.08 | 11.88 | 13.68 | 10.08 | 10.08 | 11.88 | 11.88 | 13.68 | 13.68 | Energy | Arginine | Energy × Arginine | |||
| Arginine (g/kg) | 9.60 | 14.50 | 9.60 | 14.50 | 9.60 | 14.50 | 9.60 | 14.50 | |||||||
| E11 (g) | 3.71 | 3.94 | 3.68 | 3.73 | 3.83 | 3.61 | 3.81 | 3.91 | 3.96 | 3.66 | 3.71 | 0.168 | 0.0729 | 0.3078 | 0.7822 |
| E13 (g) | 8.35 a | 8.56 a | 7.61 b | 8.05 | 8.3 | 8.04 | 8.66 | 8.55 | 8.58 | 7.56 | 7.66 | 0.2836 | <0.0001 | 0.1364 | 0.2927 |
| E15 (g) | 15.26 a | 16.06 a | 13.18 b | 14.68 | 14.98 | 14.69 | 15.82 | 16.43 | 15.68 | 12.92 | 13.44 | 0.6129 | <0.0001 | 0.397 | 0.0938 |
| E17 (g) | 23.5 | 24.02 | 23.32 | 23.44 | 23.79 | 23.08 | 23.91 | 24.08 | 23.95 | 23.14 | 23.5 | 0.814 | 0.4579 | 0.4575 | 0.7098 |
| E19 (g) | 32.48 | 33.34 | 32.26 | 32.68 | 32.7 | 32.69 | 32.26 | 33.15 | 33.52 | 32.19 | 32.33 | 0.8003 | 0.1399 | 0.9538 | 0.7671 |
| E21 (g) | 48.98 | 49.49 | 48.53 | 48.75 | 49.25 | 48.83 | 49.14 | 49.09 | 49.89 | 48.35 | 48.71 | 1.3317 | 0.5995 | 0.5229 | 0.9611 |
| Items | Energy | Arginine | Energy × Arginine | Pooled SEM | p Value | ||||||||||
|---|---|---|---|---|---|---|---|---|---|---|---|---|---|---|---|
| Energy (MJ/kg) | 10.08 | 11.88 | 13.68 | 10.08 | 10.08 | 11.88 | 11.88 | 13.68 | 13.68 | Energy | Arginine | Energy × Arginine | |||
| Arginine (g/kg) | 9.60 | 14.50 | 9.60 | 14.50 | 9.60 | 14.50 | 9.60 | 14.50 | |||||||
| E11 (g) | 6.65 | 6.67 | 6.23 | 6.58 | 6.45 | 6.70 | 6.60 | 6.80 | 6.54 | 6.24 | 6.22 | 0.2868 | 0.0552 | 0.4441 | 0.8197 |
| E13 (g) | 6.54 | 6.24 | 6.19 | 6.44 | 6.22 | 6.66 | 6.43 | 6.38 | 6.11 | 6.27 | 6.12 | 0.2315 | 0.0755 | 0.1098 | 0.9314 |
| E15 (g) | 6.59 | 6.25 | 6.25 | 6.36 | 6.37 | 6.60 | 6.58 | 6.24 | 6.25 | 6.24 | 6.27 | 0.2369 | 0.0701 | 0.9626 | 0.9944 |
| E17 (g) | 6.19 | 6.23 | 6.11 | 6.22 | 6.13 | 6.26 | 6.12 | 6.29 | 6.17 | 6.12 | 6.10 | 0.1421 | 0.4815 | 0.2661 | 0.8011 |
| E19 (g) | 6.21 | 6.17 | 6.10 | 6.22 | 6.09 | 6.26 | 6.17 | 6.25 | 6.08 | 6.17 | 6.03 | 0.1892 | 0.6956 | 0.2318 | 0.9609 |
| Items | Energy | Arginine | Energy × Arginine | Pooled SEM | p Value | ||||||||||
|---|---|---|---|---|---|---|---|---|---|---|---|---|---|---|---|
| Energy (MJ/kg) | 10.08 | 11.88 | 13.68 | 10.08 | 10.08 | 11.88 | 11.88 | 13.68 | 13.68 | Energy | Arginine | Energy × Arginine | |||
| Arginine (g/kg) | 9.60 | 14.50 | 9.60 | 14.50 | 9.60 | 14.50 | 9.60 | 14.50 | |||||||
