Factors Influencing Isolation Behavior of Dogs: A Holder-Based Questionnaire and Behavioral and Saliva Cortisol Responses during Separation
Abstract
:Simple Summary
Abstract
1. Introduction
2. Material and Methods
2.1. Test
2.1.1. Video Analysis
2.1.2. Cortisol
2.2. Online Survey
2.2.1. Creation of Separation Questionnaire
2.2.2. Used Questionnaires
2.3. Statistical Analysis
3. Results
3.1. Test
3.1.1. Separation Behaviors
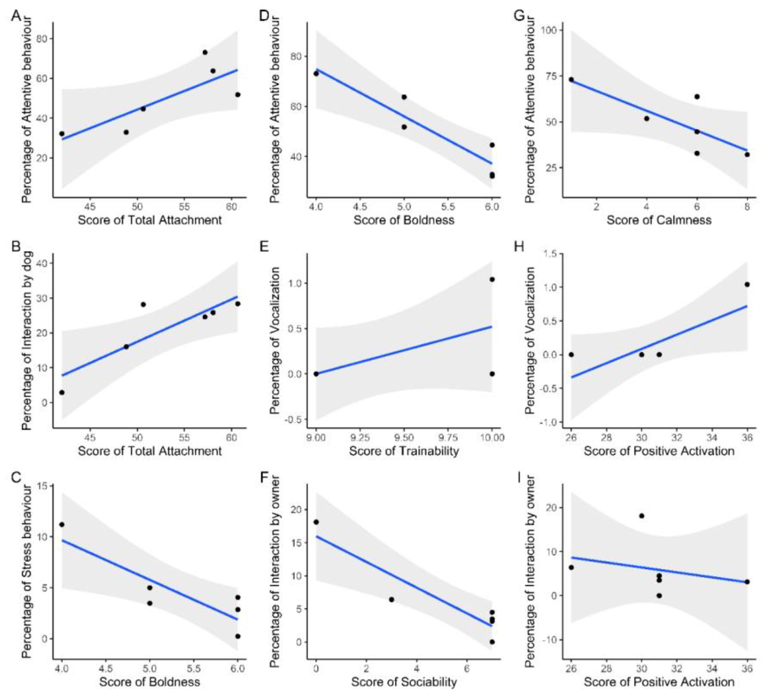
3.1.2. Possible Influences on Separation Behavior
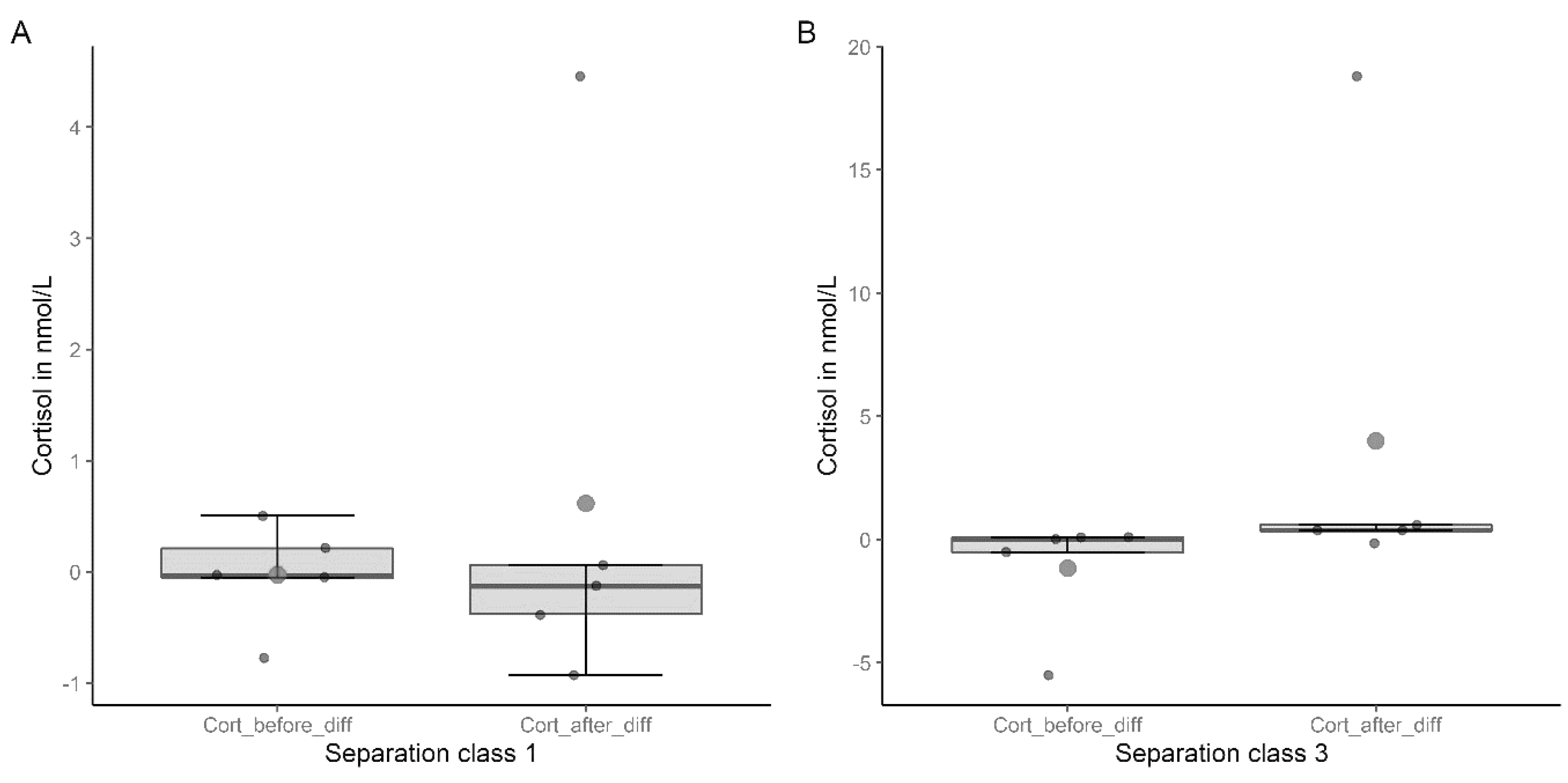
3.1.3. Cortisol
3.2. Online Survey
3.2.1. Symptoms of Separation-Related Behavior Problems
3.2.2. Possible Influences on Separation-Related Behavior Problems
4. Discussion
4.1. Test
4.2. Online Survey
5. Conclusions
Supplementary Materials
Author Contributions
Funding
Institutional Review Board Statement
Informed Consent Statement
Data Availability Statement
Acknowledgments
Conflicts of Interest
References
- Konok, V.; Dóka, A.; Miklósi, Á. The behavior of the domestic dog (Canis familiaris) during separation from and reunion with the holder: A questionnaire and an experimental study. Appl. Anim. Behav. Sci. 2011, 135, 300–308. [Google Scholar] [CrossRef]
- Rehn, T.; Keeling, L.J. The effect of time left alone at home on dog welfare. Appl. Anim. Behav. Sci. 2011, 129, 129–135. [Google Scholar] [CrossRef]
- Topál, J.; Gácsi, M.; Miklósi, Á.; Virányi, Z.; Kubinyi, E.; Csányi, V. Attachment to humans: A comparative study on hand-reared wolves and differently socialized dog puppies. Anim. Behav. 2005, 70, 1367–1375. [Google Scholar] [CrossRef]
- Taylor, S.; Webb, L.; Montrose, V.T.; Williams, J. The behavioral and physiological effects of dog appeasing pheromone on canine behavior during separation from the owner. J. Vet. Behav. 2020, 40, 36–42. [Google Scholar] [CrossRef]
- Scaglia, E.; Cannas, S.; Minero, M.; Frank, D.; Bassi, A.; Palestrini, C. Video analysis of adult dogs when left home alone. J. Vet. Behav. 2013, 8, 412–417. [Google Scholar] [CrossRef]
- Stephan, G.; Leidhold, J.; Hammerschmidt, K. Pet dogs home alone: A video-based study. Appl. Anim. Behav. Sci. 2021, 244, 105463. [Google Scholar] [CrossRef]
