Age Structure, Development and Population Viability of Banteng (Bos javanicus) in Captive Breeding for Ex-Situ Conservation and Reintroduction
Abstract
Simple Summary
Abstract
1. Introduction
2. Materials and Methods
2.1. Life History of Bantengs in Khao Nam Phu Nature and Wildlife Education Center
2.2. Relationship among Age, Height, Weight, and Body Condition Score of Captive Banteng
2.3. Prediction of Population Number of Captive Banteng
3. Results
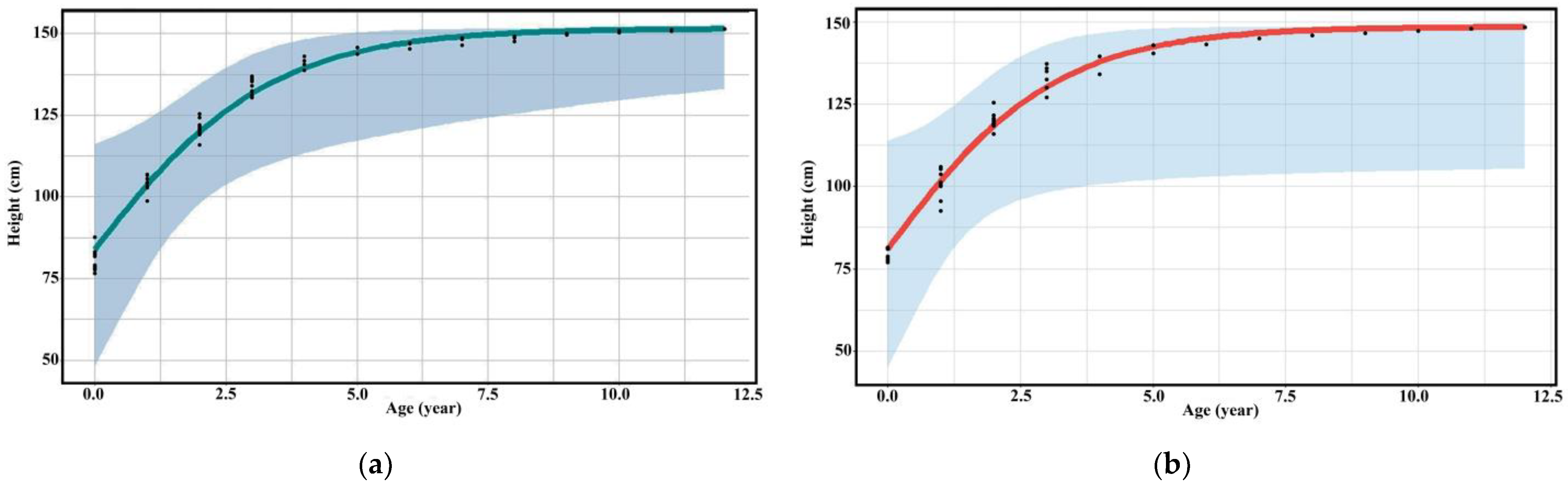
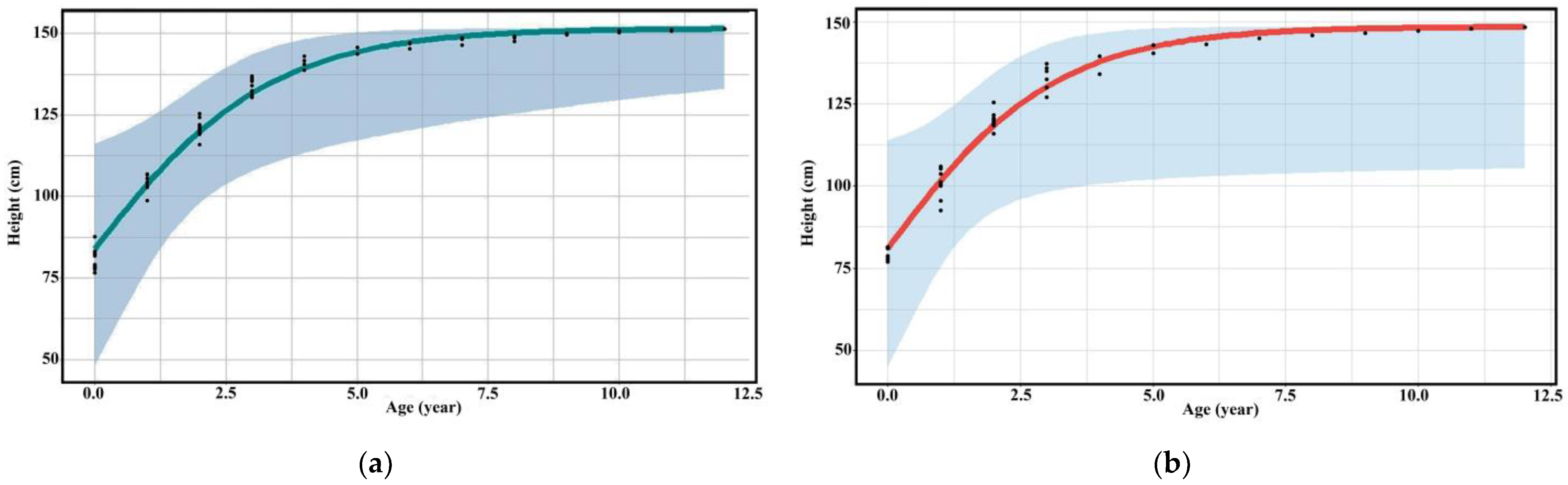
3.1. Growth Rate of Captive Banteng
3.2. Relationship among Age, Height, Weight and Body Condition Score of Captive Banteng
3.3. Prediction of Population Number of Captive Banteng
4. Discussion
4.1. Growth Rate of Captive Banteng
4.2. Relationship among Age, Height, Weight, and Body Condition Score of Captive Banteng
4.3. Prediction of Population Number of Captive Banteng
4.4. Conservation and Management
5. Conclusions
Supplementary Materials
Author Contributions
Funding
Institutional Review Board Statement
Informed Consent Statement
Data Availability Statement
Acknowledgments
Conflicts of Interest
References