| E11 (%) | 2.84 | 2.85 | 2.69 | 2.96 b | 2.62 a | 2.78 ab | 2.91 ab | 3.10 a | 2.59 ab | 3.00 a | 2.37 b | 0.1991 | 0.4317 | 0.0055 | 0.0203 |
| E13 (%) | 3.76 b | 4.09 a | 3.24 c | 3.70 | 3.70 | 3.51 b | 4.02 a | 4.12 a | 4.06 a | 3.48 b | 3.01 b | 0.1664 | <0.0001 | 0.9649 | 0.0008 |
| E15 (%) | 4.46 a | 4.44 a | 3.86 b | 4.23 | 4.27 | 4.48 | 4.44 | 4.32 | 4.56 | 3.91 | 3.82 | 0.1553 | <0.0001 | 0.6792 | 0.2792 |
| E17 (%) | 3.45 | 3.40 | 3.54 | 3.48 | 3.44 | 3.58 a | 3.32 b | 3.40 ab | 3.39 ab | 3.47 ab | 3.62 a | 0.0970 | 0.1231 | 0.4943 | 0.0181 |
| E19 (%) | 3.59 | 3.52 | 3.54 | 3.60 | 3.50 | 3.58 | 3.60 | 3.54 | 3.49 | 3.67 | 3.40 | 0.1040 | 0.6069 | 0.1091 | 0.1549 |
| E21 (%) | 2.14 a | 2.01 b | 1.90 b | 2.02 | 2.01 | 2.07 | 2.22 | 2.08 | 1.93 | 1.91 | 1.88 | 0.0856 | 0.0010 | 0.9121 | 0.0528 |
| Items | Energy | Arginine | Energy × Arginine | Pooled SEM | p Value | ||||||||||
|---|---|---|---|---|---|---|---|---|---|---|---|---|---|---|---|
| Energy (MJ/kg) | 10.08 | 11.88 | 13.68 | 10.08 | 10.08 | 11.88 | 11.88 | 13.68 | 13.68 | Energy | Arginine | Energy × Arginine | |||
| Arginine (g/kg) | 9.60 | 14.50 | 9.60 | 14.50 | 9.60 | 14.50 | 9.60 | 14.50 | |||||||
| E11 (%) | 13.41 | 13.03 | 12.70 | 13.23 | 12.86 | 13.64 | 13.19 | 13.30 | 12.75 | 12.75 | 12.64 | 0.4276 | 0.0731 | 0.1426 | 0.7522 |
| E13 (%) | 11.99 a | 11.43 a | 10.23 b | 11.09 | 11.34 | 11.95 | 12.04 | 11.18 | 11.69 | 10.14 | 10.31 | 0.3999 | <0.0001 | 0.2741 | 0.7301 |
| E15 (%) | 9.83 a | 9.86 a | 8.96 b | 9.57 | 9.53 | 9.76 | 9.90 | 10.02 | 9.70 | 8.94 | 8.98 | 0.2539 | <0.0001 | 0.7572 | 0.4100 |
| E17 (%) | 9.70 a | 9.58 a | 8.21 b | 9.09 | 9.24 | 9.62 | 9.79 | 9.62 | 9.54 | 8.02 | 8.40 | 0.2483 | <0.0001 | 0.2834 | 0.4465 |
| E19 (%) | 11.73 a | 11.03 b | 10.03 c | 11.36 a | 10.50 b | 11.43 ab | 12.03 a | 11.43 ab | 10.64 b | 11.22 ab | 8.84 c | 0.3220 | <0.0001 | <0.0001 | <0.0001 |
| E21 (%) | 10.99 a | 10.73 a | 8.60 b | 10.21 | 10.00 | 10.60 a | 11.38 a | 10.90 a | 10.56 ab | 9.13 bc | 8.07 c | 0.4864 | <0.0001 | 0.4564 | 0.0350 |
| Items | Energy | Arginine | Energy × Arginine | Pooled SEM | p Value | ||||||||||
|---|---|---|---|---|---|---|---|---|---|---|---|---|---|---|---|
| Energy (MJ/kg) | 10.08 | 11.88 | 13.68 | 10.08 | 10.08 | 11.88 | 11.88 | 13.68 | 13.68 | Energy | Arginine | Energy × Arginine | |||
| Arginine (g/kg) | 9.60 | 14.50 | 9.60 | 14.50 | 9.60 | 14.50 | 9.60 | 14.50 | |||||||
