Piloting an International Comparison of Readily Accessible Online English Language Advice Surrounding Responsible Cat Ownership
Abstract
Simple Summary
Abstract
1. Introduction
- Categorise search results by country of search, authorship, and country of webpage origin;
- Determine the recommendations accessible via Google search and identify if they vary by country of search, authorship, or country of webpage origin;
- Determine if webpages retrieved using the search term “responsible cat ownership” embraced the social, legal, and environmental aspects of ownership as well as care of the cat;
- Describe and evaluate a search protocol that could be expanded to consider languages other than English and other search terms relevant to cat management.
2. Materials and Methods
3. Results
3.1. Authorship and Country of Webpage Origin Found When Searching from Different Countries
3.2. Recommendations for Responsible Ownership Accessible via Google Search from Specific Countries
3.3. Search Results after Eliminating Duplicate Webpages
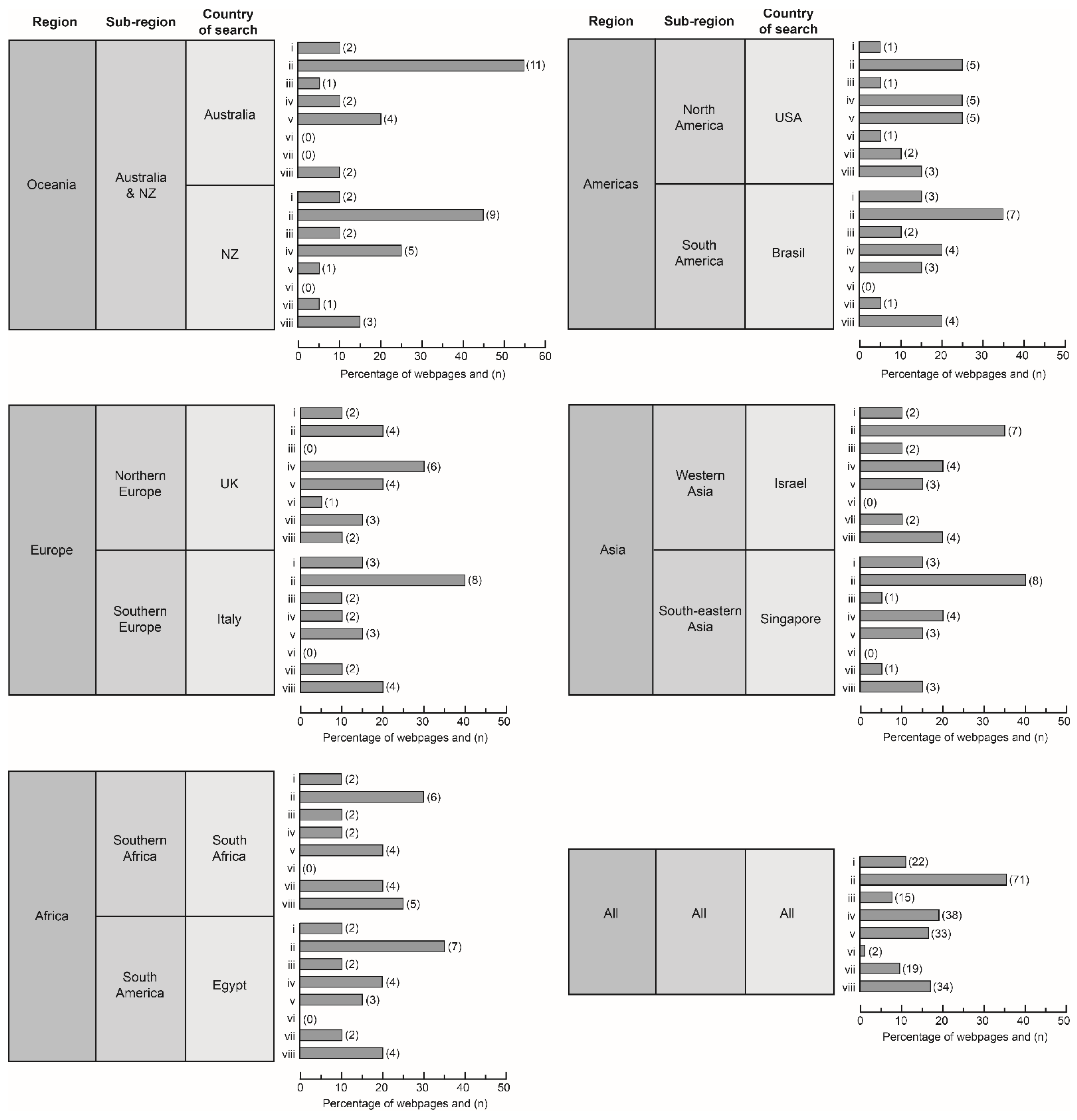
- i.