- Garsetiasih, R. Daya Dukung Padang Perumputan banteng (Bos javanicus d’Alton 1832): Studi kasus di Sadengan dan Sumber Gedang, Jawa Timur. J. Penelit. Hutan Dan Konserv. Alam 2013, 10, 229–240. [Google Scholar] [CrossRef][Green Version]
- Lekagul, B.; McNeely, J.A. Mammals of Thailand; Association for the Conservation of Wildlife: Bangkok, Thailand, 1977. [Google Scholar]
- IUCN. The IUCN Red List of Threatened Species. Version 2018-2. 2019. Available online: http://www.iucnredlist.org (accessed on 28 December 2018).
- Office of Natural Resources and Environmental Policy and Planning (ONEP). Thailand Red Data: Vertebrates; Ministry of Natural Resource and Environment: Bangkok, Thailand, 2017.
- Gardner, P.C.; Goossens, B.; Bin Abu Bakar, S.; Bruford, M.W. Hunting pressure is a key contributor to the impending extinction of Bornean wild cattle. Endanger. Species Res. 2021, 45, 225–235. [Google Scholar] [CrossRef]
- Timmins, R.J.; Duckworth, J.W.; Hedges, S.; Steinmetz, R.; Pattanavibool, A. Bos javanicus. The IUCN Red List of Threatened Species. 2016. Available online: https://www.researchgate.net/profile/Simon-Hedges-2/publication/301746958_Bos_javanicus_The_IUCN_Red_List_of_Threatened_Species_2008/links/5724c48d08aee491cb3a9a54/Bos-javanicus-The-IUCN-Red-List-of-Threatened-Species-2008.pdf (accessed on 1 April 2020).