| E11 (%) | 1.20 b | 1.39 a | 1.38 a | 1.29 | 1.36 | 1.07 b | 1.33 ab | 1.35 a | 1.43 a | 1.44 a | 1.32 ab | 0.0836 | 0.0036 | 0.1296 | 0.0127 |
| E13 (%) | 1.61 | 1.51 | 1.48 | 1.54 | 1.52 | 1.60 | 1.62 | 1.51 | 1.51 | 1.53 | 1.42 | 0.0850 | 0.0983 | 0.5788 | 0.5261 |
| E15 (%) | 1.79 a | 1.80 a | 1.28 b | 1.64 | 1.61 | 1.79 | 1.79 | 1.86 | 1.74 | 1.27 | 1.30 | 0.0675 | <0.0001 | 0.4908 | 0.2809 |
| E17 (%) | 2.01 a | 1.86 b | 1.55 c | 1.79 | 1.82 | 2.03 | 1.98 | 1.84 | 1.88 | 1.48 | 1.61 | 0.0636 | <0.0001 | 0.2973 | 0.1620 |
| E19 (%) | 1.94 a | 1.89 a | 1.67 b | 1.83 | 1.84 | 1.91 a | 1.96 a | 1.82 ab | 1.96 a | 1.75 ab | 1.59 b | 0.0800 | <0.0001 | 0.8546 | 0.0351 |
| E21 (%) | 1.58 a | 1.59 a | 1.21 b | 1.47 | 1.44 | 1.66 | 1.51 | 1.55 | 1.62 | 1.21 | 1.21 | 0.0863 | <0.0001 | 0.5608 | 0.2030 |
| Items | Energy | Arginine | Energy × Arginine | Pooled SEM | p Value | ||||||||||
|---|---|---|---|---|---|---|---|---|---|---|---|---|---|---|---|
| Energy (MJ/kg) | 10.08 | 11.88 | 13.68 | 10.08 | 10.08 | 11.88 | 11.88 | 13.68 | 13.68 | Energy | Arginine | Energy × Arginine | |||
| Arginine (g/kg) | 9.60 | 14.50 | 9.60 | 14.50 | 9.60 | 14.50 | 9.60 | 14.50 | |||||||
| E11 (mmol/L) | 5.60 | 5.55 | 5.36 | 6.02 a | 4.98 b | 6.47 | 4.72 | 5.78 | 5.32 | 5.82 | 4.90 | 0.4846 | 0.7680 | 0.0008 | 0.1846 |
| E13 (mmol/L) | 5.12 a | 4.74 ab | 4.28 b | 4.70 | 4.73 | 4.91 | 5.33 | 5.03 | 4.45 | 4.15 | 4.41 | 0.4279 | 0.0322 | 0.8953 | 0.2263 |
| E15 (mmol/L) | 7.63 a | 7.38 a | 4.26 b | 6.61 | 6.23 | 7.98 | 7.28 | 7.54 | 7.22 | 4.33 | 4.19 | 0.5820 | <0.0001 | 0.2654 | 0.7900 |
| E17 (mmol/L) | 13.02 a | 13.12 a | 10.83 b | 12.79 | 11.85 | 13.31 | 12.72 | 13.63 | 12.62 | 11.44 | 10.21 | 1.1002 | 0.0090 | 0.1496 | 0.9164 |
| E19 (mmol/L) | 12.35 a | 8.98 b | 8.32 b | 9.97 | 9.80 | 12.19 | 12.51 | 8.92 | 9.03 | 8.79 | 7.86 | 0.8579 | <0.0001 | 0.7363 | 0.5486 |
| E21 (mmol/L) | 13.48 | 12.09 | 11.94 | 13.01 | 11.99 | 13.48 | 13.48 | 12.56 | 11.61 | 12.99 | 10.89 | 1.4196 | 0.2539 | 0.2237 | 0.5811 |
| Items | Energy | Arginine | Energy × Arginine | Pooled SEM | p Value | ||||||||||
|---|---|---|---|---|---|---|---|---|---|---|---|---|---|---|---|
| Energy (MJ/kg) | 10.08 | 11.88 | 13.68 | 10.08 | 10.08 | 11.88 | 11.88 | 13.68 | 13.68 | Energy | Arginine | Energy × Arginine | |||
| Arginine (g/kg) | 9.60 | 14.50 | 9.60 | 14.50 | 9.60 | 14.50 | 9.60 | 14.50 | |||||||
