Analysis of the Influence of Changing and Fixed Temperatures on the Growth and Pteridine Content in the Head of Adults Sarcophaga crassipalpis (Diptera: Sarcophagidae)
Abstract
Simple Summary
Abstract
1. Introduction
2. Materials and Methods
2.1. Settlement of Laboratory Specimen and SAMPLING
2.2. Evaluation of Lifespan and Measurement of Larval Body Length
2.3. Pteridine Extraction
2.4. Statistical Analysis
3. Results
3.1. Development Time at Fixed and Changing Temperatures
3.2. Lifespan and Isomorphen Diagrams
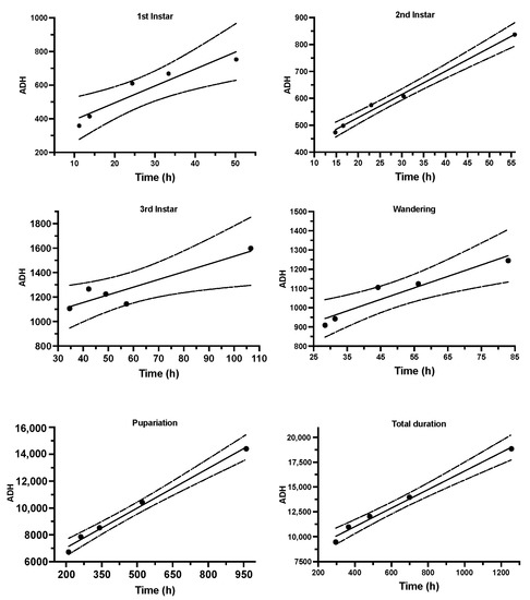
3.3. Thermal Accumulated Models
3.4. Variations in Larval Body Length Measurement and Isomegalen Graphs
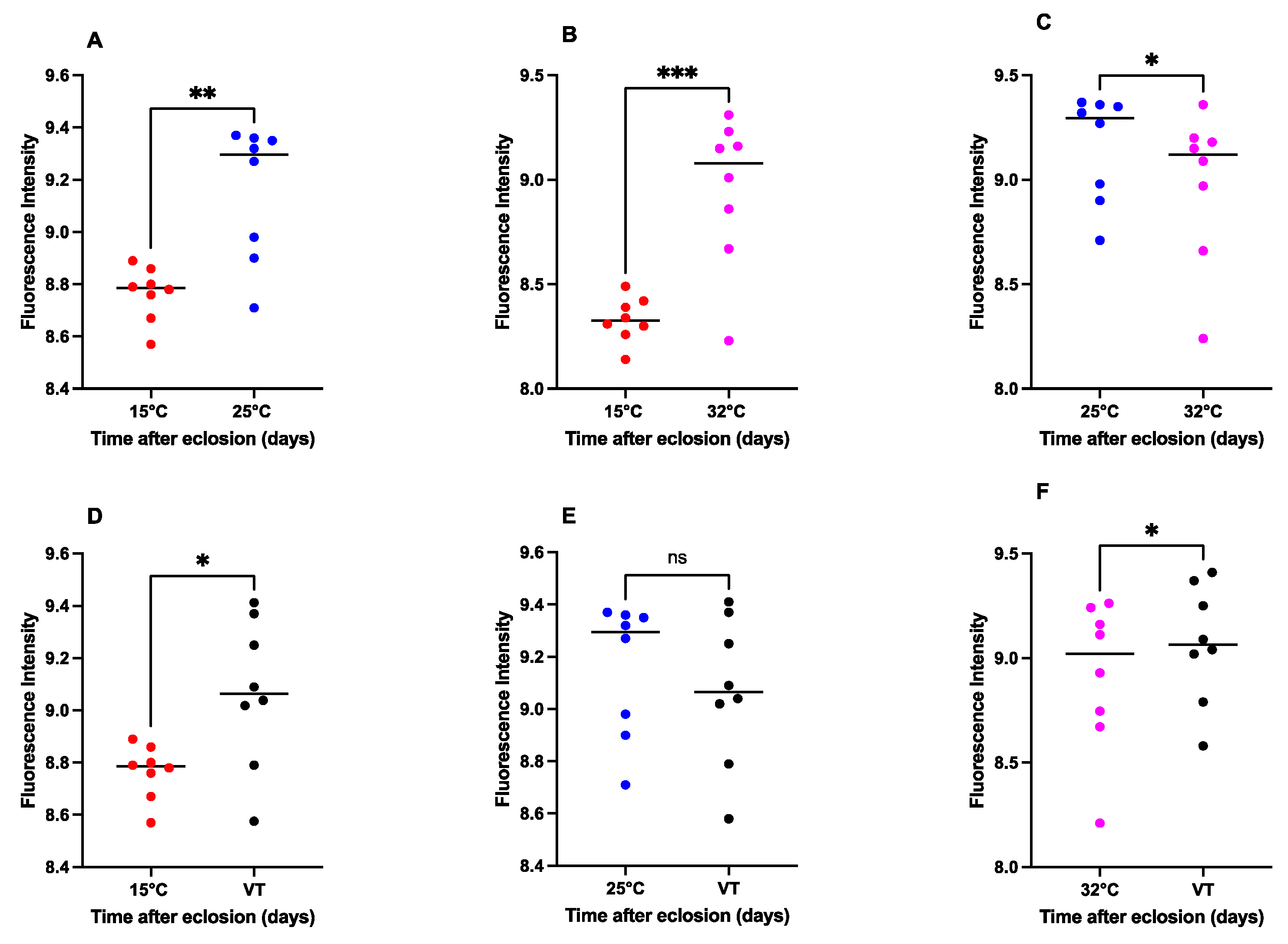
3.5. Effect of Temperature Variation on the Content of Pteridine
4. Discussion
5. Conclusions
Supplementary Materials
Author Contributions
Funding
Institutional Review Board Statement
Informed Consent Statement
Data Availability Statement
Acknowledgments
Conflicts of Interest
References
- Kruger, R.; Ribeiro, P.; Costa, P. Ciclo de vida de Sarcophaga (Liopygia) crassipalpis (Macquart) (Diptera, Sarcophagidae). Entomol. Vectores 2003, 10, 85–98. [Google Scholar]
- Giangaspero, A.; Marangi, M.; Balotta, A.; Venturelli, C.; Szpila, K.; Di Palma, A. Wound Myiasis Caused by Sarcophaga (Liopygia) Argyrostoma (Robineau-Desvoidy) (Diptera: Sarcophagidae): Additional Evidences of the Morphological Identification Dilemma and Molecular Investigation. Sci. World J. 2017, 2017, 9064531. [Google Scholar] [CrossRef] [PubMed]
- Bonacci, T.; Greco, S.; Berardo, C.; Brandmayr, P.; Vercillo, V. The Flesh Fly Sarcophaga (Liopygia) crassipalpis Macquart 1839 as an Invader of a Corpse in Calabria (Southern Italy). J. Forensic Sci. Criminol. 2014, 1, 1–5. [Google Scholar] [CrossRef]
- Pape, T. Catalogue of the Sarcophagidae of the World (Insecta: Diptera); Memoirs of Entomology International: Gainesville, FL, USA, 1996; Volume 8, pp. 1–558. [Google Scholar]
- Aslan, A.; Çalışkan, H. Fauna of Eskişehir Sarcophagidae (Insecta, Diptera), and new records for Turkey. Sak. Üniversitesi Fen. Edeb. Derg. 2009, 11, 15–27. [Google Scholar]
- Flannagan, R.D.; Tammariello, S.P.; Joplin, K.H.; Cikra-Ireland, R.A.; Yocum, G.D.; Denlinger, D.L. Diapause-specific gene expression in pupae of the flesh fly Sarcophaga crassipalpis. Proc. Natl. Acad. Sci. USA 1998, 95, 5616–5620. [Google Scholar] [CrossRef]
- Tammariello, S.P.; Denlinger, D.L. G0/G1 cell cycle arrest in the brain of Sarcophaga crassipalpis during pupal diapause and the expression pattern of the cell cycle regulator, proliferating cell nuclear antigen. Insect Biochem. Mol. Biol. 1998, 28, 83–89. [Google Scholar] [CrossRef]
- Yocum, G.D.; Joplin, K.H.; Denlinger, D.L. Upregulation of a 23 kDa small heat shock protein transcript during pupal diapause in the flesh fly, Sarcophaga crassipalpis. Insect Biochem. Mol. Biol. 1998, 28, 677–682. [Google Scholar] [CrossRef]
- Rinehart, J.P.; Denlinger, D.L. Heat-shock protein 90 is down-regulated during pupal diapause in the flesh fly, Sarcophaga crassipalpis, but remains responsive to thermal stress. Insect Mol. Biol. 2000, 9, 641–645. [Google Scholar] [CrossRef]
- Bulut, M.; Zeybekoğlu, Ü.; Kökdener, M. Effects of Tissue Type and Temperature on Selected Life-History Traits of the Flesh Fly, Sarcophaga crassipalpis (Macquart, 1839) (Diptera: Sarcophagidae). J. Med. Entomol. 2022, 59, 1921–1927. [Google Scholar] [CrossRef]