- Federal and state governments (5 Australia and 1 New Zealand webpage)
- ii.
- Local government (19 Australia and 2 New Zealand webpages)
- iii.
- Non-profit organisations (1 Australia, 1 New Zealand, and 1 USA webpage)
- iv.
- Charities (1 Singapore, 3 Australia, 4 New Zealand, 3 UK, and 1 Canada webpage)
- v.
- Businesses (3 Australia, 2 UK, and 4 USA webpages)
- vi.
- Personal blogs (1 Australia)
- vii.
- Academic papers (1 Singapore, 2 Australia, 1 UK, and 1 Canada)
- viii.
- Direct veterinary associations (2 Australia, 1 New Zealand, 1 UK, and 2 USA)
- Australia (34 webpages)
- New Zealand (8 webpages)
- UK (7 webpages)
- USA (5 webpages)
- Canada (2 webpages)
- Singapore
4. Discussion
4.1. Similar Webpages Occur in Searches, in English, for “Responsible Cat Ownership” across Multiple Countries
4.2. Authorship Analysis across Webpages Indicates Who Is Giving Advice
4.3. What Actions Are Recommended and Who Recommends Them?
4.4. Is the Advice Reliable?
5. Limitations
6. Conclusions
Supplementary Materials
Author Contributions
Funding
Institutional Review Board Statement
Informed Consent Statement
Data Availability Statement
Acknowledgments
Conflicts of Interest
References
- Crawford, H.M.; Calver, M.C.; Fleming, P.A. A Case of Letting the Cat out of The Bag—Why Trap-Neuter-Return Is Not an Ethical Solution for Stray Cat (Felis catus) Management. Animals 2019, 9, 171. [Google Scholar] [CrossRef] [PubMed]
- Carter, J.; Paterson, M.B.A.; Morton, J.M.; Gelves-Gomez, F. Beliefs and Attitudes of Residents in Queensland, Australia, about Managing Dog and Cat Impacts on Native Wildlife. Animals 2020, 10, 1637. [Google Scholar] [CrossRef]
- Hall, C.M.; Adams, N.A.; Bradley, J.S.; Bryant, K.A.; Davis, A.A.; Dickman, C.R.; Fujita, T.; Kobayashi, S.; Lepczyk, C.A.; McBride, E.A.; et al. Community Attitudes and Practices of Urban Residents Regarding Predation by Pet Cats on Wildlife: An International Comparison. PLoS ONE 2016, 11, e0151962. [Google Scholar] [CrossRef] [PubMed]
- Dawson, L.; Cheal, J.; Niel, L.; Mason, G. Humans can identify cats’ affective states from subtle facial expressions. Anim. Welf. 2019, 28, 519–531. [Google Scholar] [CrossRef]
- Zealand, C.A.N. Companion Animals in New Zealand 2016; Companion Animals New Zealand: Auckland, New Zealand, 2020. [Google Scholar]
- Seo, A.; Ueda, Y.; Tanida, H. Health Status of ‘Community Cats’ Living in the Tourist Area of the Old Town in Onomichi City, Japan. J. Appl. Anim. Welf. Sci. 2021, 25, 338–354. [Google Scholar] [CrossRef]
- Statista. Most Popular Pets in Households in Russia in 2021. Available online: https://www.statista.com/statistics/1256042/most-popular-pets-russia/ (accessed on 17 May 2023).