| E11 (mmol/L) | 0.12 | 0.12 | 0.08 | 0.10 | 0.11 | 0.10 | 0.13 | 0.12 | 0.12 | 0.09 | 0.08 | 0.03 | 0.2384 | 0.7846 | 0.7023 |
| E13 (mmol/L) | 0.15 a | 0.14 ab | 0.10 b | 0.12 | 0.14 | 0.14 | 0.17 | 0.13 | 0.14 | 0.10 | 0.10 | 0.03 | 0.0240 | 0.3171 | 0.7727 |
| E15 (mmol/L) | 0.29 a | 0.25 a | 0.14 b | 0.23 | 0.22 | 0.33 | 0.25 | 0.23 | 0.27 | 0.14 | 0.14 | 0.07 | 0.0104 | 0.7074 | 0.4904 |
| E17 (mmol/L) | 0.41 b | 0.73 a | 0.39 b | 0.48 | 0.54 | 0.36 | 0.46 | 0.71 | 0.75 | 0.37 | 0.41 | 0.10 | <0.0001 | 0.3377 | 0.8902 |
| E19 (mmol/L) | 0.89 | 0.74 | 1.08 | 0.94 | 0.87 | 0.96 | 0.81 | 0.64 | 0.85 | 1.21 | 0.95 | 0.27 | 0.2216 | 0.6656 | 0.4294 |
| E21 (mmol/L) | 2.06 a | 1.82 a | 1.34 b | 1.65 | 1.82 | 1.72 ab | 2.39 a | 1.82 ab | 1.81 ab | 1.42 bc | 1.27 b | 0.23 | 0.0005 | 0.2120 | 0.0407 |
| Items | Energy | Arginine | Energy × Arginine | Pooled SEM | p Value | ||||||||||
|---|---|---|---|---|---|---|---|---|---|---|---|---|---|---|---|
| Energy (MJ/kg) | 10.08 | 11.88 | 13.68 | 10.08 | 10.08 | 11.88 | 11.88 | 13.68 | 13.68 | Energy | Arginine | Energy × Arginine | |||
| Arginine (g/kg) | 9.60 | 14.50 | 9.60 | 14.50 | 9.60 | 14.50 | 9.60 | 14.50 | |||||||
| E11 (mmol/L) | 1.98 | 1.94 | 1.95 | 2.06 | 1.85 | 2.08 | 1.89 | 2.06 | 1.83 | 2.05 | 1.85 | 0.3560 | 0.9856 | 0.3192 | 0.9954 |
| E13 (mmol/L) | 2.16 | 2.04 | 1.68 | 2.01 | 1.91 | 2.21 | 2.11 | 2.09 | 1.99 | 1.72 | 1.65 | 0.2728 | 0.0539 | 0.5542 | 0.9968 |
| E15 (mmol/L) | 4.24 a | 4.07 a | 2.98 b | 3.77 | 3.76 | 4.27 | 4.21 | 4.04 | 4.11 | 3.01 | 2.95 | 0.2901 | <0.0001 | 0.9318 | 0.9313 |
| E17 (mmol/L) | 6.16 | 6.48 | 5.34 | 6.31 | 5.68 | 6.32 | 6.00 | 6.92 | 6.04 | 5.69 | 5.00 | 0.9457 | 0.2331 | 0.2606 | 0.9111 |
| E19 (mmol/L) | 4.48 a | 4.67 a | 3.05 b | 4.41 | 3.73 | 4.82 | 4.13 | 5.11 | 4.24 | 3.30 | 2.81 | 0.6542 | 0.0032 | 0.0818 | 0.9173 |
| E21 (mmol/L) | 3.28 a | 2.49 b | 1.59 c | 2.50 | 2.41 | 3.16 | 3.40 | 2.74 | 2.24 | 1.59 | 1.58 | 0.4420 | <0.0001 | 0.7321 | 0.4921 |
| Items | Energy | Arginine | Energy × Arginine | Pooled SEM | p Value | ||||||||||
|---|---|---|---|---|---|---|---|---|---|---|---|---|---|---|---|
| Energy (MJ/kg) | 10.08 | 11.88 | 13.68 | 10.08 | 10.08 | 11.88 | 11.88 | 13.68 | 13.68 | Energy | Arginine | Energy × Arginine | |||
| Arginine (g/kg) | 9.60 | 14.50 | 9.60 | 14.50 | 9.60 | 14.50 | 9.60 | 14.50 | |||||||