- Dylan Shropshire, J.; Moore, D.; Seier, E.; Joplin, K.H. Male aggression, limited female choice and the ontogeny of mating behaviour in the flesh fly Sarcophaga crassipalpis. Physiol. Entomol. 2015, 40, 325–335. [Google Scholar] [CrossRef]
- Miyazaki, Y.; Goto, S.G.; Tanaka, K.; Saito, O.; Watari, Y. Thermoperiodic regulation of the circadian eclosion rhythm in the flesh fly, Sarcophaga crassipalpis. J. Insect Physiol. 2011, 57, 1249–1258. [Google Scholar] [CrossRef]
- Kostál, V.; Závodská, R.; Denlinger, D. Clock genes period and timeless are rhythmically expressed in brains of newly hatched, photosensitive larvae of the fly, Sarcophaga crassipalpis. J. Insect Physiol. 2009, 55, 408–414. [Google Scholar] [CrossRef]
- Prohaska, F.; Joplin, K.H.; Moore, D. Effects of gender, age, and nutrition on circadian locomotor activity rhythms in the flesh fly Sarcophaga crassipalpis. J. Insect Physiol. 2018, 107, 265–275. [Google Scholar] [CrossRef]
- Hance, T.; van Baaren, J.; Vernon, P.; Boivin, G. Impact of extreme temperatures on parasitoids in a climate change perspective. Annu. Rev. Entomol. 2007, 52, 107–126. [Google Scholar] [CrossRef] [PubMed]
- Ma, C.S.; Ma, G.; Pincebourde, S. Survive a Warming Climate: Insect Responses to Extreme High Temperatures. Annu. Rev. Entomol. 2021, 66, 163–184. [Google Scholar] [CrossRef] [PubMed]
- Alpert, M.H.; Gil, H.; Para, A.; Gallio, M. A thermometer circuit for hot temperature adjusts Drosophila behavior to persistent heat. Curr. Biol. 2022, 32, 4079–4087.e4. [Google Scholar] [CrossRef]
- Stejskal, V.; Vendl, T.; Li, Z.; Aulicky, R. Minimal Thermal Requirements for Development and Activity of Stored Product and Food Industry Pests (Acari, Coleoptera, Lepidoptera, Psocoptera, Diptera and Blattodea): A Review. Insects 2019, 10, 149. [Google Scholar] [CrossRef]
- Chen, C.-P.; Denlinger, D.; Lee, R. Responses of Nondiapausing Flesh Flies (Diptera: Sarcophagidae) to Low Rearing Temperatures: Developmental Rate, Cold Tolerance, and Glycerol Concentrations. Ann. Entomol. Soc. Am. 1987, 80, 790–796. [Google Scholar] [CrossRef]
- Goto, S.G.; Denlinger, D.L. Short-day and long-day expression patterns of genes involved in the flesh fly clock mechanism: Period, timeless, cycle and cryptochrome. J. Insect Physiol. 2002, 48, 803–816. [Google Scholar] [CrossRef] [PubMed]
- Ma, Y.; Hu, C.; Min, J. Effects of temperature on the growth and development of four common necrophagous flies and their significance in forensic medicine. Chin. J. Forensic Med. 1998, 13, 81–84. [Google Scholar]
- Hahn, D.; James, L.; Milne, K.; Hatle, J. Life-history plasticity after attaining a dietary threshold for reproduction is associated with protein storage in flesh flies. Funct. Ecol. 2008, 22, 1081–1090. [Google Scholar] [CrossRef]
- Hahn, D.A.; Rourke, M.N.; Milne, K.R. Mating affects reproductive investment into eggs, but not the timing of oogenesis in the flesh fly Sarcophaga crassipalpis. J. Comp. Physiol. B 2008, 178, 225–233. [Google Scholar] [CrossRef] [PubMed]
- Rinehart, J.; Yocum, G.; Denlinger, D. Thermotolerance and rapid cold hardening ameliorate the negative effects of brief exposures to high or low temperatures on fecundity in the flesh fly, Sarcophaga crassipalpis. Physiol. Entomol. 2000, 25, 330–336. [Google Scholar] [CrossRef]
- Denlinger, D. Diapause among the flesh flies (Diptera: Sarcophagidae). Eur. J. Entomol. 2022, 119, 170–182. [Google Scholar] [CrossRef]