- Sims, V.; Evans, K.L.; Newson, S.E.; Tratalos, J.A.; Gaston, K.J. Avian assemblage structure and domestic cat densities in urban environments. Divers. Distrib. 2008, 14, 387–399. [Google Scholar] [CrossRef]
- Lepczyk, C.A.; Calver, M.C. Cat got your tongue? The misnomer of ‘community cats’ and its relevance to conservation. Biol. Invasions 2022, 24, 2313–2321. [Google Scholar] [CrossRef]
- Kohl, P.A.; Collins, S.J.; Eichholz, M. Metaphor, Trust and Support for Non-native Species Control. Environ. Commun. 2020, 14, 672–685. [Google Scholar] [CrossRef]
- Wald, D.M.; Jacobson, S.K.; Levy, J.K. Outdoor cats: Identifying differences between stakeholder beliefs, perceived impacts, risk and management. Biol. Conserv. 2013, 167, 414–424. [Google Scholar] [CrossRef]
- Farnworth, M.J.; Campbell, J.; Adams, N.J. What’s in a Name? Perceptions of Stray and Feral Cat Welfare and Control in Aotearoa, New Zealand. J. Appl. Anim. Welf. Sci. 2011, 14, 59–74. [Google Scholar] [CrossRef] [PubMed]
- Rijks, J.; Cito, F.; Cunningham, A.; Rantsios, A.; Giovannini, A. Disease Risk Assessments Involving Companion Animals: An Overview for 15 Selected Pathogens Taking a European Perspective. J. Comp. Pathol. 2016, 155, S75–S97. [Google Scholar] [CrossRef]
- Costa, E.D.; Martins, C.M.; Cunha, G.R.; Catapan, D.C.; Ferreira, F.; Oliveira, S.T.; Garcia, R.D.C.M.; Biondo, A.W. Impact of a 3-year pet management program on pet population and owner’s perception. Prev. Veter-Med. 2017, 139, 33–41. [Google Scholar] [CrossRef]
- Day, M. The CALLISTO Project: A Summary. J. Comp. Pathol. 2016, 155, S1–S7. [Google Scholar] [CrossRef] [PubMed]
- Elliott, A.; Howell, T.J.; McLeod, E.M.; Bennett, P.C. Perceptions of Responsible Cat Ownership Behaviors among a Convenience Sample of Australians. Animals 2019, 9, 703. [Google Scholar] [CrossRef] [PubMed]
- Gunaseelan, S.; Coleman, G.J.; Toukhsati, S.R. Attitudes toward Responsible Pet Ownership Behaviors in Singaporean Cat Owners. Anthrozoos 2013, 26, 199–211. [Google Scholar] [CrossRef]
- Ryan, M.J.; Worthngton, A.K. Theory of planned behaviour. In Persuasion Theory in Action: An Open Educational Resources; Worthington, A.K., Ed.; University of Alaska: Anchorage, AK, USA, 2021. [Google Scholar]
- Dabritz, H.A.; Miller, M.A.; Gardner, I.A.; Packham, A.E.; Atwill, E.R.; Conrad, P.A. Risk Factors for Toxoplasma gondii Infection in Wild Rodents from Central Coastal California and a Review of T. gondii Prevalence in Rodents. J. Parasitol. 2008, 94, 675–683. [Google Scholar] [CrossRef] [PubMed]
- Toukhsati, S.; Bennett, P.C.; Coleman, G.J. Behaviors and Attitudes towards Semi-Owned Cats. Anthrozoos 2007, 20, 131–142. [Google Scholar] [CrossRef]
- Hood, J. Pet ownership and Asian multiculturalism. In Proceedings of the Seventh National Conference on Urban Animal Management in Australia, Perth, Australia, 1998. [Google Scholar]
- Linklater, W.L.; Farnworth, M.J.; Heezik, Y.; Stafford, K.J.; Macdonald, E.A. Prioritizing cat-owner behaviors for a campaign to reduce wildlife depredation. Conserv. Sci. Pract. 2019, 1, e29. [Google Scholar] [CrossRef]
- Moreau, D.; Cathelain, P.; Lacheretz, A. Comparative study of causes of death and life expectancy in carnivorous pets (II). Rev. Med. Vet. 2003, 154, 127–132. [Google Scholar]