- Rehn, T.; Handlin, L.; Uvnäs-Moberg, K.; Keeling, L.J. Dogs’ endocrine and behavioural responses at reunion are affected by how the human initiates contact. Physiol. Behav. 2014, 124, 45–53. [Google Scholar] [CrossRef] [PubMed]
- Storengen, L.M.; Boge, S.C.K.; Strøm, S.J.; Løberg, G.; Lingaas, F. A descriptive study of 215 dogs diagnosed with separation anxiety. Appl. Anim. Behav. Sci. 2014, 159, 82–89. [Google Scholar] [CrossRef]
- Palestrini, C.; Minero, M.; Cannas, S.; Rossi, E.; Frank, D. Video analysis of dogs with separation-related behaviors. Appl. Anim. Behav. Sci. 2010, 124, 61–67. [Google Scholar] [CrossRef]
- Lund, J.D.; Jørgensen, M.C. Behaviour patterns and time course of activity in dogs with separation problems. Appl. Anim. Behav. Sci. 1999, 63, 219–236. [Google Scholar] [CrossRef]
- Pongrácz, P.; Lenkei, R.; Marx, A.; Faragó, T. Should I whine or should I bark? Qualitative and quantitative differences between the vocalizations of dogs with and without separation-related symptoms. Appl. Anim. Behav. Sci. 2017, 196, 61–68. [Google Scholar] [CrossRef]
- Mendl, M.; Brooks, J.; Basse, C.; Burman, O.; Paul, E.; Blackwell, E.; Casey, R. Dogs showing separation-related behaviour exhibit a ‘pessimistic’cognitive bias. Curr. Biol. 2010, 20, R839–R840. [Google Scholar] [CrossRef] [PubMed]
- Konok, V.; Kosztolányi, A.; Rainer, W.; Mutschler, B.; Halsband, U.; Miklósi, Á. Influence of holders’ attachment style and personality on their dogs’ (Canis familiaris) separation-related disorder. PLoS ONE 2015, 10, e0118375. [Google Scholar] [CrossRef] [PubMed]
- Flannigan, G.; Dodman, N.H. Risk factors and behaviors associated with separation anxiety in dogs. J. Am. Vet. Med. Assoc. 2001, 219, 460–466. [Google Scholar] [CrossRef]
- Sherman, B.L. Separation anxiety in dogs. Compendium 2008, 30, 27–42. [Google Scholar] [PubMed]
- Konok, V.; Marx, A.; Faragó, T. Attachment styles in dogs and their relationship with separation-related disorder—A questionnaire based clustering. Appl. Anim. Behav. Sci. 2019, 213, 81–90. [Google Scholar] [CrossRef]
- Overall, K.L.; Dunham, A.E.; Frank, D. Frequency of nonspecific clinical signs in dogs with separation anxiety, thunderstorm phobia, and noise phobia, alone or in combination. J. Am. Vet. Med. Assoc. 2001, 219, 467–473. [Google Scholar] [CrossRef] [PubMed]