| E11 (mmol/L) | 5.02 | 5.25 | 5.45 | 5.31 | 5.18 | 5.08 | 4.96 | 5.27 | 5.24 | 5.59 | 5.32 | 0.2511 | 0.0644 | 0.3591 | 0.7834 |
| E13 (mmol/L) | 4.95 | 5.09 | 5.35 | 5.22 | 5.04 | 5.00 | 4.90 | 5.26 | 4.93 | 5.39 | 5.31 | 0.3885 | 0.3443 | 0.4414 | 0.8803 |
| E15 (mmol/L) | 4.60 | 4.86 | 5.04 | 4.85 | 4.81 | 4.60 | 4.59 | 4.92 | 4.80 | 5.04 | 5.04 | 0.3548 | 0.2218 | 0.8255 | 0.9659 |
| E17 (mmol/L) | 3.92 | 4.03 | 4.12 | 4.05 | 4.00 | 3.92 | 3.92 | 4.05 | 4.01 | 4.17 | 4.07 | 0.2940 | 0.6479 | 0.7803 | 0.9691 |
| E19 (mmol/L) | 2.87 b | 3.31 a | 3.34 a | 3.19 | 3.15 | 2.88 | 2.86 | 3.33 | 3.28 | 3.36 | 3.32 | 0.2351 | 0.0156 | 0.8017 | 0.9955 |
| E21 (mmol/L) | 1.52 b | 1.81 a | 1.85 a | 1.75 | 1.70 | 1.54 | 1.51 | 1.81 | 1.80 | 1.90 | 1.80 | 0.1620 | 0.0177 | 0.6181 | 0.9089 |
| Items | Energy | Arginine | Energy × Arginine | Pooled SEM | p Value | ||||||||||
|---|---|---|---|---|---|---|---|---|---|---|---|---|---|---|---|
| Energy (MJ/kg) | 10.08 | 11.88 | 13.68 | 10.08 | 10.08 | 11.88 | 11.88 | 13.68 | 13.68 | Energy | Arginine | Energy × Arginine | |||
| Arginine (g/kg) | 9.60 | 14.50 | 9.60 | 14.50 | 9.60 | 14.50 | 9.60 | 14.50 | |||||||
| E11 (mmol/L) | 9.86 | 9.49 | 9.16 | 9.98 a | 9.02 b | 10.62 | 9.11 | 9.96 | 9.03 | 9.37 | 8.94 | 0.5818 | 0.2478 | 0.0084 | 0.4362 |
| E13 (mmol/L) | 9.78 a | 8.73 b | 7.06 c | 8.78 | 8.27 | 9.85 | 9.71 | 9.38 | 8.09 | 7.12 | 7.01 | 0.6399 | <0.0001 | 0.1745 | 0.3403 |
| E15 (mmol/L) | 9.77 | 9.61 | 9.51 | 9.73 | 9.53 | 9.96 | 9.57 | 9.65 | 9.56 | 9.57 | 9.46 | 0.5684 | 0.8147 | 0.5543 | 0.9141 |
| E17 (mmol/L) | 8.09 | 7.79 | 8.82 | 8.56 | 7.90 | 8.49 | 7.69 | 8.32 | 7.25 | 8.88 | 8.77 | 0.8952 | 0.2578 | 0.2107 | 0.7406 |
| E19 (mmol/L) | 9.24 | 8.62 | 8.69 | 8.98 | 8.72 | 9.51 | 8.98 | 8.67 | 8.57 | 8.75 | 8.62 | 0.6151 | 0.3112 | 0.4841 | 0.8616 |
| E21 (mmol/L) | 10.04 | 10.19 | 9.85 | 10.14 | 9.91 | 10.22 | 9.87 | 10.21 | 10.17 | 9.99 | 9.71 | 0.5813 | 0.7056 | 0.5025 | 0.9223 |
| Items | Energy | Arginine | Energy × Arginine | Pooled SEM | p Value | ||||||||||
|---|---|---|---|---|---|---|---|---|---|---|---|---|---|---|---|
| Energy (MJ/kg) | 10.08 | 11.88 | 13.68 | 10.08 | 10.08 | 11.88 | 11.88 | 13.68 | 13.68 | Energy | Arginine | Energy × Arginine | |||
| Arginine (g/kg) | 9.60 | 14.50 | 9.60 | 14.50 | 9.60 | 14.50 | 9.60 | 14.50 | |||||||