- Loyd, K.A.T.; Hernandez, S.M.; Abernathy, K.J.; Shock, B.C.; Marshall, G.J. Risk behaviours exhibited by free-roaming cats in a suburban US town. Veter-Rec. 2013, 173, 295. [Google Scholar] [CrossRef]
- Grieshofer, T. Lay Advisers in Family law Settings: The Role and Quality of Advice Provided on Social media. Soc. Leg. Stud. 2022, 31, 941–960. [Google Scholar] [CrossRef]
- Miller, T.; Stockley, R.; Drummond, A.; Watkins, C.; Georgiou, R.; Ahuja, K.D.K.; Bird, M.-L. Online advice for the symptomatic management of post-stroke fatigue: A scoping review. J. Psychosom. Res. 2022, 162, 111039. [Google Scholar] [CrossRef]
- Belot, M.; Kircher, P.; Muller, P. Providing Advice to Jobseekers at Low Cost: An Experimental Study on Online Advice. Rev. Econ. Stud. 2019, 86, 1411–1447. [Google Scholar] [CrossRef]
- Jokar, M.; Rahmanian, V.; Sharifi, N.; Rahmanian, N.; Khoubfekr, H. Feline Infectious Peritonitis and Feline Coronavirus Interest During the COVID-19 Pandemic: A Google Trends Analysis. Am. J. Anim. Veter-Sci. 2021, 16, 162–165. [Google Scholar] [CrossRef]
- Pung, W.C.; Ho, A.P. A Comparative Study on Online Advice-Seeking Strategies between Malaysian and Australian Women. GEMA Online J. Lang. Stud. 2022, 22, 218–237. [Google Scholar] [CrossRef]
- Fokkema, T.; de Vos, R.-J.; van Ochten, J.M.; Verhaar, J.A.; Davis, I.S.; Bindels, P.J.; Bierma-Zeinstra, S.M.; van Middelkoop, M. Preventing running-related injuries using evidence-based online advice: The design of a randomised-controlled trial. BMJ Open Sport Exerc. Med. 2017, 3, e000265. [Google Scholar] [CrossRef]
- Gunaratne, J.; Zalmanson, L.; Nov, O. The Persuasive Power of Algorithmic and Crowdsourced Advice. J. Manag. Inf. Syst. 2018, 35, 1092–1120. [Google Scholar] [CrossRef]
- Sarah, V. The Value of Google Result Positioning. Available online: https://research.chitika.com/the-value-of-google-result-positioning-2/ (accessed on 15 January 2023).
- Legge, S.; Nou, T. The Management of Cats by Local Governments in Australia: Summary of National Survey Results. Project 7.4 of the National Science Programme’s Threatened Species Recovery Hub; Brisbane. 2021. Available online: https://www.nespthreatenedspecies.edu.au/media/2rxhzg1o/7-4-the-management-of-cats-by-local-governments-in-australia-summary-of-national-survey-results-ff_v2.pdf (accessed on 20 July 2023).
- ACT Government. ACT Cat Plan 2021–2031. A Plan Developed under the 2017 ACT Animal Welfare and Management Strategy; ACT Government: Canberra, Australia, 2021. [Google Scholar]
- Lord, L.K.; Griffin, B.; Slater, M.R.; Levy, J.K. Evaluation of collars and microchips for visual and permanent identification of pet cats. J. Am. Vet. Med. Assoc. 2010, 237, 387–394. [Google Scholar] [CrossRef]
- Lord, L.K.; Wittum, T.E.; Ferketich, A.K.; Funk, J.A.; Rajala-Schultz, P.J. Search methods that people use to find owners of lost pets. J. Am. Vet. Med. Assoc. 2007, 230, 1835–1840. [Google Scholar] [CrossRef]
- Lord, L.K.; Wittum, T.E.; Ferketich, A.K.; Funk, J.A.; Rajala-Schultz, P.J. Search and identification methods that owners use to find a lost cat. J. Am. Veter-Med. Assoc. 2007, 230, 217–220. [Google Scholar] [CrossRef]
- Calver, M.; Adams, G.; Clark, W.; Pollock, K. Assessing the safety of collars used to attach predation deterrent devices and ID tags to pet cats. Anim. Welf. 2013, 22, 95–105. [Google Scholar] [CrossRef]