- Rinehart, J.P.; Yocum, G.D.; Denlinger, D.L. Developmental upregulation of inducible hsp70 transcripts, but not the cognate form, during pupal diapause in the flesh fly, Ssarcophaga crassipalpis. Insect Biochem. Mol. Biol. 2000, 30, 515–521. [Google Scholar] [CrossRef] [PubMed]
- Zhang, X.; Li, Y.; Shang, Y.; Ren, L.; Chen, W.; Wang, S.; Guo, Y. Development of Sarcophaga dux (diptera: Sarcophagidae) at constant temperatures and differential gene expression for age estimation of the pupae. J. Therm. Biol. 2020, 93, 102735. [Google Scholar] [CrossRef] [PubMed]
- Shang, Y.; Amendt, J.; Wang, Y.; Ren, L.; Yang, F.; Zhang, X.; Zhang, C.; Guo, Y. Multimethod combination for age estimation of Sarcophaga peregrina (Diptera: Sarcophagidae) with implications for estimation of the postmortem interval. Int. J. Leg. Med. 2022, 137, 329–344. [Google Scholar] [CrossRef]
- Sert, O.; Örsel, G.M.; Şabanoğlu, B.; Özdemir, S. A Study of the pupal developments of Sarcophaga argyrostoma (Robineau-Desvoidy, 1830). Forensic Sci. Med. Pathol. 2020, 16, 12–19. [Google Scholar] [CrossRef]
- Amoudi, M.A.; Diab, F.M.; Abou-Fannah, S.S. Development rate and mortality of immature Parasarcophaga (Liopygia) ruficornis (Diptera: Sarcophagidae) at constant laboratory temperatures. J. Med. Entomol. 1994, 31, 168–170. [Google Scholar] [CrossRef]
- Nassu, M.P.; Thyssen, P.J.; Linhares, A.X. Developmental rate of immatures of two fly species of forensic importance: Sarcophaga (Liopygia) ruficornis and Microcerella halli (Diptera: Sarcophagidae). Parasitol. Res. 2014, 113, 217–222. [Google Scholar] [CrossRef]
- Amoudi, M.A. Effect of temperature on the developmental stages of Wohlfahrtia nuba (Diptera: Sarcophagidae). J. Egypt. Soc. Parasitol. 1993, 23, 697–705. [Google Scholar]
- Bhosale, P.A. Significance of Forensic Fly and Seasonal Variation in the Temperature of Developmental Stages in Lifecycle for Family Sarcophagidae, Sarcophaga africa. Int. J. Adv. Res. Sci. Commun. Technol. 2023, 3, 153–156. [Google Scholar] [CrossRef]
- Shang, Y.; Yang, F.; Ngando, F.J.; Zhang, X.; Feng, Y.; Ren, L.; Guo, Y. Development of Forensically Important Sarcophaga peregrina (Diptera: Sarcophagidae) and Intra-Puparial Age Estimation Utilizing Multiple Methods at Constant and Fluctuating Temperatures. Animals 2023, 13, 1607. [Google Scholar] [CrossRef] [PubMed]
- Warren, J.A.; Anderson, G.S. Effect of fluctuating temperatures on the development of a forensically important blow fly, Protophormia terraenovae (Diptera: Calliphoridae). Env. Entomol. 2013, 42, 167–172. [Google Scholar] [CrossRef]
- Niederegger, S.; Pastuschek, J.; Mall, G. Preliminary studies of the influence of fluctuating temperatures on the development of various forensically relevant flies. Forensic Sci. Int. 2010, 199, 72–78. [Google Scholar] [CrossRef]
- Chen, W.; Yang, L.; Ren, L.; Shang, Y.; Wang, S.; Guo, Y. Impact of Constant Versus Fluctuating Temperatures on the Development and Life History Parameters of Aldrichina grahami (Diptera: Calliphoridae). Insects 2019, 10, 184. [Google Scholar] [CrossRef] [PubMed]
- Byrd, J.H.; Butler, J.F. Effects of temperature on Sarcophaga haemorrhoidalis (Diptera: Sarcophagidae) development. J. Med. Entomol. 1998, 35, 694–698. [Google Scholar] [CrossRef]
- Brent, C.S.; Spurgeon, D.W. Reproductive Development of Lygus hesperus (Hemiptera: Miridae) Adults Under Constant and Variable Temperatures. J. Insect Sci. 2019, 19, 24. [Google Scholar] [CrossRef]
- Mironidis, G.K. Development, survivorship and reproduction of Helicoverpa armigera (Lepidoptera: Noctuidae) under fluctuating temperatures. Bull. Entomol. Res. 2014, 104, 751–764. [Google Scholar] [CrossRef]