| E11 (U/mL) | 5.61 c | 6.78 b | 7.46 a | 6.29 b | 6.94 a | 5.19 | 6.03 | 6.52 | 7.04 | 7.16 | 7.76 | 0.3073 | <0.0001 | 0.0017 | 0.7558 |
| E15 (U/mL) | 9.46 b | 10.29 b | 12.87 a | 9.85 b | 11.90 a | 8.53 | 10.39 | 8.94 | 11.64 | 12.06 | 13.68 | 0.5691 | <0.0001 | <0.0001 | 0.4217 |
| E19 (U/mL) | 12.84 c | 13.61 b | 14.41 a | 13.18 b | 14.06 a | 12.42 | 13.25 | 13.18 | 14.04 | 13.94 | 14.88 | 0.4142 | 0.0003 | 0.0022 | 0.9831 |
| Items | Energy | Arginine | Energy × Arginine | Pooled SEM | p Value | ||||||||||
|---|---|---|---|---|---|---|---|---|---|---|---|---|---|---|---|
| Energy (MJ/kg) | 10.08 | 11.88 | 13.68 | 10.08 | 10.08 | 11.88 | 11.88 | 13.68 | 13.68 | Energy | Arginine | Energy × Arginine | |||
| Arginine (g/kg) | 9.60 | 14.50 | 9.60 | 14.50 | 9.60 | 14.50 | 9.60 | 14.50 | |||||||
| E13 (μg/L) | 12.89 | 12.99 | 12.71 | 12.69 | 13.04 | 12.62 | 13.17 | 12.78 | 13.2 | 12.67 | 12.75 | 1.4821 | 0.9642 | 0.6891 | 0.9734 |
| E17 (μg/L) | 12.65 | 14.21 | 12.53 | 13.59 | 12.67 | 12.42 ab | 12.88 ab | 13.56 ab | 14.85 a | 14.79 a | 10.28 b | 1.147 | 0.0946 | 0.1815 | 0.0038 |
| E21 (μg/L) | 12.6 | 14.53 | 13.39 | 12.9 | 14.1 | 11.45 | 13.74 | 13.73 | 15.32 | 13.52 | 13.25 | 1.2467 | 0.1098 | 0.1076 | 0.338 |
| Items | Energy | Arginine | Energy × Arginine | Pooled SEM | p Value | ||||||||||
|---|---|---|---|---|---|---|---|---|---|---|---|---|---|---|---|
| Energy (MJ/kg) | 10.08 | 11.88 | 13.68 | 10.08 | 10.08 | 11.88 | 11.88 | 13.68 | 13.68 | Energy | Arginine | Energy × Arginine | |||
| Arginine (g/kg) | 9.60 | 14.50 | 9.60 | 14.50 | 9.60 | 14.50 | 9.60 | 14.50 | |||||||
| E13 (μg/L) | 10.27 b | 11.48 b | 12.12 a | 10.94 | 11.64 | 9.8 | 10.73 | 11 | 11.96 | 12.01 | 12.23 | 0.9425 | 0.0318 | 0.2097 | 0.8233 |
| E17 (μg/L) | 10.75 | 11.01 | 12.09 | 11.09 | 11.48 | 10.48 | 11.01 | 10.82 | 11.21 | 11.97 | 12.21 | 0.8942 | 0.1049 | 0.4641 | 0.9744 |
| E21 (μg/L) | 11.41 | 11.6 | 12.2 | 11.99 | 11.49 | 11.09 | 11.74 | 11.27 | 11.93 | 12.11 | 12.29 | 0.8266 | 0.3873 | 0.3111 | 0.8955 |
| Items | Energy | Arginine | Energy × Arginine | Pooled SEM | p Value | ||||||||||
|---|---|---|---|---|---|---|---|---|---|---|---|---|---|---|---|
| Energy (MJ/kg) | 10.08 | 11.88 | 13.68 | 10.08 | 10.08 | 11.88 | 11.88 | 13.68 | 13.68 | Energy | Arginine | Energy × Arginine | |||
| Arginine (g/kg) | 9.60 | 14.50 | 9.60 | 14.50 | 9.60 | 14.50 | 9.60 | 14.50 | |||||||