- Farnworth, M.J.; Adams, N.J.; Seksel, K.; Waran, N.K.; Beausoleil, N.J.; Stafford, K.J. Veterinary attitudes towards pre-pubertal gonadectomy of cats: A comparison of samples from New Zealand, Australia and the United Kingdom. N. Z. Veter-J. 2013, 61, 226–233. [Google Scholar] [CrossRef] [PubMed]
- Murray, J.K.; Mosteller, J.R.; Loberg, J.M.; Andersson, M.; Benka, V.A.W. Methods of fertility control in cats: Owner, breeder and veterinarian behavior and attitudes. J. Feline Med. Surg. 2015, 17, 790–799. [Google Scholar] [CrossRef] [PubMed]
- Spain, C.V.; Scarlett, J.M.; Houpt, K.A. Long-term risks and benefits of early-age gonadectomy in cats. J. Am. Veter-Med. Assoc. 2004, 224, 372–379. [Google Scholar] [CrossRef]
- Stavisky, J.; Brennan, M.L.; Downes, M.; Dean, R. Demographics and economic burden of un-owned cats and dogs in the UK: Results of a 2010 census. BMC Veter-Res. 2012, 8, 163. [Google Scholar] [CrossRef]
- Tan, S.M.; Stellato, A.C.; Niel, L. Uncontrolled Outdoor Access for Cats: An Assessment of Risks and Benefits. Animals 2020, 10, 258. [Google Scholar] [CrossRef]
- Loss, S.R.; Will, T.; Marra, P.P. The impact of free-ranging domestic cats on wildlife of the United States. Nat. Commun. 2013, 4, 1396. [Google Scholar] [CrossRef]
- Walker, J.K.; Bruce, S.J.; Dale, A.R. A Survey of Public Opinion on Cat (Felis catus) Predation and the Future Direction of Cat Management in New Zealand. Animals 2017, 7, 49. [Google Scholar] [CrossRef]
- Amat, M.; de la Torre, J.L.R.; Fatjó, J.; Mariotti, V.M.; Van Wijk, S.; Manteca, X. Potential risk factors associated with feline behaviour problems. Appl. Anim. Behav. Sci. 2009, 121, 134–139. [Google Scholar] [CrossRef]
- Rowe, E.; Browne, W.; Casey, R.; Gruffydd-Jones, T.; Murray, J. Risk factors identified for owner-reported feline obesity at around one year of age: Dry diet and indoor lifestyle. Prev. Veter-Med. 2015, 121, 273–281. [Google Scholar] [CrossRef]
- Rochlitz, I. Study of factors that may predispose domestic cats to road traffic accidents: Part 1. Veter-Rec. 2003, 153, 549–553. [Google Scholar] [CrossRef]
- Rochlitz, I. A review of the housing requirements of domestic cats (Felis silvestris catus) kept in the home. Appl. Anim. Behav. Sci. 2005, 93, 97–109. [Google Scholar] [CrossRef]
- De Andrade, F.T.M.; De Araújo, C.L.; Paulo, O.L.D.O.H.; Rocha, J.R.; Dias, F.G.G.; Pereira, L.D.F.; Jorge, A.T.; Honsho, C.S. Responsible pet ownership: A multidisciplinary issue. Acta Vet. Bras. 2015, 9, 91–97. [Google Scholar] [CrossRef]
- Rochlitz, I. Study of factors that may predispose domestic cats to road traffic accidents: Part 2. Veter-Rec. 2003, 153, 585–588. [Google Scholar] [CrossRef]
- Rochlitz, I. Feline welfare issues. In The Domestic Cat: The Biology of its Behaviour; Turner, D.C., Bateson, P., Eds.; Cambridge University Press: Cambridge, UK, 2014; pp. 131–154. [Google Scholar]
- Ellis, S.L.H.; Rodan, I.; Carney, H.C.; Heath, S.; Rochlitz, I.; Shearburn, L.D.; Sundahl, E.; Westropp, J.L. AAFP and ISFM Feline Environmental Needs Guidelines. J. Feline Med. Surg. 2013, 15, 219–230. [Google Scholar] [CrossRef] [PubMed]
- Machado, D.d.S.; Gonçalves, L.d.S.; Vicentini, R.R.; Ceballos, M.C.; Sant’anna, A.C. Beloved Whiskers: Management Type, Care Practices and Connections to Welfare in Domestic Cats. Animals 2020, 10, 2308. [Google Scholar] [CrossRef] [PubMed]