- Yu, C.; Zhao, R.; Zhou, W.; Pan, Y.; Tian, H.; Yin, Z.; Chen, W. Fruit Fly in a Challenging Environment: Impact of Short-Term Temperature Stress on the Survival, Development, Reproduction, and Trehalose Metabolism of Bactrocera dorsalis (Diptera: Tephritidae). Insects 2022, 13, 753. [Google Scholar] [CrossRef]
- Colinet, H.; Sinclair, B.J.; Vernon, P.; Renault, D. Insects in fluctuating thermal environments. Annu. Rev. Entomol. 2015, 60, 123–140. [Google Scholar] [CrossRef] [PubMed]
- Filazzola, A.; Matter, S.F.; MacIvor, J.S. The direct and indirect effects of extreme climate events on insects. Sci. Total Environ. 2021, 769, 145161. [Google Scholar] [CrossRef] [PubMed]
- Estévez Dimitrov, R.; Amendt, J.; Rothweiler, F.; Zehner, R. Age determination of the adult blow fly Lucilia sericata (Diptera: Calliphoridae) through quantitative pteridine fluorescence analysis. Forensic Sci. Med. Pathol. 2020, 16, 641–648. [Google Scholar] [CrossRef] [PubMed]
- Bernhardt, V.; Hannig, L.; Kinast, R.; Verhoff, M.A.; Rothweiler, F.; Zehner, R.; Amendt, J. Quantitative pteridine fluorescence analysis: A possible age-grading technique for the adult stages of the blow fly Calliphora vicina (Diptera: Calliphoridae). J. Insect Physiol. 2017, 98, 356–359. [Google Scholar] [CrossRef]
- Harmsen, R. The excretory role of pteridines in insects. J. Exp. Biol. 1966, 45, 1–13. [Google Scholar] [CrossRef]
- Amendt, J.; Bugelli, V.; Bernhardt, V. Time Flies-Age Grading of Adult Flies for the Estimation of the Post-Mortem Interval. Diagnostics 2021, 11, 152. [Google Scholar] [CrossRef]
- Croce, A.C.; Scolari, F. Autofluorescent Biomolecules in Diptera: From Structure to Metabolism and Behavior. Molecules 2022, 27, 4458. [Google Scholar] [CrossRef]
- Cammack, J.A.; Reiskind, M.H.; Guisewite, L.M.; Denning, S.S.; Watson, D.W. Quantifying pteridines in the heads of blow flies (Diptera: Calliphoridae): Application for forensic entomology. Forensic Sci. Int. 2017, 280, 44–48. [Google Scholar] [CrossRef]
- McIntyre, G.S.; Gooding, R.H. Pteridine accumulation in Musca domestica. J. Insect Physiol. 1995, 41, 357–368. [Google Scholar] [CrossRef]
- Zhu, G.H.; Ye, G.Y.; Li, K.; Hu, C.; Xu, X.H. Determining the age of adult flesh flies, Boettcherisca peregrina, using pteridine fluorescence. Med. Vet. Entomol. 2013, 27, 59–63. [Google Scholar] [CrossRef]
- Zhu, G.H.; Ye, G.Y.; Hu, C. Determining the adult age of the oriental latrine fly, Chrysomya megacephala (Fabricius) (Diptera: Calliphoridae) by pteridine fluorescence analysis. Insect Sci. 2003, 10, 245–255. [Google Scholar] [CrossRef]
- Chen, L. Necrophagous Flies in China; Guizhou Science and Technology Press: Guiyang, China, 2013. [Google Scholar]
- Guo, Y.D.; Cai, J.F.; Meng, F.M.; Chang, Y.F.; Gu, Y.; Lan, L.M.; Liang, L.; Wen, J.F. Identification of forensically important flesh flies based on a shorter fragment of the cytochrome oxidase subunit I gene in China. Med. Vet. Entomol. 2012, 26, 307–313. [Google Scholar] [CrossRef]
- Zhang, X.; Shang, Y.; Ren, L.; Qu, H.; Zhu, G.; Guo, Y. A Study of Cuticular Hydrocarbons of All Life Stages in Sarcophaga peregrina (Diptera: Sarcophagidae). J. Med. Entomol. 2022, 59, 108–119. [Google Scholar] [CrossRef] [PubMed]
- Zhang, Y.; Wang, Y.; Yang, L.; Tao, L.; Wang, J. Development of Chrysomya megacephala at constant temperatures within its colony range in Yangtze River Delta region of China. Forensic Sci. Res. 2018, 3, 74–82. [Google Scholar] [CrossRef] [PubMed]