| E11 (mmol/L) | 0.34 | 0.33 | 0.34 | 0.36 a | 0.32 b | 0.36 | 0.32 | 0.36 | 0.31 | 0.35 | 0.32 | 0.5818 | 0.8240 | 0.0001 | 0.7009 |
| E13 (mmol/L) | 0.53 | 0.54 | 0.53 | 0.55 a | 0.52 b | 0.55 | 0.52 | 0.57 | 0.51 | 0.54 | 0.52 | 0.0139 | 0.5887 | 0.0007 | 0.2407 |
| E15 (mmol/L) | 1.53 | 1.54 | 1.54 | 1.55 a | 1.52 b | 1.54 | 1.52 | 1.56 | 1.52 | 1.55 | 1.52 | 0.0146 | 0.7685 | 0.0061 | 0.9236 |
| E17 (mmol/L) | 2.39 | 2.35 | 2.40 | 2.41 | 2.35 | 2.44 | 2.34 | 2.36 | 2.34 | 2.44 | 2.35 | 0.0181 | 0.7441 | 0.2339 | 0.7650 |
Disclaimer/Publisher’s Note: The statements, opinions and data contained in all publications are solely those of the individual author(s) and contributor(s) and not of MDPI and/or the editor(s). MDPI and/or the editor(s) disclaim responsibility for any injury to people or property resulting from any ideas, methods, instructions or products referred to in the content. |
© 2023 by the authors. Licensee MDPI, Basel, Switzerland. This article is an open access article distributed under the terms and conditions of the Creative Commons Attribution (CC BY) license (https://creativecommons.org/licenses/by/4.0/).
Share and Cite
Wang, Z.; Feng, J.; Yang, C.; Mou, S.; Xie, Y.; Duan, X.; Li, Z.; Bi, Z.; Liu, T.; Li, F.; et al. Energy and Arginine Density in the Diets of Arbor Acre Hens from 40 to 50 Weeks of Age: Effects on Development and Lipid Metabolism of Embryos. Animals 2023, 13, 3737. https://doi.org/10.3390/ani13233737
Wang Z, Feng J, Yang C, Mou S, Xie Y, Duan X, Li Z, Bi Z, Liu T, Li F, et al. Energy and Arginine Density in the Diets of Arbor Acre Hens from 40 to 50 Weeks of Age: Effects on Development and Lipid Metabolism of Embryos. Animals. 2023; 13(23):3737. https://doi.org/10.3390/ani13233737
Chicago/Turabian StyleWang, Zhongyu, Jiawei Feng, Chunxu Yang, Shaoyang Mou, Yingjie Xie, Xiaoxue Duan, Zhongyu Li, Zhongpeng Bi, Tianshu Liu, Feng Li, and et al. 2023. "Energy and Arginine Density in the Diets of Arbor Acre Hens from 40 to 50 Weeks of Age: Effects on Development and Lipid Metabolism of Embryos" Animals 13, no. 23: 3737. https://doi.org/10.3390/ani13233737
APA StyleWang, Z., Feng, J., Yang, C., Mou, S., Xie, Y., Duan, X., Li, Z., Bi, Z., Liu, T., Li, F., & Xu, L. (2023). Energy and Arginine Density in the Diets of Arbor Acre Hens from 40 to 50 Weeks of Age: Effects on Development and Lipid Metabolism of Embryos. Animals, 13(23), 3737. https://doi.org/10.3390/ani13233737