- Finkler, H.; Terkel, J. The contribution of cat owners’ attitudes and behaviours to the free-roaming cat overpopulation in Tel Aviv, Israel. Prev. Veter-Med. 2012, 104, 125–135. [Google Scholar] [CrossRef]
- Sandøe, P.; Corr, S.; Palmer, C. Companion Animal Ethics; Wiley-Blackwell: Hoboken, NJ, USA, 2015. [Google Scholar]
- Voith, V.L. The Impact of Companion Animal Problems on Society and the Role of Veterinarians. Veter-Clin. N. Am. Small Anim. Pract. 2009, 39, 327–345. [Google Scholar] [CrossRef]
- Machado, D.; Machado, J.C.; De Souza, J.O.T.; Sant’Anna, A.C. The importance of responsible cat ownership: Practical aspects and connections with animal welfare. Rev. Acad. Cienc. Anim. 2019, 17, 1–13. [Google Scholar] [CrossRef]
- Mori, E.; Menchetti, M.; Camporesi, A.; Cavigioli, L.; De Fatis, K.T.; Girardello, M. License to Kill? Domestic Cats Affect a Wide Range of Native Fauna in a Highly Biodiverse Mediterranean Country. Front. Ecol. Evol. 2019, 7, 477. [Google Scholar] [CrossRef]
- Calver, M.C.; Crawford, H.M.; Fleming, P.A. Response to Wolf et al.: Furthering Debate over the Suitability of Trap-Neuter-Return for Stray Cat Management. Animals 2020, 10, 362. [Google Scholar] [CrossRef]
- McLeod, L.J.; Driver, A.B.; Bengsen, A.J.; Hine, D.W. Refining Online Communication Strategies for Domestic Cat Management. Anthrozoos 2017, 30, 635–649. [Google Scholar] [CrossRef]
- McLeod, L.J.; Hine, D.W.; Bengsen, A.J.; Driver, A.B. Assessing the impact of different persuasive messages on the intentions and behaviour of cat owners: A randomised control trial. Prev. Veter-Med. 2017, 146, 136–142. [Google Scholar] [CrossRef] [PubMed]
- Clarke, A.L.; Pacin, T. Domestic cat “colonies” in natural areas: A growing exotic species threat. Nat. Areas J. 2002, 22, 154–159. [Google Scholar]
- Abbate, C. Re-defending Feline Liberty: A Response to Fischer. Acta Anal. 2021, 36, 451–463. [Google Scholar] [CrossRef]
- Abbate, C. A Defense of Free-Roaming Cats from a Hedonist Account of Feline Well-being. Acta Anal. 2020, 35, 439–461. [Google Scholar] [CrossRef]



| Date of Search | Country (City of Search and Population) | Number of New Webpages in First 20 Search Results/Numbers of Duplicate Results and Country Where Duplicate Webpage Initially Identified | Running Total of Different Pages | Number of Unique Pages |
|---|---|---|---|---|
| 1 January 2022 | Australia (Perth, 1.9 million) | 20 | 20 | 7 |
| 1 January 2022 | USA (Seattle, 4.1 million) | 12/8(AUS) | 32 | 4 |
| 1 January 2022 | Singapore (Singapore, 5.6 million) | 4/12(AUS), 4(USA) | 36 | 0 |
| 1 January 2022 | UK (London, 9.5 million) | 8/7(AUS), 5(USA) | 44 | 6 |
| 4 January 2022 | South Africa (Johannesburg, 6.1 million) | 6/6(AUS), 6(USA), 1(SGP), 1(GBR) | 50 | 1 |
| 4 January 2022 | NZ (Wellington, 0.2 million) | 6/5(AUS), 3 (USA), 3(ZAF) 2(SGP), 1(GBR) | 56 | 6 |
| 4 January 2022 | Brazil (Brasilia, 4.8 million) | 0/9(AUS), 5(USA), 3(ZAF), 2(SGP), 1(GBR) | 56 | 0 |
| 4 January 2022 | Israel (Tel Aviv, 4.4 million) | 2/7(AUS), 5(USA), 4(ZAF), 2(SGP) | 58 | 0 |
| 4 January 2022 | Italy (Rome, 4.3 million) | 0/9(AUS), 5(USA), 4(ZAF), 1(SGP), 1(ISR) | 58 | 0 |
| 4 January 2022 | Egypt (Cairo, 21.8 million) | 0/7(AUS), 5(USA), 4(ZAF), 2(SGP), 2(ISR) | 58 | 0 |
| Region | Sub-Region | Country of Search | Number and % of Results by Country of Webpage Origin |
|---|---|---|---|