- Adams, Z.J.; Hall, M.J. Methods used for the killing and preservation of blowfly larvae, and their effect on post-mortem larval length. Forensic Sci. Int. 2003, 138, 50–61. [Google Scholar] [CrossRef]
- Day, D.M.; Wallman, J.F. Effect of preservative solutions on preservation of Calliphora augur and Lucilia cuprina larvae (Diptera: Calliphoridae) with implications for post-mortem interval estimates. Forensic Sci. Int. 2008, 179, 1–10. [Google Scholar] [CrossRef]
- Huang, Y.; Gu, X.; Peng, X.; Tao, M.; Peng, L.; Chen, G.; Zhang, X. Effect of Short-Term Low Temperature on the Growth, Development, and Reproduction of Bactrocera tau (Diptera: Tephritidae) and Bactrocera cucurbitae. J. Econ. Entomol. 2020, 113, 2141–2149. [Google Scholar] [CrossRef] [PubMed]
- Thomas, D.B.; Chen, A.C. Age determination in the adult screwworm (Diptera: Calliphoridae) by pteridine levels. J. Econ. Entomol. 1989, 82, 1140–1144. [Google Scholar] [CrossRef]
- Lehane, M.; Mail, T. Determining the age of adult male and female Glossina morsitans morsitans using a new technique. Ecol. Entomol. 1985, 10, 219–224. [Google Scholar] [CrossRef]
- Roziah, A.; Rostlawatt, R.; Nazni, W.; Norazizah, A.; Khairul Asuad, M.; Lee, H. Pteridine fluorescence in age-determination of immature Chrysomya megacephla (Fabricius) and Chrysomya rufifacies (Macquart) (Diptera: Calliphoridae). Trop. Biomed. 2019, 36, 488–494. [Google Scholar]
- Grzywacz, A. Thermal requirements for the development of immature stages of Fannia canicularis (Linnaeus) (Diptera: Fanniidae). Forensic Sci. Int. 2019, 297, 16–26. [Google Scholar] [CrossRef]
- Wang, Y.; Li, L.L.; Wang, J.F.; Wang, M.; Yang, L.J.; Tao, L.Y.; Zhang, Y.N.; Hou, Y.D.; Chu, J.; Hou, Z.L. Development of the green bottle fly Lucilia illustris at constant temperatures. Forensic Sci. Int. 2016, 267, 136–144. [Google Scholar] [CrossRef]
- Ikemoto, T.; Takai, K. A New Linearized Formula for the Law of Total Effective Temperature and the Evaluation of Line-Fitting Methods with Both Variables Subject to Error. Environ. Entomol. 2000, 29, 671–682. [Google Scholar] [CrossRef]
- Dhillon, M.K.; Hasan, F. Temperature-dependent development of diapausing larvae of Chilo partellus (Swinhoe) (Lepidoptera: Crambidae). J. Therm. Biol. 2017, 69, 213–220. [Google Scholar] [CrossRef]
- Wang, Y.; Wang, J.F.; Zhang, Y.N.; Tao, L.Y.; Wang, M. Forensically Important Boettcherisca peregrina (Diptera: Sarcophagidae) in China: Development Pattern and Significance for Estimating Postmortem Interval. J. Med. Entomol. 2017, 54, 1491–1497. [Google Scholar] [CrossRef] [PubMed]
- Catts, E. Problems in Estimating the Postmortem Interval in Death Investigations. J. Agric. Entomol. 1992, 9, 245–255. [Google Scholar]
- Yanmanee, S.; Husemann, M.; Benbow, M.E.; Suwannapong, G. Larval development rates of Chrysomya rufifacies Macquart, 1842 (Diptera: Calliphoridae) within its native range in South-East Asia. Forensic Sci. Int. 2016, 266, 63–67. [Google Scholar] [CrossRef]
- Dadour, I.R.; Cook, D.F.; Wirth, N. Rate of development of Hydrotaea rostrata under summer and winter (cyclic and constant) temperature regimes. Med. Vet. Entomol. 2001, 15, 177–182. [Google Scholar] [CrossRef] [PubMed]
- Clarkson, C.A.; Hobischak, N.R.; Anderson, G. A Comparison of the Development Rate of Protophormia Terraenovae (Robineau-Desvoidy) Raised under Constant and Fluctuating Temperature Regimes. Can. Soc. Forensic Sci. J. 2004, 37, 95–101. [Google Scholar] [CrossRef]