- Tiira, K.; Sulkama, S.; Lohi, H. Prevalence, comorbidity, and behavioral variation in canine anxiety. J. Vet. Behav. 2016, 16, 36–44. [Google Scholar] [CrossRef]
- McGreevy, P.D.; Masters, A.M. Risk factors for separation-related distress and feed-related aggression in dogs: Additional findings from a survey of Australian dog holders. Appl. Anim. Behav. Sci. 2008, 109, 320–328. [Google Scholar] [CrossRef]
- McMillan, F.D. Behavioral and psychological outcomes for dogs sold as puppies through pet stores and/or born in commercial breeding establishments: Current knowledge and putative causes. J. Vet. Behav. 2017, 19, 14–26. [Google Scholar] [CrossRef]
- Schwartz, S. Separation anxiety syndrome in dogs and cats. J. Am. Vet. Med. Assoc. 2003, 222, 1526–1532. [Google Scholar] [CrossRef]
- Boissy, A. Fear and fearfulness in animals. Q. Rev. Biol. 1995, 70, 165–191. [Google Scholar] [CrossRef] [PubMed]
- Serpell, J. Early experience and the development of behaviour. In The Domestic Dog; Cambridge University Press: Cambridge, UK, 1995; pp. 80–102. [Google Scholar]
- McCrave, E.A. Diagnostic criteria for separation anxiety in the dog. Vet. Clin. N. Am. Small Anim. Pract. 1991, 21, 247–255. [Google Scholar] [CrossRef] [PubMed]
- Scanlon, L.; Hobson-West, P.; Cobb, K.; McBride, A.; Stavisky, J. Assessment of health and welfare in a small sample of dogs owned by people who are homeless. Vet. Rec. 2022, 190, e776. [Google Scholar] [CrossRef] [PubMed]
- Harvey, N.D.; Christley, R.M.; Giragosian, K.; Mead, R.; Murray, J.K.; Samet, L.; Upjohn, M.M.; Casey, R.A. Impact of changes in time left alone on separation-related behaviour in UK pet dogs. Animals 2022, 12, 482. [Google Scholar] [CrossRef]
- Pongrácz, P.; Gómez, S.A.; Lenkei, R. Separation-related behaviour indicates the effect of functional breed selection in dogs (Canis familiaris). Appl. Anim. Behav. Sci. 2020, 222, 104884. [Google Scholar] [CrossRef]
- Altmann, J. Observational study of behavior: Sampling methods. Behaviour 1974, 49, 227–266. [Google Scholar] [CrossRef]
- Péter, A. Solomon Coder (Version Beta 19.03. 22): A Simple and Free Solution for Behavior Coding; 2019; Available online: https://solomon.andraspeter.com/ (accessed on 29 October 2023).