| Oceania | Australia and NZ | Australia NZ | AUS: 18 (90%), USA: 2 (10%) AUS: 10 (50%), NZL: 7 (35%), USA: 1 (5%), GBR: 1 (5%), CAN: 1 (5%) |
| Americas | North America | USA | AUS: 10 (50%), USA: 5 (25%), SGP: 2 (10%), NZL: 1 (5%), GBR: 1 (5%), CAN: 1 (5%) |
| South America | Brazil | AUS: 12 (60%), NZL: 3 (15%), USA: 2 (10%), GBR: 1 (5%), CAN: 1 (5%), SGP: 1 (5%) | |
| Europe | Northern Europe | UK | AUS: 10 (50%), GBR: 7 (35%), USA: 2 (10%), SGP: 1 (5%) |
| Southern Europe | Italy | AUS: 13 (65%), NZL: 2 (10%), USA: 2 (10%), GBR: 1 (5%), CAN: 1 (5%), SGP: 1 (5%) | |
| Asia | Western Asia | Israel | AUS: 12 (60%), NZL: 3 (15%), USA: 2 (10%), GBR: 1 (5%), CAN: 1 (5%), SGP: 1 (5%) |
| South-eastern Asia | Singapore | AUS: 14 (70%), USA: 2 (10%), GBR: 1 (5%) CAN: 1 (5%), NZL: 1 (5%), SGP: 1 (5%) | |
| Africa | Southern Africa | South Africa | AUS: 10 (50%), NZL: 3 (15%) USA: 2 (10%), GBR: 2 (10%), SGP: 2 (10%), CAN: 1 (5%) |
| Northern Africa | Egypt | AUS: 12 (60%), NZL: 3 (15%), USA: 2 (10%), SGP: 1 (5%), GBR: 1 (5%), CAN: 1 (5%) | |
| All | All | All | AUS:121 (60.5%), NZL: 24 (12%), USA: 22 (11%), GBR: 16 (8%), SGP: 10 (5%), CAN: 7 (3.5%) |
| Recommendation | Country of Search | ||||||||||
|---|---|---|---|---|---|---|---|---|---|---|---|
| Australia | NZ | USA | Brazil | UK | Italy | Singapore | Israel | S. Africa | Egypt | All | |
| Environmental and behavioural enrichment | 6 | 7 | 10 | 8 | 6 | 7 | 6 | 9 | 9 | 9 | 77 |
| Containment | 17 | 15 | 10 | 12 | 9 | 12 | 13 | 12 | 11 | 12 | 123 |
| Discouraging abandonment, encouraging full adoption of strays/rescue cats | 4 | 6 | 3 | 3 | 4 | 3 | 3 | 2 | 2 | 3 | 33 |
| Ethical breeding | 4 | 3 | 3 | 4 | 2 | 5 | 3 | 4 | 3 | 5 | 36 |
| Providing for cat behavioural and physical needs | 5 | 8 | 11 | 10 | 7 | 10 | 7 | 12 | 11 | 12 | 93 |
| Improved disease control/advocacy for veterinary checks | 9 | 9 | 13 | 12 | 7 | 10 | 10 | 12 | 10 | 12 | 104 |
| Maximum number of cats/household | 6 | 2 | 2 | 5 | 3 | 6 | 4 | 5 | 2 | 5 | 40 |
| Parasite control | 7 | 4 | 7 | 6 | 6 | 4 | 7 | 6 | 4 | 6 | 57 |
| Pet insurance | 0 | 1 | 1 | 3 | 1 | 1 | 2 | 3 | 2 | 3 | 17 |
| Suitable nutrition | 5 | 6 | 10 | 8 | 8 | 7 | 6 | 9 | 8 | 6 | 76 |
| Registration and microchipping | 18 | 15 | 13 | 17 | 10 | 16 | 18 | 16 | 14 | 16 | 153 |
| Desexing | 16 | 16 | 12 | 14 | 7 | 14 | 15 | 14 | 12 | 14 | 134 |
| Discourage hunting (cat bibs or bells) | 2 | 6 | 1 | 2 | 2 | 2 | 2 | 2 | 2 | 2 | 23 |
| Vaccination | 9 | 7 | 8 | 7 | 6 | 5 | 7 | 7 | 5 | 7 | 68 |
| Identification on cat | 8 | 6 | 4 | 7 | 5 | 8 | 6 | 7 | 6 | 7 | 64 |
| Discouraging cruelty to cats | 0 | 3 | 0 | 1 | 2 | 1 | 0 | 1 | 1 | 1 | 10 |
| Authorship | Country of Webpage Origin | |||||
|---|---|---|---|---|---|---|
| Singapore | Australia | New Zealand | UK | USA | Canada | |
| Federal or state government | 0 | 5 | 1 | 1 | 0 | 0 |
| Local government | 0 | 19 | 2 | 0 | 0 | 0 |
| Non-profit organisation | 0 | 1 | 1 | 0 | 1 | 0 |
| Charity | 1 | 3 | 4 | 3 | 0 | 1 |
| Business | 0 | 3 | 0 | 2 | 4 | 0 |
| Personal blog | 0 | 1 | 0 | 0 | 0 | 0 |
| Academic paper | 1 | 2 | 0 | 1 | 0 | 1 |
| Veterinary | 0 | 2 | 1 | 1 | 2 | 0 |
| No. of webpages * | 2 | 34 | 8 | 7 | 5 | 2 |
| Recommendation | No. of Different Webpages | Percentage of Different Webpages |
|---|---|---|
| Environmental and behavioural enrichment | 17 | 29.3 |
| Containment | 35 | 60.3 |