- Sert, O.; Özdemir, S.; Şabanoğlu, B. Effect of constant and fluctuating temperature on the intrapuparial development of Sarcophaga argyrostoma (Robineau-Desvoidy, 1830; Diptera: Sarcophagidae). J. Exp. Zool. B Mol. Dev. Evol. 2021, 336, 511–521. [Google Scholar] [CrossRef] [PubMed]
- Wu, T.H.; Shiao, S.F.; Okuyama, T. Development of insects under fluctuating temperature: A review and case study. J. Appl. Entomol. 2015, 139, 592–599. [Google Scholar] [CrossRef]
- Ghazanfar, M.U.; Hagenbucher, S.; Romeis, J.; Grabenweger, G.; Meissle, M. Fluctuating temperatures influence the susceptibility of pest insects to biological control agents. J. Pest. Sci. 2020, 93, 1007–1018. [Google Scholar] [CrossRef]
- Pavlides, S.C.; Pavlides, S.A.; Tammariello, S.P. Proteomic and phosphoproteomic profiling during diapause entrance in the flesh fly, Sarcophaga crassipalpis. J. Insect Physiol. 2011, 57, 635–644. [Google Scholar] [CrossRef] [PubMed]
- Fujiwara, Y.; Denlinger, D.L. High temperature and hexane break pupal diapause in the flesh fly, Sarcophaga crassipalpis, by activating ERK/MAPK. J. Insect Physiol. 2007, 53, 1276–1282. [Google Scholar] [CrossRef]
- Sláma, K.; Denlinger, D.L. Transitions in the heartbeat pattern during pupal diapause and adult development in the flesh fly, Sarcophaga crassipalpis. J. Insect Physiol. 2013, 59, 767–780. [Google Scholar] [CrossRef] [PubMed]
- Chen, C.-P.; Denlinger, D.; Lee, R. Cold-Shock Injury and Rapid Cold Hardening in the Flesh Fly Sarcophaga crassipalpis. Physiol. Zool. 1987, 60, 297–304. [Google Scholar] [CrossRef]
- Michaud, M.; Denlinger, D. Oleic acid is elevated in cell membranes during rapid cold-hardening and pupal diapause in the flesh fly, Sarcophaga crassipalpis. J. Insect Physiol. 2006, 52, 1073–1082. [Google Scholar] [CrossRef]
- Yocum, G.; Žďárek, J.; Joplin, K.; Lee, R.; Smith, D.C.; Manter, D.; Denlinger, D. Alteration of the eclosion rhythm and eclosion behavior in the flesh fly, Sarcophaga crassipalpis, by low and high temperature stress. J. Insect Physiol. 1994, 40, 13–21. [Google Scholar] [CrossRef]
- Jafari, S.; Fathipour, Y.; Faraji, F. Temperature-dependent development of Neoseiulus barkeri (Acari: Phytoseiidae) on Tetranychus urticae (Acari: Tetranychidae) at seven constant temperatures. Insect Sci. 2012, 19, 220–228. [Google Scholar] [CrossRef]
- Villet, M.; Amendt, J. Advances in Entomological Methods for Death Time Estimation; Springer: Berlin/Heidelberg, Germany, 2011; pp. 213–237. [Google Scholar]
- Mail, T.; Chadwick, J.; Lehane, M. Determining the age of adults of Stomoxys calcitrans (L.) (Diptera: Muscidae). Bull. Entomol. Res. 1983, 73, 501–525. [Google Scholar] [CrossRef]
- Lehane, M.; Chadwick, J.; Howe, M.; Mail, T. Improvements in the Pteridine Method for Determining Age in Adult Male and Female Stomoxys calcitrans (Diptera: Muscidae). J. Econ. Entomol. 1986, 79, 1714–1719. [Google Scholar] [CrossRef]
- Wall, R.; Langley, P.A.; Stevens, J.; Clarke, G.M. Age-determination in the old-world screw-worm fly Chrysomya bezziana by pteridine fluorescence. J. Insect Physiol. 1990, 36, 213–218. [Google Scholar] [CrossRef]
- Wall, R.; Langley, P.A.; Morgan, K. Ovarian development and pteridine accumulation for age determination in the blowfly Lucilia sericata. J. Insect Physiol. 1991, 37, 863–868. [Google Scholar] [CrossRef]