- Srikosamatara, S.; Suteethorn, V. Populations of gaur and banteng and their management in Thailand. Nat. His. Bull. Siam Soc. 1995, 43, 55–83. [Google Scholar]
- IUCN/SSC. Guidelines for Reintroductions and Other Conservation Translocations; Version 1.0; IUCN Species Survival Commission: Gland, Switzerland, 2013. [Google Scholar]
- Chaiyarat, R.; Youngpoy, N.; Kongsurakan, P.; Nakbun, S. Habitat preferences of reintroduced banteng (Bos javanicus) into the Salakphra Wildlife Sanctuary, Thailand. Wildl. Res. 2019, 46, 573. [Google Scholar] [CrossRef]
- Gardner, P.C. The Natural History, Non-Invasive Sampling, Activity Patterns and Population Genetic Structure of the Bornean Banteng Bos javanicus Lowi in Sabah, Malaysian Borneo. Ph.D. Thesis, Cardiff University, Cardiff, NY, USA, 2014. [Google Scholar]
- Corbett, G.B.; Hill, J.E. The Mammals of the Indomalay Region: A Systematic Review; Natural History Museum Publications, Oxford University Press: Oxford, UK, 1992. [Google Scholar]
- Chaiyarat, R.; Saengpong, S.; Tunwattana, W.; Dunriddach, P. Habitat and food utilization by banteng (Bos javanicus d’Alton, 1823) accidentally introduced into the Khao Khieo-Khao Chomphu Wildlife Sanctuary, Thailand. Mammalia 2017, 82, 23–34. [Google Scholar] [CrossRef]
- Melletti, M.; Burton, J. Ecology, Evolution and Behaviour of Wild Cattle: Implications for Conservation; Cambridge University Press: Cambridge, UK, 2014. [Google Scholar]
- Chaiyarat, R.; Sakchan, P.; Panprayun, G.; Thongthip, N.; Nakbun, S. Monitoring of forage and nutrition before and after reintroduction of banteng (Bos javanicus d’ Alton, 1823) to Salakphra Wildlife Sanctuary, Thailand. Sci. Rep. 2020, 10, 11135. [Google Scholar] [CrossRef] [PubMed]
- Prakobphon, N. Behaviour of Banteng (Bos javanicus) in Chiang Mai Zoo Changwat Chiang Mai and Khao Kheow Open Zoo Changwat Chonburi. Master’s Thesis, Chiang Mai University, Chiang Mai, Thailand, 1988. [Google Scholar]
- Rahman, D.A.; Herliansyah, R.; Rianti, P.; Rahmat, U.M.; Firdaus, A.Y.; Syamsudin, M. Ecology and Conservation of the Endangered Banteng (Bos javanicus) in Indonesia Tropical Lowland Forest. HAYATI J. Biosci. 2019, 26, 68. [Google Scholar] [CrossRef]
- Nakbun, S. (Khao Nampu Nature and Wildlife Education Center, Department of National Parks, Wildlife and Plant Conservation, Kanchanaburi, Thailand). Personal communication, 2022.
- Kongsurakan, P.; Chaiyarat, R.; Nakbun, S.; Thongthip, N.; Anuracpreeda, P. Monitoring body condition score of reintro-duced banteng (Bos javanicus D’Alton, 1923) into Salakphra Wildlife Sanctuary, Thailand. PeerJ 2020, 8, e9041. [Google Scholar] [CrossRef]
- Ahrestani, F.S.; Prins, H.H. Age and sex determination of gaur Bos gaurus (Bovidae). Mammalia 2011, 75, 151–155. [Google Scholar] [CrossRef]
- Niedballa, J.; Sollmann, R.; Bin Mohamed, A.; Bender, J.; Wilting, A. Defining habitat covariates in camera-trap based occupancy studies. Sci. Rep. 2015, 5, 17041. [Google Scholar] [CrossRef]
- Wayne, W.D. Spearman Rank Correlation Coefficient. In Applied Nonparametric Statistics, 2nd ed.; PWS-Kent: Boston, MA, USA, 1990; pp. 358–365. [Google Scholar]
- Mann, H.B.; Whitney, D.R. On a Test of Whether one of Two Random Variables is Stochastically Larger than the Other. Ann. Math. Stat. 1947, 18, 50–60. [Google Scholar] [CrossRef]
- Lacy, R.C.; Pollak, J.P. Vortex: A Stochastic Simulation for the Extinction Process; Version 10.2.6; Chicago Zoological Society: Brookfield, IL, USA, 2017. [Google Scholar]
- Lacy, R.C.; Miller, P.S.; Traylor-Holzer, K. An Overview of Population Viability Analysis Using VORTEX, Vortex 10 User’s Manual; 19 January 2015 Update; IUCN SSC Conservation Breeding Specialist Group, Chicago Zoological Society: Apple Valley, MN, USA, 2015. [Google Scholar]
- Copland, R.S. Observations on Banteng cattle in Sabah. Trop. Anim. Health Prod. 1974, 6, 89–94. [Google Scholar] [CrossRef]
- Hedges, S.; Meijaard, E. Reconnaissance Survey for Banteng (Bos javanicus) and Banteng Survey Methods Training Project, Kayan-Mentarang National Park, East Kalimantan, Indonesia; World Wide Fund for Nature-Indonesia (WWF) and Centre for International Forestry Research (CIFOR): East Kalimantan, Indonesia, 1999. [Google Scholar]