- Kobelt, A.J.; Hemsworth, P.H.; Barnett, J.L.; Butler, K.L. Sources of sampling variation in saliva cortisol in dogs. Res. Vet. Sci. 2003, 75, 157–161. [Google Scholar] [CrossRef]
- Clements, A.D.; Parker, C.R. The relationship between salivary cortisol concentrations in frozen versus mailed samples. Psychoneuroendocrinology 1998, 23, 613–616. [Google Scholar] [CrossRef]
- Aardal, E.; Holm, A.C. Cortisol in saliva-reference ranges and relation to cortisol in serum. Clin. Chem. Lab. Med. 1995, 33, 927–932. [Google Scholar] [CrossRef]
- Garde, A.H.; Hansen, A.M. Long-term stability of salivary cortisol. Scand. J. Clin. Lab. Investig. 2005, 65, 433–436. [Google Scholar] [CrossRef]
- Appleby, D.; Pluijmakers, J. Separation anxiety in dogs. The function of homeostasis in its development and treatment. Vet. Clin. N. Am. Small Anim. Pract. 2003, 33, 321–344. [Google Scholar] [CrossRef] [PubMed]
- Cannas, S.; Frank, D.; Minero, M.; Aspesi, A.; Benedetti, R.; Palestrini, C. Video analysis of dogs suffering from anxiety when left home alone and treated with clomipramine. J. Vet. Behav. 2014, 9, 50–57. [Google Scholar] [CrossRef]
- Johnson, T.P.; Garrity, T.F.; Stallones, L. Psychometric evaluation of the Lexington attachment to pets scale (LAPS). Anthrozoös 1992, 5, 160–175. [Google Scholar] [CrossRef]
- Hielscher, B.; Gansloßer, U.; Froböse, I. Attachment to Dogs and Cats in Germany: Translation of the Lexington Attachment to Pets Scale (LAPS) and Description of the Pet Owning Population in Germany. Hum. Anim. Interact. Bull. 2019, 7, 1–18. [Google Scholar] [CrossRef]
- Turcsán, B.; Kubinyi, E.; Miklósi, Á. Trainability and boldness traits differ between dog breed clusters based on conventional breed categories and genetic relatedness. Appl. Anim. Behav. Sci. 2011, 132, 61–70. [Google Scholar] [CrossRef]
- Sheppard, G.; Mills, D.S. The development of a psychometric scale for the evaluation of the emotional predispositions of pet dogs. Int. J. Comp. Psychol. 2002, 15, 201–222. [Google Scholar] [CrossRef]
- Mazzini, F.; Townsend, S.W.; Virányi, Z.; Range, F. Wolf howling is mediated by relationship quality rather than underlying emotional stress. Curr. Biol. 2013, 23, 1677–1680. [Google Scholar] [CrossRef]
- Kaplan, R.M.; Chambers, D.A.; Glasgow, R.E. Big data and large sample size: A cautionary note on the potential for bias. Clin. Transl. Sci. 2014, 7, 342–346. [Google Scholar] [CrossRef]
- Khalilzadeh, J.; Tasci, A.D. Large sample size, significance level, and the effect size: Solutions to perils of using big data for academic research. Tour. Manag. 2017, 62, 89–96. [Google Scholar] [CrossRef]
- Visentin, D.C.; Cleary, M.; Hunt, G.E. The earnestness of being important: Reporting non-significant statistical results. J. Adv. Nurs. 2020, 76, 917–919. [Google Scholar] [CrossRef]
- Lenkei, R.; Faragó, T.; Bakos, V.; Pongrácz, P. Separation-related behavior of dogs shows association with their reactions to everyday situations that may elicit frustration or fear. Sci. Rep. 2021, 11, 19207. [Google Scholar] [CrossRef] [PubMed]
- Takeuchi, Y.; Houpt, K.A.; Scarlett, J.M. Evaluation of treatments for separation anxiety in dogs. J. Am. Vet. Med. Assoc. 2000, 217, 342–345. [Google Scholar] [CrossRef] [PubMed]
- Turcsán, B.; Miklósi, Á.; Kubinyi, E. Holder perceived differences between mixed-breed and purebred dogs. PLoS ONE 2017, 12, e0172720. [Google Scholar] [CrossRef] [PubMed]
- Parthasarathy, V.; Crowell-Davis, S.L. Relationship between attachment to holders and separation anxiety in pet dogs (Canis lupus familiaris). J. Vet. Behav. 2006, 1, 109–120. [Google Scholar] [CrossRef]