- Zhu, G.; Ye, G.; Hu, C.; Li, K. Determining the age of adult Aldrichina grahami by pteridine fluorescence. Chin. J. Appl. Environ. Biol. 2007, 13, 224–227. [Google Scholar]
- Patat, U. Über das Pterinmuster der Facettenaugen von Calliphora erythrocephala: Ein Beitrag zur Funktion und Stabilität der Pterine. Z. Vgl. Physiol. 1965, 51, 103–134. [Google Scholar] [CrossRef]
- Acosta, X.; González-Reyes, A.X.; Corronca, J.A.; Centeno, N.D. Estimation of the Postmortem Interval Through the Use of Development Time of Two South American Species of Forensic Importance of the Genus Lucilia (Diptera: Calliphoridae). J. Med. Entomol. 2021, 58, 1064–1073. [Google Scholar] [CrossRef]
- Hu, G.; Wang, Y.; Sun, Y.; Zhang, Y.; Wang, M.; Wang, J. Development of Chrysomya rufifacies (Diptera: Calliphoridae) at Constant Temperatures Within its Colony Range in Yangtze River Delta Region of China. J. Med. Entomol. 2019, 56, 1215–1224. [Google Scholar] [CrossRef]
- Amendt, J.; Richards, C.S.; Campobasso, C.P.; Zehner, R.; Hall, M.J. Forensic entomology: Applications and limitations. Forensic Sci. Med. Pathol. 2011, 7, 379–392. [Google Scholar] [CrossRef]
- Reiter, C. Growth behavior of the blue blowfly Calliphora vicina maggots. Z. Rechtsmed. 1984, 91, 295–308. [Google Scholar] [CrossRef]
- Matthes, K.; Zehner, R.; Amendt, J. Influence of storage on larval length and age determination of the forensically important blow fly Lucilia sericata (Diptera: Calliphoridae). Sci. Justice 2021, 61, 579–585. [Google Scholar] [CrossRef]
- Donovan, S.E.; Hall, M.J.; Turner, B.D.; Moncrieff, C.B. Larval growth rates of the blowfly, Calliphora vicina, over a range of temperatures. Med. Vet. Entomol. 2006, 20, 106–114. [Google Scholar] [CrossRef] [PubMed]
- Franceschetti, L.; Pradelli, J.; Tuccia, F.; Giordani, G.; Cattaneo, C.; Vanin, S. Comparison of Accumulated Degree-Days and Entomological Approaches in Post Mortem Interval Estimation. Insects 2021, 12, 264. [Google Scholar] [CrossRef] [PubMed]








| Development Stages (°C) | First Instar | Second Instar | Third Instar | Wandering | Pupa | Total Duration | 
|---|---|---|---|---|---|---|
| 15 | 50.2 ± 12.3 | 55.8 ± 7.2 | 106.6 ± 10.2 | 83.0 ± 11.2 | 960.7 ± 100.1 | 1256.3 ± 124.2 | 
| 20 | 33.4 ± 5.7 | 30.4 ± 4.8 | 57.2 ± 6.3 | 56.2 ± 11.3 | 521.4 ± 22.8 | 698.6 ± 15.1 | 
| 25 | 24.4 ± 1.7 | 23.0 ± 1.7 | 49.0 ± 8.2 | 44.2 ± 14.6 | 341.2 ± 42.0 | 481.8 ± 35.7 | 
| 30 | 13.8 ± 1.3 | 16.6 ± 1.3 | 42.2 ± 3.3 | 31.4 ± 0.5 | 262.0 ± 10.1 | 366.0 ± 13.5 | 
| 32 | 11.2 ± 1.3 | 14.8 ± 0.4 | 34.6 ± 3.0 | 28.4 ± 4.0 | 210.2 ± 20.6 | 295.8 ± 20.5 | 
| VT | 12.0 ± 2.7 | 19.8 ± 4.9 | 48.5 ± 11.6 | 49.8 ± 6.7 | 355.8 ± 13.6 | 485.8 ± 5.4 | 
| 35 | 9.0 ± 1.1 | 14.6 ± 1.8 | 38.4 ± 8.8 | 33.4 ± 8.9 * | - | - | 
| Developmental Stages | K (Degree Hours) | D0 (°C) | |||
|---|---|---|---|---|---|
| Mean | SE | Mean | SE | R2 | |
| First instar | 293.0 | 58.1 | 10.06 | 1.93 | 0.90 | 
| Second instar | 355.5 | 13.9 | 8.64 | 0.44 | 0.99 | 
| Third instar | 904.2 | 100.7 | 6.29 | 1.59 | 0.84 | 
| Wandering | 774.4 | 56.8 | 5.97 | 1.08 | 0.91 | 
| Pupa | 5066.0 | 272.4 | 9.86 | 0.51 | 0.99 | 
| Total duration | 7290.0 | 388.4 | 9.31 | 0.55 | 0.99 | 
| Temperature (°C) | Equation | F | p | R2 | 
|---|---|---|---|---|
| 15 | L = −7.789 × 10−6 × T3 + 0.002T2 − 0.62T + 3.851 | 2651.8 | <0.0001 | 0.970 | 
| 20 | L = −2.823 × 10−5 × T3 + 0.005T2 − 0.021T + 2.436 | 908.8 | <0.0001 | 0.954 | 
| 25 | L = −6.216 × 10−5 × T3 + 0.007T2 − 0.056T + 1.567 | 891.5 | <0.0001 | 0.958 | 