- Soares, F.S.; Dryden, G.M. A Body Condition Scoring System for Bali Cattle. Asian-Australas. J. Anim. Sci. 2011, 24, 1587–1594. [Google Scholar] [CrossRef]
- Prosser, N.S.; Gardner, P.C.; Smith, J.A.; Wern, J.G.E.; Ambu, L.N.; Goossens, B. Body condition scoring of Bornean banteng in logged forests. BMC Zool. 2016, 1, 8. [Google Scholar] [CrossRef]
- Jelantik, I.G.N.; Benu, I.; Malelak, G.E.M. Influence of Body Condition Score on Carcass Characteristics of Cull Bali Cows. IOP Conf. Ser. Earth Environ. Sci. 2020, 478, 012011. [Google Scholar] [CrossRef]
- Lacy, R.C. Lessons from 30 years of population viability analysis of wildlife populations. Zoo Biol. 2018, 38, 67–77. [Google Scholar] [CrossRef] [PubMed]
- Chaichanathong, S.; Klinsawat, W.; Sukmak, M.; Sakulthai, A.; Wajjwalku, W.; Sripiboon, S.; Kaolim, N.; Nakbhun, S.; Tun-pradit, B.; Nipanunt, T.; et al. Genetic characterization of banteng (Bos javanicus) populations in Thailand for conservation. Thai. J. Vet. Med. 2021, 51, 647–654. [Google Scholar]
- McCann, N.P.; Wheeler, P.M.; Coles, T.; Bruford, M.W. Rapid ongoing decline of Baird’s tapir in Cusuco National Park, Honduras. Integr. Zool. 2012, 7, 420–428. [Google Scholar] [CrossRef] [PubMed]
- Humblot, P.; Le Bourhis, D.; Fritz, S.; Colleau, J.J.; Gonzalez, C.; Joly, C.G.; Malafosse, A.; Heyman, Y.; Amigues, Y.; Tissier, M.; et al. Reproductive Technologies and Genomic Selection in Cattle. Veter-Med. Int. 2010, 2010, 192787. [Google Scholar] [CrossRef] [PubMed]
- Kidie, H.A. Review on growth and development of multiple ovulation and embryo transfer technology in cattle. World Sci. News Int. Sci. J. 2019, 127, 191–211. [Google Scholar]
- Mastromonaco, G.F.; Gonzalez-Grajales, A.L. Reproduction in female wild cattle: Influence of seasonality on ARTs. Theriogenology 2020, 150, 396–404. [Google Scholar] [CrossRef] [PubMed]
- Leberg, P.L.; Firmin, B.D. Role of inbreeding depression and purging in captive breeding and restoration programmes. Mol. Ecol. 2008, 17, 334–343. [Google Scholar] [CrossRef] [PubMed]
- Farquharson, K.A.; Hogg, C.J.; Grueber, C.E. A meta-analysis of birth-origin effects on reproduction in diverse captive environments. Nat. Commun. 2018, 9, 1055. [Google Scholar] [CrossRef] [PubMed]
- Rosli, N.; Ithnin, H.; Rovie-Ryan, J.J. Inbreeding depression of captive Malayan gaur (Bos gaurus hubbacki) at Jenderak Selatan Wildlife Conservation Centre, Pahang. J. Wildl. Parks. 2016, 31, 71–79. [Google Scholar]
- Md-Zain, B.M.; Abdul-Aziz, A.; Aifat, N.R.; Mohd-Yusof, N.S.; Zulkifli, N.A.; Japning, J.R.R.; Rosli, N.; Yaakop, S. Sequence variation data of the mitochondrial DNA D-loop region of the captive Malayan Gaur (Bos gaurus hubbacki). Data Brief. 2018, 24, 103532. [Google Scholar] [CrossRef]





| Body Composition 1 | Body Condition Scoring System (BCS) | ||||
|---|---|---|---|---|---|
| 1 | 2 | 3 | 4 | 5 | |
| Neck | Very flat | Starting to round appearance | Slightly rounded | Rounded | Full and rounded |
| Dewlap | Non-existent | Present but very small | Present | Present with fat apparent | Full of fat, a large flap of skin |
| Shoulder | The shoulder bones are prominent | Covered with soft tissue in some part | Almost covered with soft tissue | Well-covered with soft tissue | The shoulders and forequarters are very well covered with soft tissue |
| Vertebrae | Prominent all along backbone | Easily seen | Visible with some tissue covered | Covered with soft tissue, but shadows can be seen | Not visible and covered with soft tissue |
| Ribs | Very prominent | Easily seen but covered by some tissue | Can be seen but covered by soft tissue | Rarely visible | Not visible |
| Hook | The top is flat, while pins and hooks may be prominent, hollow or dished | The top is flat with obvious hooks and pins | The top is flat or slightly rounded, but hooks are still visible | The top is flat or slightly rounded | The top is rounded, the hook may be slightly visible but flushed with tissue, and hind legs below are very full |