| Behavior | Definition |
|---|---|
| Lying alert b,g | Dog lying down, head not in contact with floor |
| Lying resting g | Dog lying down, head in contact with floor |
| Sitting g | Dog sitting with front legs extended and hind legs curved |
| Standing g | Dog standing up on all four paws |
| Walking g | Dog walking around/moving |
| Running a,g | Dog running around, trotting, or galloping |
| Exploring b | Motor activity directed towards any physical aspect of environment |
| Attention towards something b | Dog has ears and eyes pointed in certain direction (starting > 2 s), e.g., towards door, window, etc. |
| Play a | Any vigorous or galloping gaited behavior directed towards a toy |
| Grooming a | Dog cleaning its body surface |
| Chewing a | Dog chewing an object or eating/drinking |
| Panting a,f | Increased frequency of inhalation and exhalation with mouth open |
| Tail wagging a,f | Repetitive wagging movement of tail |
| Barking a,e,f | Dog barking |
| Growling a | Dog growling |
| Whining a,e,f | Dog whining |
| Howling a,e,f | Dog howling |
| Yawning b,f | Dog opens its mouth widely and inhales |
| Lip licking b,f | Dog snout licking, tongue visible |
| Body stretching f | Dog extending/stretching part of or whole body |
| Body shaking f | Dog shakes any part of or whole body from side to side |
| Following holder a,c | Walking behind holder within distance |
| Physical contact b,c | Dog leans, jumps up on, and/or nudges/licks holder |
| Attention towards holder b,c | Dog focused on holder by gazing/staring at holder (>2 s) |
| Inviting play a,c | Dog initiates play with holder (<0.5 m) |
| Holder physical contact d | Holder pets/strokes/scratches dog |
| Holder verbal contact d | Holder talks to dog |
| Holder invites play d | Holder offers play, with or without toy |
| Holder seeks contact d | Holder bends down towards dog or sits/lays down on floor |
Disclaimer/Publisher’s Note: The statements, opinions and data contained in all publications are solely those of the individual author(s) and contributor(s) and not of MDPI and/or the editor(s). MDPI and/or the editor(s) disclaim responsibility for any injury to people or property resulting from any ideas, methods, instructions or products referred to in the content. |
© 2023 by the authors. Licensee MDPI, Basel, Switzerland. This article is an open access article distributed under the terms and conditions of the Creative Commons Attribution (CC BY) license (https://creativecommons.org/licenses/by/4.0/).
Share and Cite
Silbermann, J.; Gansloßer, U. Factors Influencing Isolation Behavior of Dogs: A Holder-Based Questionnaire and Behavioral and Saliva Cortisol Responses during Separation. Animals 2023, 13, 3735. https://doi.org/10.3390/ani13233735
Silbermann J, Gansloßer U. Factors Influencing Isolation Behavior of Dogs: A Holder-Based Questionnaire and Behavioral and Saliva Cortisol Responses during Separation. Animals. 2023; 13(23):3735. https://doi.org/10.3390/ani13233735
Chicago/Turabian StyleSilbermann, Jennifer, and Udo Gansloßer. 2023. "Factors Influencing Isolation Behavior of Dogs: A Holder-Based Questionnaire and Behavioral and Saliva Cortisol Responses during Separation" Animals 13, no. 23: 3735. https://doi.org/10.3390/ani13233735
APA StyleSilbermann, J., & Gansloßer, U. (2023). Factors Influencing Isolation Behavior of Dogs: A Holder-Based Questionnaire and Behavioral and Saliva Cortisol Responses during Separation. Animals, 13(23), 3735. https://doi.org/10.3390/ani13233735