| 30 | L = −9.507 × 10−5 × T3 + 0.006T2 + 0.322T − 0.322 | 1081.0 | <0.0001 | 0.974 | 
| 32 | L = −9.368 × 10−5 × T3 + 0.005T2 − 0.359T − 0.842 | 796.1 | <0.0001 | 0.975 | 
| VT | L = −9.311 × 10−6 × T3 − 0.003T2 + 0.596T − 2.855 | 2777.1 | <0.0001 | 0.990 | 
| Temperature (°C) | Equation | F | p | R2 | 
|---|---|---|---|---|
| 15 | T = 0.027L3 − 1.046L2 + 20.022L − 36.621 | 1402.0 | <0.0001 | 0.945 | 
| 20 | T = 0.009L3 − 0.326L2 + 8.628L − 8.854 | 284.4 | <0.0001 | 0.866 | 
| 25 | T = 0.019L3 − 0.628L2 + 9.469L − 13.423 | 337.1 | <0.0001 | 0.897 | 
| 30 | T = 0.013L3 − 0.379L2 + 5.569L − 4.178 | 328.1 | <0.0001 | 0.920 | 
| 32 | T = −0.007L3 + 0.302L2 − 0.805L + 10.113 | 133.7 | <0.0001 | 0.870 | 
| VT | T = 0.016L3 − 0.377L2 + 4.818L − 1.568 | 260.5 | <0.0001 | 0.903 | 
| Temperatures | Sex | Regression Equations | R2 | p | F | 
|---|---|---|---|---|---|
| 15 °C | F | y = 6.51x (±2.64) − 21.765 (±9.62) | 0.503 | <0.049 | 6.082 | 
| M | y = 6.72x (±0.61) − 22.236 (±2.22) | 0.952 | <0.0001 | 118.203 | |
| 25 °C | F | y = 2.33x (±0.62) − 6.338 (±2.27) | 0.700 | <0.01 | 14.014 | 
| M | y = 5.16x (±0.708) − 16.228 (±2.52) | 0.899 | <0.0001 | 53.248 | |
| 32 °C | F | y = 2.44x (±0.255) − 7.177 (±0.989) | 0.939 | <0.0001 | 91.861 | 
| M | y = 2.43x (±0.211) − 7.200 (±0.823) | 0.957 | <0.0001 | 133.265 | |
| VT | F | y = 2.90x (±0.42) − 8.585 (±1.587) | 0.885 | <0.0001 | 46.034 | 
| M | y = 2.19x (±0.214) − 5.926 (±0.792) | 0.946 | <0.0001 | 104.956 | 
| Disclaimer/Publisher’s Note: The statements, opinions and data contained in all publications are solely those of the individual author(s) and contributor(s) and not of MDPI and/or the editor(s). MDPI and/or the editor(s) disclaim responsibility for any injury to people or property resulting from any ideas, methods, instructions or products referred to in the content. | 
© 2023 by the authors. Licensee MDPI, Basel, Switzerland. This article is an open access article distributed under the terms and conditions of the Creative Commons Attribution (CC BY) license (https://creativecommons.org/licenses/by/4.0/).
Share and Cite
Ngando, F.J.; Zhang, X.; Qu, H.; Zhang, C.; Yang, F.; Feng, Y.; Shang, Y.; Chen, S.; Ren, L.; Guo, Y. Analysis of the Influence of Changing and Fixed Temperatures on the Growth and Pteridine Content in the Head of Adults Sarcophaga crassipalpis (Diptera: Sarcophagidae). Animals 2023, 13, 2402. https://doi.org/10.3390/ani13152402
Ngando FJ, Zhang X, Qu H, Zhang C, Yang F, Feng Y, Shang Y, Chen S, Ren L, Guo Y. Analysis of the Influence of Changing and Fixed Temperatures on the Growth and Pteridine Content in the Head of Adults Sarcophaga crassipalpis (Diptera: Sarcophagidae). Animals. 2023; 13(15):2402. https://doi.org/10.3390/ani13152402
Chicago/Turabian StyleNgando, Fernand Jocelin, Xiangyan Zhang, Hongke Qu, Changquan Zhang, Fengqin Yang, Yakai Feng, Yanjie Shang, Sile Chen, Lipin Ren, and Yadong Guo. 2023. "Analysis of the Influence of Changing and Fixed Temperatures on the Growth and Pteridine Content in the Head of Adults Sarcophaga crassipalpis (Diptera: Sarcophagidae)" Animals 13, no. 15: 2402. https://doi.org/10.3390/ani13152402
APA StyleNgando, F. J., Zhang, X., Qu, H., Zhang, C., Yang, F., Feng, Y., Shang, Y., Chen, S., Ren, L., & Guo, Y. (2023). Analysis of the Influence of Changing and Fixed Temperatures on the Growth and Pteridine Content in the Head of Adults Sarcophaga crassipalpis (Diptera: Sarcophagidae). Animals, 13(15), 2402. https://doi.org/10.3390/ani13152402
 
        


 
       