| Discouraging abandonment, encouraging full adoption of strays/rescue cats | 11 | 19.0 |
| Ethical breeding | 10 | 17.2 |
| Providing for cat behavioural and physical needs | 23 | 40.0 |
| Improved disease control/advocacy for veterinary checks | 22 | 38.0 |
| Maximum number of cats/household | 13 | 34.2 |
| Parasite control | 11 | 19.0 |
| Pet insurance | 3 | 5.2 |
| Suitable nutrition | 20 | 34.5 |
| Registration and microchipping | 38 | 65.5 |
| Desexing | 38 | 65.5 |
| Discourage hunting (cat bibs or bells) | 10 | 17.2 |
| Vaccination | 17 | 29.31 |
| Identification on cat | 19 | 32.8 |
| Discouraging cruelty to cats | 6 | 10.4 |
| Recommendation | Country of Webpage Origin | |||||
|---|---|---|---|---|---|---|
| Singapore | Australia | New Zealand | UK | USA | Canada | |
| Environmental and behavioural enrichment | 1 | 8 | 3 | 0 | 5 | 0 |
| Containment | 0 | 27 | 6 | 0 | 1 | 2 |
| Discouraging abandonment, encouraging full adoption of strays/rescue cats | 0 | 5 | 6 | 0 | 1 | 2 |
| Ethical breeding | 1 | 6 | 2 | 1 | 0 | 0 |
| Providing for cat behavioural and physical needs | 1 | 9 | 4 | 5 | 3 | 1 |
| Improved disease control/advocacy for veterinary checks | 1 | 10 | 4 | 1 | 4 | 2 |
| Maximum no. of cats/household | 0 | 12 | 1 | 0 | 0 | 0 |
| Parasite control | 0 | 6 | 2 | 0 | 3 | 0 |
| Pet insurance | 0 | 0 | 2 | 1 | 0 | 0 |
| Suitable nutrition | 1 | 9 | 3 | 3 | 3 | 1 |
| Registration and microchipping | 0 | 28 | 5 | 1 | 2 | 2 |
| Desexing | 1 | 25 | 7 | 0 | 3 | 2 |
| Discourage hunting (cat bibs, bells) | 0 | 6 | 4 | 0 | 0 | 0 |
| Vaccination | 0 | 12 | 3 | 0 | 2 | 0 |
| Identification on cat | 0 | 16 | 2 | 1 | 0 | 0 |
| Discouraging cruelty to cats | 0 | 1 | 2 | 3 | 0 | 0 |
| No. of webpages * | 2 | 34 | 8 | 7 | 5 | 2 |
Disclaimer/Publisher’s Note: The statements, opinions and data contained in all publications are solely those of the individual author(s) and contributor(s) and not of MDPI and/or the editor(s). MDPI and/or the editor(s) disclaim responsibility for any injury to people or property resulting from any ideas, methods, instructions or products referred to in the content. |
© 2023 by the authors. Licensee MDPI, Basel, Switzerland. This article is an open access article distributed under the terms and conditions of the Creative Commons Attribution (CC BY) license (https://creativecommons.org/licenses/by/4.0/).
Share and Cite
Dalais, R.J.; Calver, M.C.; Farnworth, M.J. Piloting an International Comparison of Readily Accessible Online English Language Advice Surrounding Responsible Cat Ownership. Animals 2023, 13, 2434. https://doi.org/10.3390/ani13152434
Dalais RJ, Calver MC, Farnworth MJ. Piloting an International Comparison of Readily Accessible Online English Language Advice Surrounding Responsible Cat Ownership. Animals. 2023; 13(15):2434. https://doi.org/10.3390/ani13152434
Chicago/Turabian StyleDalais, Reece J., Michael C. Calver, and Mark J. Farnworth. 2023. "Piloting an International Comparison of Readily Accessible Online English Language Advice Surrounding Responsible Cat Ownership" Animals 13, no. 15: 2434. https://doi.org/10.3390/ani13152434
APA StyleDalais, R. J., Calver, M. C., & Farnworth, M. J. (2023). Piloting an International Comparison of Readily Accessible Online English Language Advice Surrounding Responsible Cat Ownership. Animals, 13(15), 2434. https://doi.org/10.3390/ani13152434