| Tail head | Very flat | Flat | Slightly rounded | Rounded | Rounded and has small mounds of soft tissue |
| Parameter 1 | Model Value | Justification |
|---|---|---|
| Number of years modelled | 100 | Approximately 10 generations |
| Correlation between reproduction and survival as a function of environmental variance | 0.2 | Unknown but expected to be relatively low due to K-selected nature of the species (i.e., low years for reproduction are not always low years for survival) |
| Reproductive system | Short-term polygyny | Gardner et al. (2021) |
| Age (yr) of first offspring–females | 3 | Information from KNP studbook |
| Age (yr) of first offspring–males | 4 | Information from KNP studbook |
| Max age (yr) female reproduction | 15 | Information from KNP studbook |
| Max age (yr) male reproduction | 15 | Information from KNP studbook |
| Max lifespan (yr) | 26 | Information from KNP studbook |
| Max number of calving events per year | 1 | Information from KNP studbook |
| Max number of offspring per calving event | 1 | Can ignore very rare twinning events |
| Sex ratio at birth | 50:50 | No other data |
| Density dependence | none | Intrinsic model |
| % adult females breeding per year (interbirth interval) | 50 | Information from KNP studbook |
| % Female mortality ± SD | 20 ± 10% (Age 0–1 yr) | |
| 2 ± 5% (Age 1–2 yrs) | ||
| 4 ± 5% (Age 2–3 yrs) | ||
| 11.9 ± 2% (Age 3+ yrs) | ||
| For subadults, AWCSG data from B. j. javanicus. For adults, estimated from the North American Region Banteng studbook (both sexes)-equates to a max lifespan of ~28 yrs | ||
| % Male mortality ± SD | 26 ± 10% (Age 0–1 yr) | |
| 8 ± 5% (Age 1–2 yrs) |
| Parameter | Sex | Model | R2 | p-Value |
|---|---|---|---|---|
| Height | Both | yh = 151.5 + 0.23 × 0.26ln(x) | 0.41 | <0.001 |
| Height | Male | yh = 151.50 + 0.28 × 0.26ln(x) | 0.28 | <0.001 |
| Height | Female | yh = 148.50 + 0.19 × 0.26ln(x) | 0.30 | 0.001 |
| Weight | Both | yw = 634.24 – 2.27 × 0.18ln(x) | 0.056 | 0.16 |
| Weight | Male | yw = 634 – 2.16 × 0.19ln(x) | −0.06 | 0.236 |
| Weight | Female | yw = 483 – 2.42 × 0.17ln(x) | −0.04 | 0.48 |
| BCS | Both | yb = 1.80 + 0.58x | 0.69 | <0.001 |
| BCS | Male | yb = 2.32 + 0.31x | 0.78 | <0.001 |
| BCS | Female | yb = 2.35 + 0.23x | 0.70 | <0.001 |
Disclaimer/Publisher’s Note: The statements, opinions and data contained in all publications are solely those of the individual author(s) and contributor(s) and not of MDPI and/or the editor(s). MDPI and/or the editor(s) disclaim responsibility for any injury to people or property resulting from any ideas, methods, instructions or products referred to in the content. |
© 2023 by the authors. Licensee MDPI, Basel, Switzerland. This article is an open access article distributed under the terms and conditions of the Creative Commons Attribution (CC BY) license (https://creativecommons.org/licenses/by/4.0/).
Share and Cite
Chaiyarat, R.; Sriphonkrang, N.; Khamsirinan, P.; Nakbun, S.; Youngpoy, N. Age Structure, Development and Population Viability of Banteng (Bos javanicus) in Captive Breeding for Ex-Situ Conservation and Reintroduction. Animals 2023, 13, 198. https://doi.org/10.3390/ani13020198
Chaiyarat R, Sriphonkrang N, Khamsirinan P, Nakbun S, Youngpoy N. Age Structure, Development and Population Viability of Banteng (Bos javanicus) in Captive Breeding for Ex-Situ Conservation and Reintroduction. Animals. 2023; 13(2):198. https://doi.org/10.3390/ani13020198
Chicago/Turabian StyleChaiyarat, Rattanawat, Neeracha Sriphonkrang, Phattaranan Khamsirinan, Saree Nakbun, and Namphung Youngpoy. 2023. "Age Structure, Development and Population Viability of Banteng (Bos javanicus) in Captive Breeding for Ex-Situ Conservation and Reintroduction" Animals 13, no. 2: 198. https://doi.org/10.3390/ani13020198
APA StyleChaiyarat, R., Sriphonkrang, N., Khamsirinan, P., Nakbun, S., & Youngpoy, N. (2023). Age Structure, Development and Population Viability of Banteng (Bos javanicus) in Captive Breeding for Ex-Situ Conservation and Reintroduction. Animals, 13(2), 198. https://doi.org/10.3390/ani13020198
